Студопедия

Главная страница Случайная страница

КАТЕГОРИИ:

АвтомобилиАстрономияБиологияГеографияДом и садДругие языкиДругоеИнформатикаИсторияКультураЛитератураЛогикаМатематикаМедицинаМеталлургияМеханикаОбразованиеОхрана трудаПедагогикаПолитикаПравоПсихологияРелигияРиторикаСоциологияСпортСтроительствоТехнологияТуризмФизикаФилософияФинансыХимияЧерчениеЭкологияЭкономикаЭлектроника






Дифференциальные уравнения






Контрольная работа №2

 

 

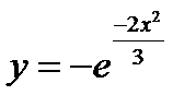
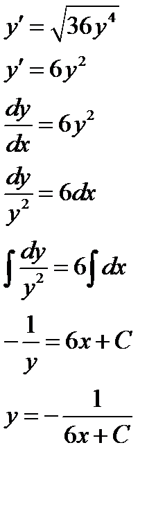
Задача 1. Найти общий интеграл дифференциального уравнения (ответ представить в виде )

Решение:

Отсюда

 

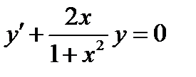
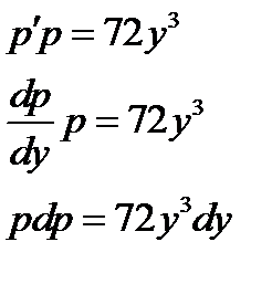
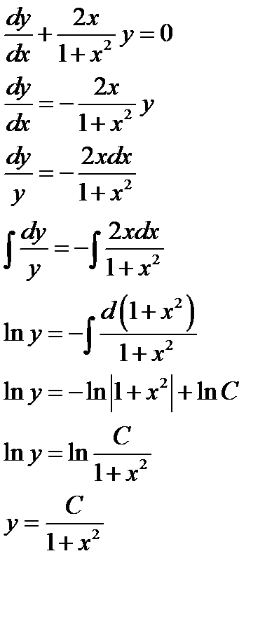
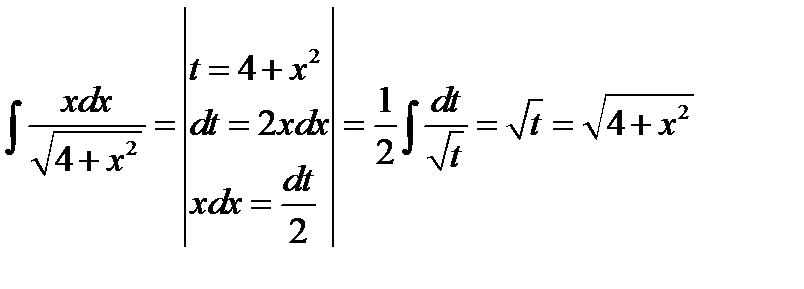
Задача 2. Найти общий интеграл дифференциального уравнения

Решение:

Произведем замену переменной

Отсюда

Так как , то получаем

 

