Студопедия

Главная страница Случайная страница

КАТЕГОРИИ:

АвтомобилиАстрономияБиологияГеографияДом и садДругие языкиДругоеИнформатикаИсторияКультураЛитератураЛогикаМатематикаМедицинаМеталлургияМеханикаОбразованиеОхрана трудаПедагогикаПолитикаПравоПсихологияРелигияРиторикаСоциологияСпортСтроительствоТехнологияТуризмФизикаФилософияФинансыХимияЧерчениеЭкологияЭкономикаЭлектроника






Тема: Плоские линии и кривые. Выполнил: Масхудов Масхуд ФИТУ группа 1-5б. Цель работы: научиться исследовать свойства плоских кривых и строить их графические образы на ЭВМ

Лабораторная работа №1

 

Цель работы: научиться исследовать свойства плоских кривых и строить их графические образы на ЭВМ

Задание: Исследовать свойства и построить пространственную кривую:

Ход работы:

> restart;

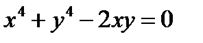
> #F(x, y)=0, неявное задание кривой

> F: =x^4+y^4-2*x*y;

> #F: =x*y^2-(x-1)^2;

> with(plots);

> implicitplot(F, color=blue, x=-10..10, y=-10..10, numpoints=1000000);

> Fx: =diff(F, x);

> Fy: =diff(F, y);

 

> sys: ={Fx=0, Fy=0, F=0};

> solve(sys, {x, y});

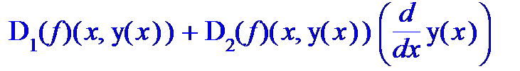
> diff(f(x, y(x)), x);

> #yx=-diff(f, x)/diff(f, y);

> yx: =-Fx/Fy;

> #Условия для касательной параллельной оси Х

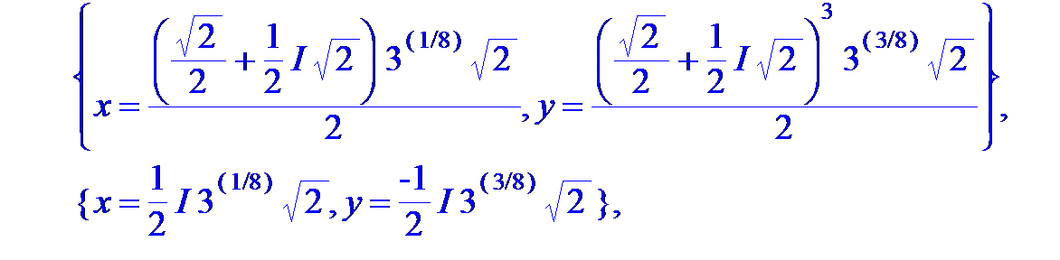
> sysx: ={Fx=0, Fy< > 0, F=0};

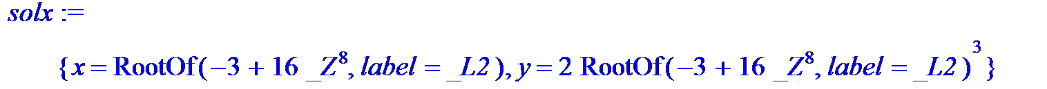
> solx: =solve(sysx, {x, y});

> solx: =allvalues(solx);

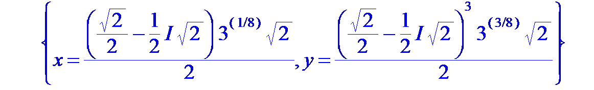
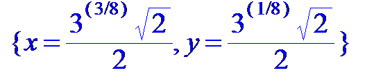
> solx[1]; evalf(solx[1]);

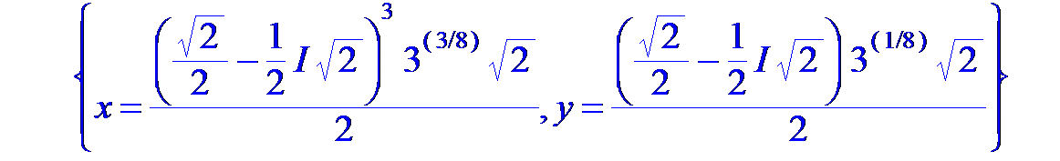
> solx[5]; evalf(solx[5]);

> #Условия для касательной параллельной оси Y

> sysy: ={Fx< > 0, Fy=0, F=0};

> soly: =solve(sysy, {x, y});

> soly: =allvalues(soly);

> soly[1]; evalf(soly[1]);

> soly[5]; evalf(soly[5]);

 

Вывод: в процессе работы я научился исследовать свойства плоской кривой и строить ее график с помощью математического пакета Maple 13.

<== предыдущая лекция | следующая лекция ==>
Визначення типу джерела | Тема: Пространственные кривые. Выполнил: Масхудов Масхуд ФИТУ группа 1-5б
Поделиться с друзьями:

mylektsii.su - Мои Лекции - 2015-2026 год. (1.384 сек.)Все материалы представленные на сайте исключительно с целью ознакомления читателями и не преследуют коммерческих целей или нарушение авторских прав Пожаловаться на материал