Студопедия

Главная страница Случайная страница

КАТЕГОРИИ:

АвтомобилиАстрономияБиологияГеографияДом и садДругие языкиДругоеИнформатикаИсторияКультураЛитератураЛогикаМатематикаМедицинаМеталлургияМеханикаОбразованиеОхрана трудаПедагогикаПолитикаПравоПсихологияРелигияРиторикаСоциологияСпортСтроительствоТехнологияТуризмФизикаФилософияФинансыХимияЧерчениеЭкологияЭкономикаЭлектроника






Векторный анализ






 

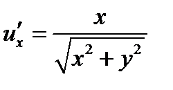
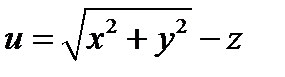
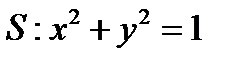
Задача 1. Найти производную скалярного поля в точке по направлению проходящей через эту точку нормали к поверхности , образующей острый угол с положительным направлением оси Oz.

Решение:

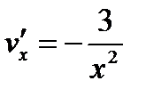
, ,

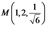
В точке

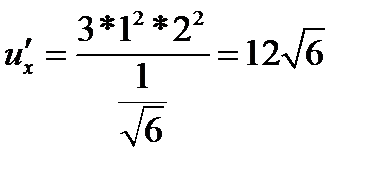
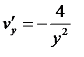
, ,

Отсюда нормальный вектор

, ,

В точке

, ,

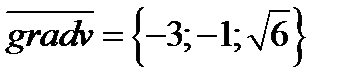
Отсюда градиент

Производная скалярного поля по направлению

 

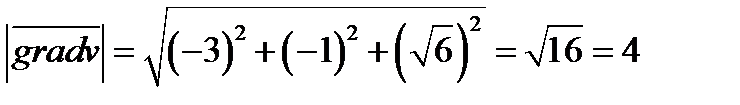
Задача 2. Найти угол между градиентами скалярных полей и в точке

Решение:

, ,

в точке

, ,

, ,

в точке

, ,

Таким образом угол между градиентами скалярных полей равен

 

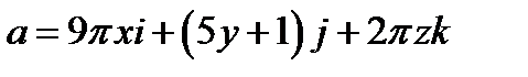
Задача 3. Найти векторные линии в векторном поле .

Решение:

, ,

Уравнение векторной линии имеет вид или

Таким образом получаем систему

Векторные линии в векторном поле определяются уравнением

 

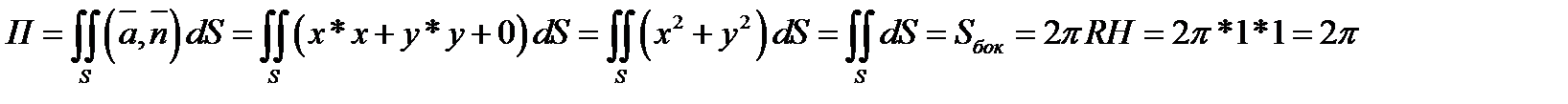
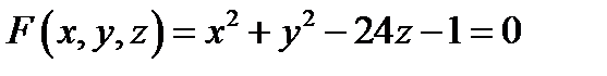
Задача 4. Найти поток векторного поля через часть поверхности , вырезаемую плоскостями , (нормаль внешняя к замкнутой поверхности, образуемой данными поверхностями)

Решение:

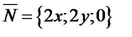
Данная поверхность, вырезаемая плоскостями , – прямой цилиндр с радиусом и высотой

, ,

Отсюда нормальный вектор

 