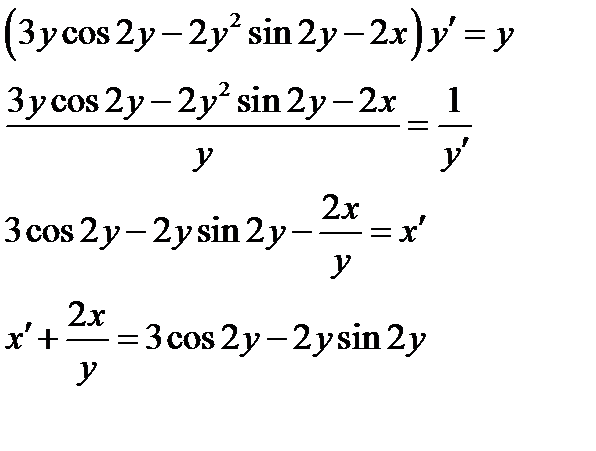
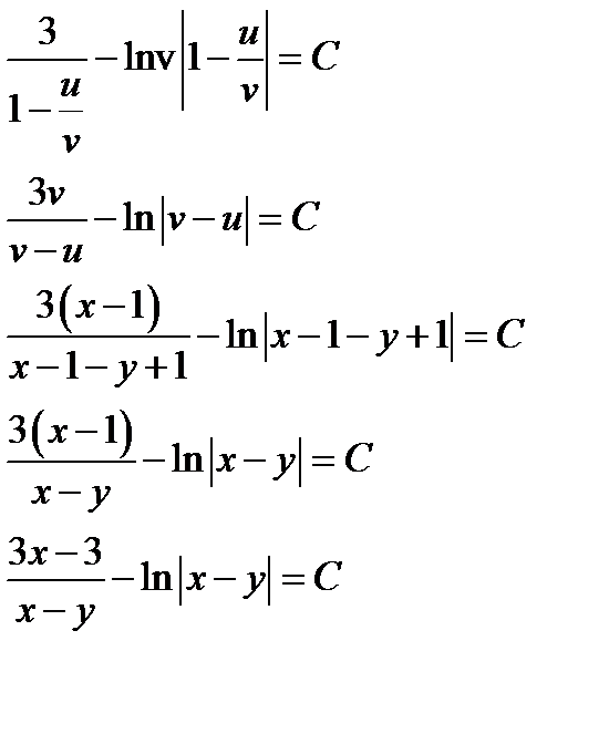
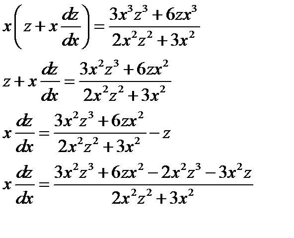
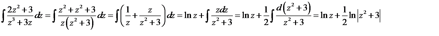
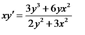
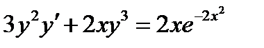
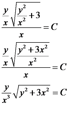
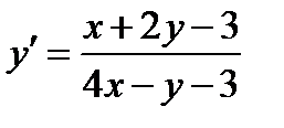
Задача 3. Найти общий интеграл дифференциального уравнения

Решение:

Найдем точку пересечения прямых и .

Отсюда

Перенесем начало координат в точку пересечения , т.е. сделаем замену ,

Таким образом получим

Данное уравнение однородное, поэтому сделаем замену

Отсюда

Таким образом

Сделаем обратную замену

 

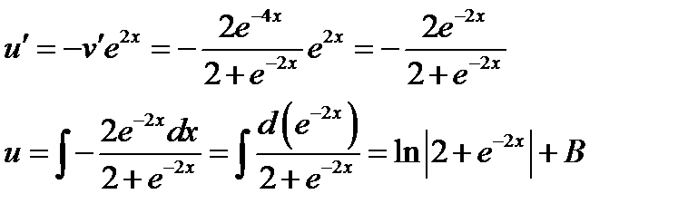
Задача 4. Найти решение задачи Коши

,

Решение:

Дифференциальное уравнение является линейным. Сначала решаем уравнение

В исходном уравнении произведем замену ,

Таким образом общее решение дифференциального уравнения.

Так как , то , поэтому частное решение будет равно

 

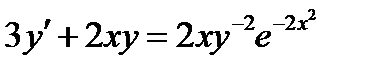
Задача 5. Решить задачу Коши

,

Решение:

