Студопедия

Главная страница Случайная страница

КАТЕГОРИИ:

АвтомобилиАстрономияБиологияГеографияДом и садДругие языкиДругоеИнформатикаИсторияКультураЛитератураЛогикаМатематикаМедицинаМеталлургияМеханикаОбразованиеОхрана трудаПедагогикаПолитикаПравоПсихологияРелигияРиторикаСоциологияСпортСтроительствоТехнологияТуризмФизикаФилософияФинансыХимияЧерчениеЭкологияЭкономикаЭлектроника






Кратные интегралы






 

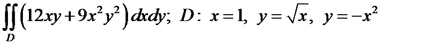
Задача 2. Вычислить

Решение:

Изобразим область интегрирования

 

 

Задача 3. Вычислить

Решение:

Изобразим область интегрирования

 

Задача 4. Вычислить

Решение:

 

Задача 5. Вычислить

Решение:

 

Задача 6. Найти площадь фигуры, ограниченной данными линиями .

Решение:

Изобразим область интегрирования

 

 

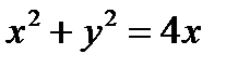
Задача 7. Найти площадь фигуры, ограниченной данными линиями , .

Решение:

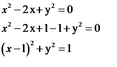
Определяем область интегрирования

Таким образом, линия - окружность с центром и радиусом .

Таким образом, линия - окружность с центром и радиусом .

Перейдем к полярным координатам , . Уравнения примут вид

, значит .

, значит .

Изобразим область интегрирования

 

 

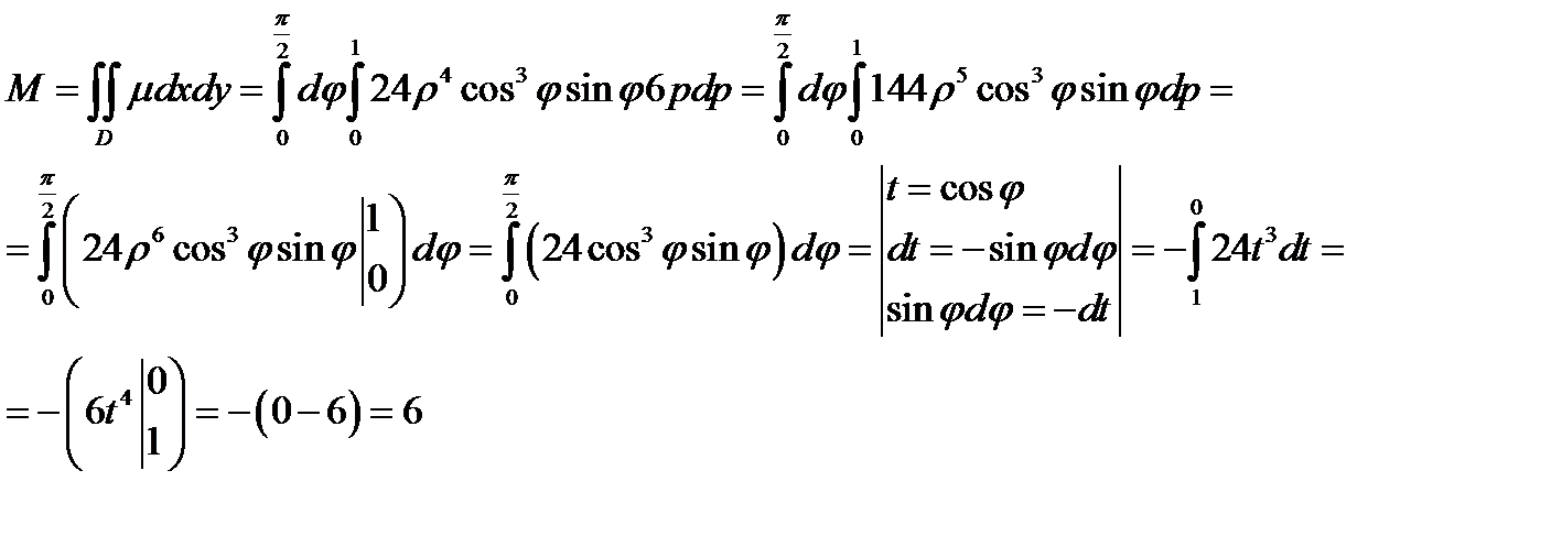
Задача 8. Пластинка D задана ограничивающими ее кривыми, µ - поверхностная плотность. Найти массу пластинки

;

Решение:

Перейдем к полярным координатам , .

Отсюда

Изобразим область интегрирования

 

Задача 9. Пластинка D задана неравенствами, µ - поверхностная плотность. Найти массу пластинки

;

Решение:

Перейдем к полярным координатам , ,

Изобразим область интегрирования

 

 

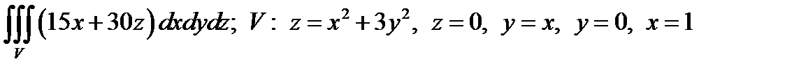
Задача 10. Найти объем тела, заданного ограничивающими его поверхностями

, , ,

Решение:

Изобразим область интегрирования в плоскости XOY

 

 

Задача 11. Найти объем тела, заданного ограничивающими его поверхностями

, ,

Решение:

Найдем область интегрирования

окружность радиуса и с центром в точке

 

Перейдем к полярным координатам , .

 


Поделиться с друзьями:

mylektsii.su - Мои Лекции - 2015-2026 год. (1.505 сек.)Все материалы представленные на сайте исключительно с целью ознакомления читателями и не преследуют коммерческих целей или нарушение авторских прав Пожаловаться на материал