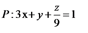
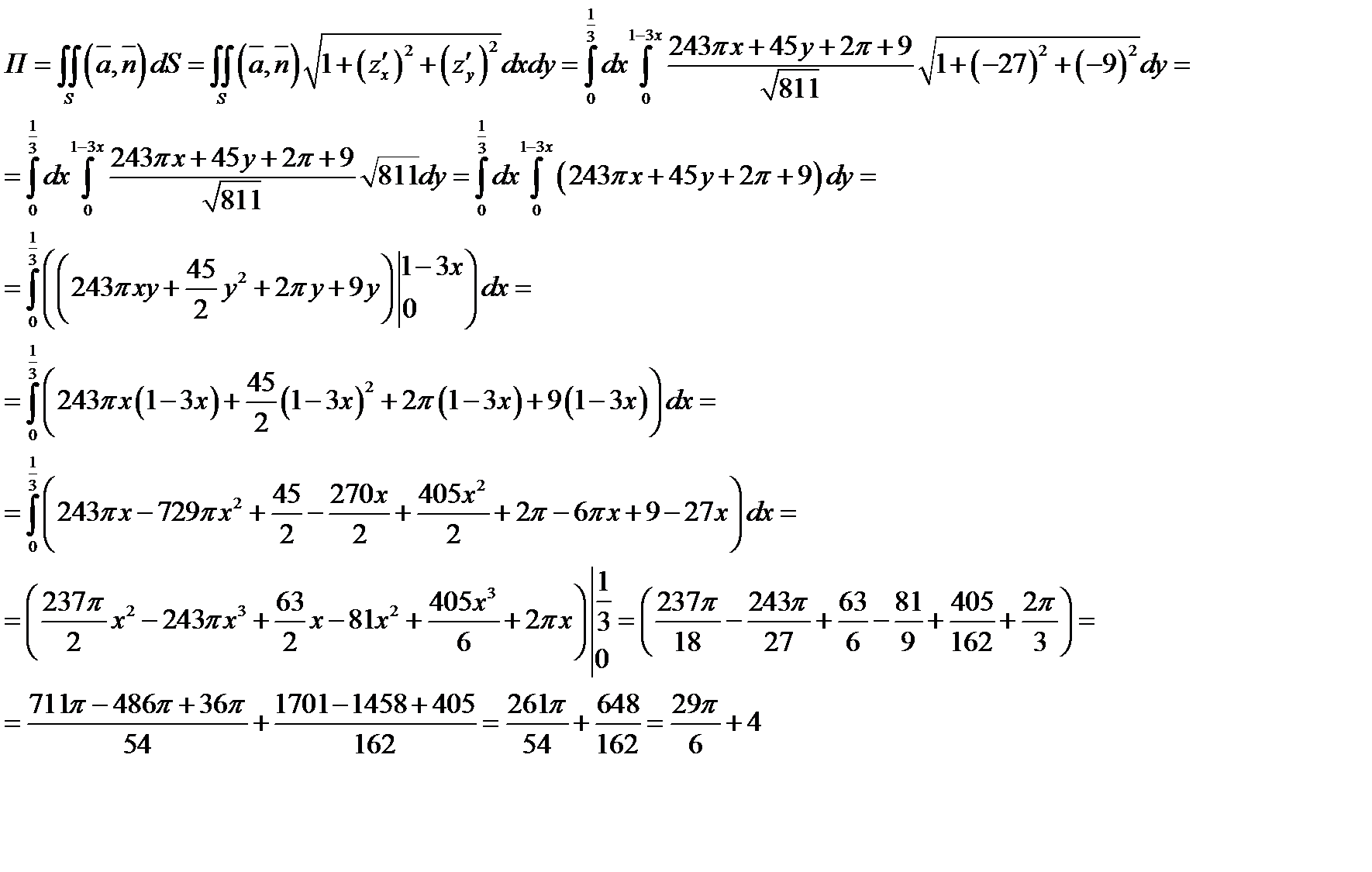
Задача 5. Найти поток векторного поля через часть плоскости , расположенную в первом октанте (нормаль образует острый угол с осью Oz)

Решение:

 

Находим дивергенцию

 

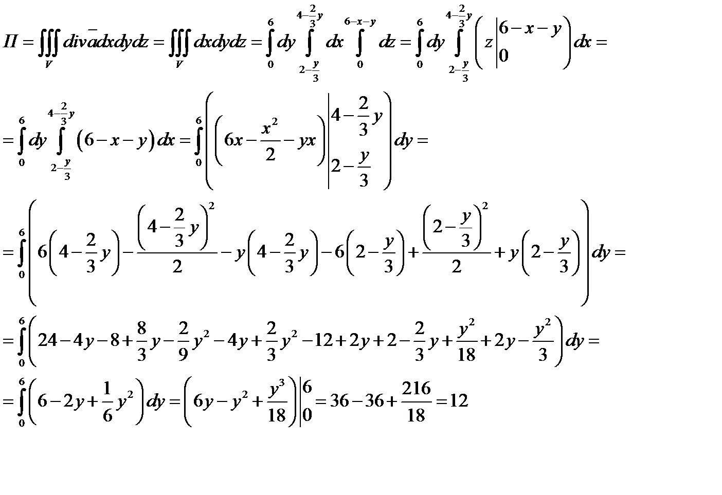
Задача 6. Найти поток векторного поля через часть плоскости , расположенную в I октанте (нормаль образует острый угол с осью Oz)

Решение:

 

нормальный вектор

Задача 7. Найти поток векторного поля через замкнутую поверхность (нормаль внешняя)

Решение:

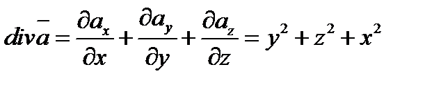
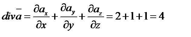
Находим дивергенцию

Таким образом замкнутая поверхность является сферой с радиусом

Определяем поток векторного поля через данную замкнутую поверхность

 

Задача 8. Найти поток векторного поля через замкнутую поверхность (нормаль внешняя)

Решение:

 

Находим дивергенцию

Определяем поток векторного поля через данную замкнутую поверхность

 

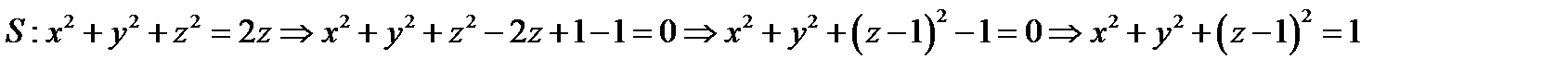
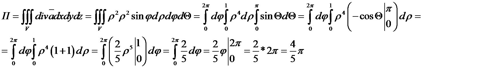
Задача 9. Найти поток векторного поля через замкнутую поверхность (нормаль внешняя)

Решение:

Находим дивергенцию

Замкнутая поверхность – сфера с центром в начале координат и радиусом

Определяем поток векторного поля через данную замкнутую поверхность

Переходим к сферическим координатам

Новые переменные изменяются в пределах

Таким образом


Поделиться с друзьями:

mylektsii.su - Мои Лекции - 2015-2026 год. (1.109 сек.)Все материалы представленные на сайте исключительно с целью ознакомления читателями и не преследуют коммерческих целей или нарушение авторских прав Пожаловаться на материал