Преобразуем данное уравнение, имея ввиду, что . Таким образом

Получившееся уравнение является линейным. Сначала решаем уравнение

В уравнении произведем замену ,

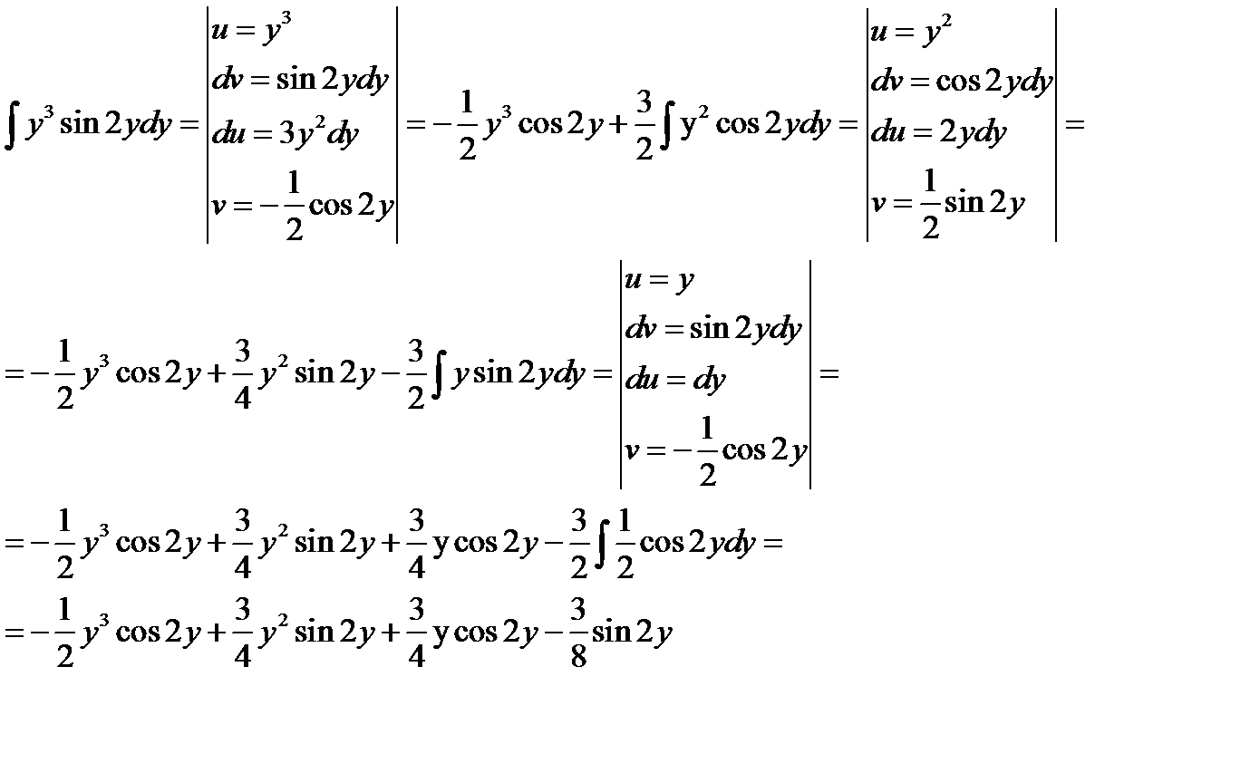
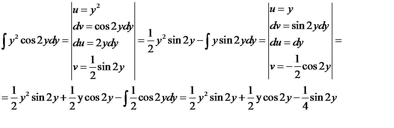
Решаем интегралы методом интегрирования по частям

Получаем

Таким образом общее решение дифференциального уравнения. Так как , то , поэтому частное решение будет равно

 

Задача 6. Найти решение задачи Коши

,

Решение:

Преобразуем данное уравнение, умножив обе части на , получим .

Сделаем замену , тогда , получим .

Получившееся уравнение является линейным. Сначала решаем уравнение

В уравнении произведем замену ,

Таким образом общее решение дифференциального уравнения. Так как , то , поэтому частное решение будет равно

 

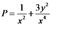
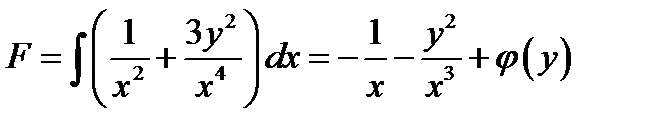
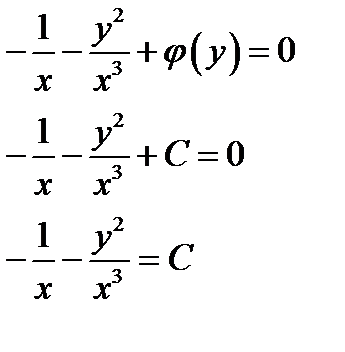
Задача 7. Найти общий интеграл дифференциального уравнения

Решение:

Проверим, является ли данное ДУ уравнением в полных дифференциалах:

,

,

Так как , то уравнение является уравнением в полных дифференциалах и имеет вид

,

отсюда

Так как , то

значит общий интеграл дифференциального уравнения будет равен

 

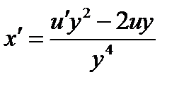
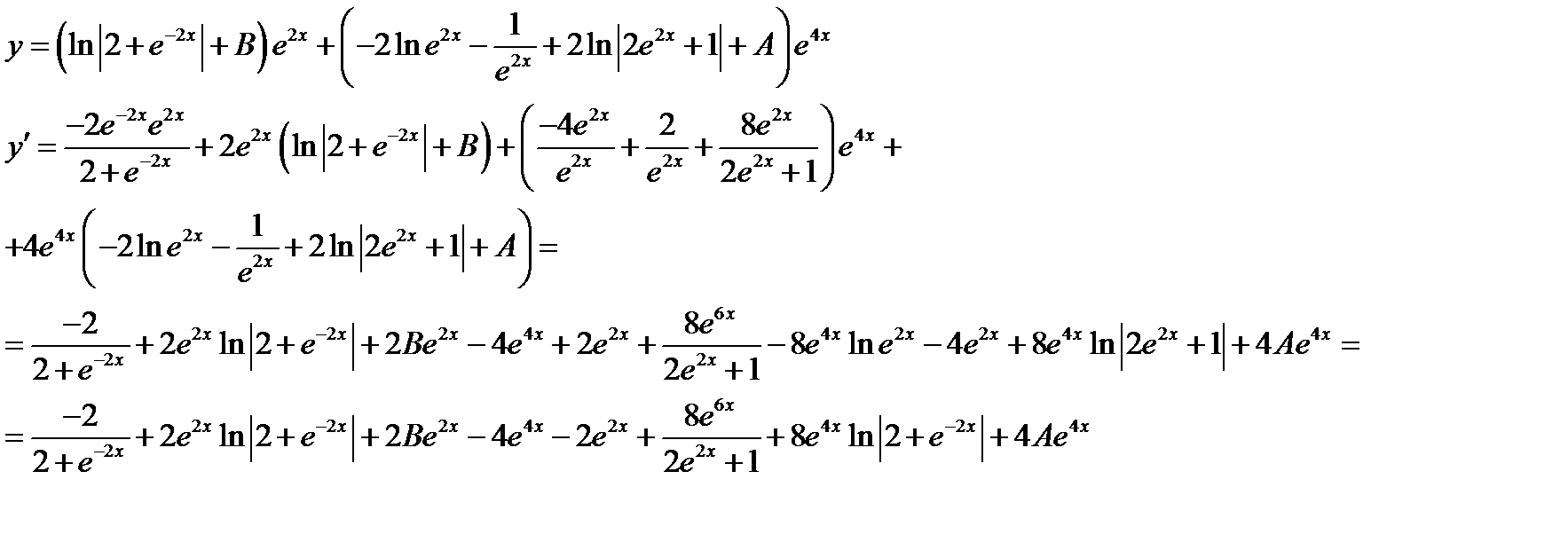
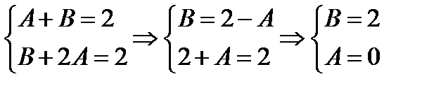
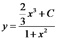
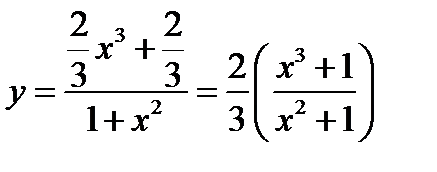
Задача 10. Найти общее решение дифференциального уравнения

Решение:

Сделаем замену переменной ,

Таким образом

Значит

Отсюда

Таким образом - общее решение дифференциального уравнения, где C, B, A – произвольные константы.

 

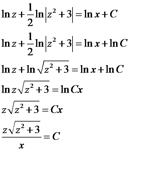
Задача 11. Найти решение задачи Коши

, ,

Решение:

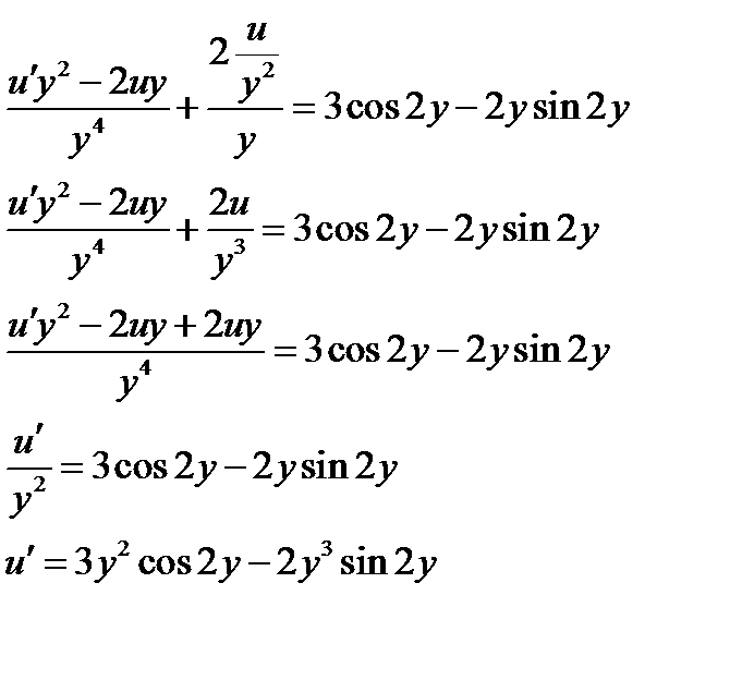
Произведем замену переменной

Таким образом

Значит

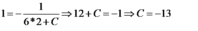
Так как , , то

Таким образом

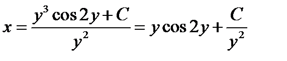
Так как , то

Значит

 

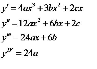
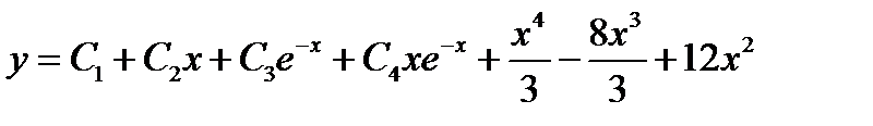
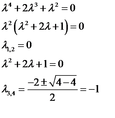
Задача 12. Найти общее решение дифференциального уравнения

Решение:

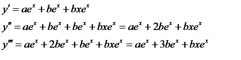
Данное дифференциальное уравнение является линейным неоднородным. Сначала найдем общее решение однородного уравнения с помощью характеристического уравнения

Отсюда общее решение однородного уравнения будет выглядеть как

Частное решение будем искать в виде

Отсюда

Подставим найденные значения в исходное уравнение

Тогда общее решение исходного линейного неоднородного дифференциального уравнения будет

 

Задача 13. Найти общее решение дифференциального уравнения

Решение:

Данное дифференциальное уравнение является линейным неоднородным. Сначала найдем общее решение однородного уравнения с помощью характеристического уравнения

Отсюда общее решение однородного уравнения будет выглядеть как

Частное решение будем искать в виде

Подставим найденные значения в исходное уравнение

Частное решение будет равно

Тогда общее решение исходного линейного неоднородного дифференциального уравнения будет

 

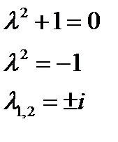
Задача 14. Найти общее решение дифференциального уравнения

Решение:

Данное дифференциальное уравнение является линейным неоднородным. Сначала найдем общее решение однородного уравнения с помощью характеристического уравнения

Отсюда общее решение однородного уравнения будет выглядеть как

Частное решение будем искать в виде

Подставим найденные значения в исходное уравнение

Частное решение будет равно

Тогда общее решение исходного линейного неоднородного дифференциального уравнения будет

 

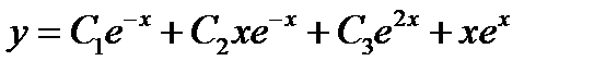
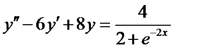
Задача 15. Найти общее решение дифференциального уравнения

Решение:

Данное дифференциальное уравнение является линейным неоднородным. Сначала найдем общее решение однородного уравнения с помощью характеристического уравнения

Отсюда общее решение однородного уравнения будет выглядеть как

Найдем частное решение неоднородного уравнения, применив принцип суперпозиции.

Разбиваем правую часть на слагаемые:

Найдем частные решения для каждого слагаемого

Ищем решение в виде

Значит

Ищем решение в виде

Значит

Согласно принципу суперпозиции частное решение неоднородного уравнения будет равно сумме частных решений для каждого слагаемого:

Тогда общее решение исходного линейного неоднородного дифференциального уравнения будет

 

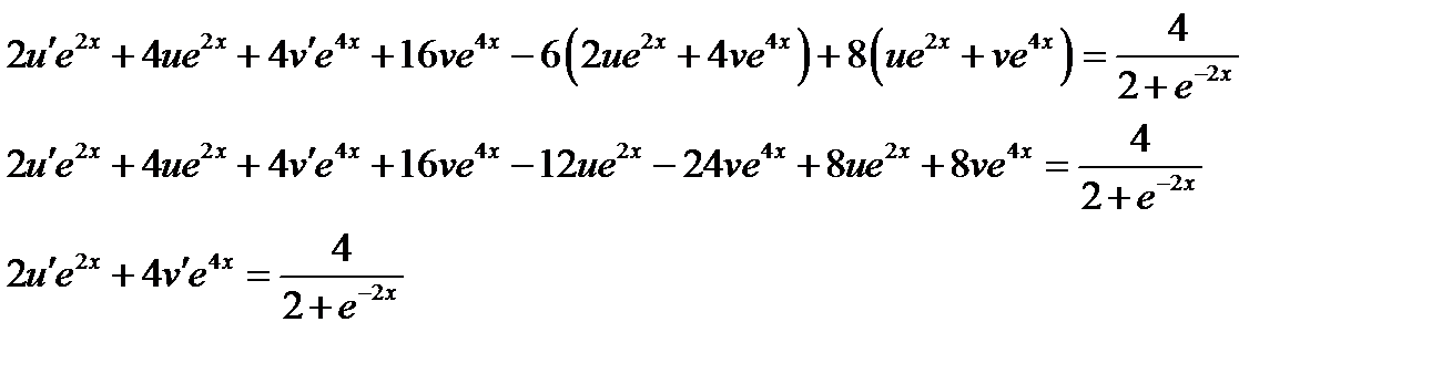
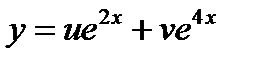
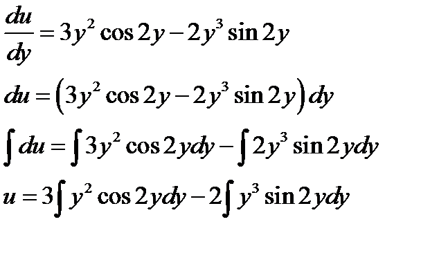
Задача 16. Найти решение задачи Коши

, ,

Решение:

Данное дифференциальное уравнение является линейным неоднородным. Сначала найдем общее решение однородного уравнения с помощью характеристического уравнения

Отсюда общее решение однородного уравнения будет выглядеть как

Найдем частное решение неоднородного дифференциального уравнения, используя метод вариации произвольных постоянных

Положим , тогда

Подставим полученные значения в исходное уравнение

Таким образом получаем систему уравнений

Выразим через с помощью первого уравнения данной системы

Используя второе уравнение системы, получим

Находим u

Подставим u и v в выражение для y

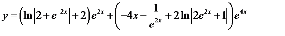
Исходя из начальных условий , получаем

Отсюда решение задачи Коши будет таким

 


Поделиться с друзьями:

mylektsii.su - Мои Лекции - 2015-2026 год. (2.182 сек.)Все материалы представленные на сайте исключительно с целью ознакомления читателями и не преследуют коммерческих целей или нарушение авторских прав Пожаловаться на материал