Студопедия

Главная страница Случайная страница

КАТЕГОРИИ:

АвтомобилиАстрономияБиологияГеографияДом и садДругие языкиДругоеИнформатикаИсторияКультураЛитератураЛогикаМатематикаМедицинаМеталлургияМеханикаОбразованиеОхрана трудаПедагогикаПолитикаПравоПсихологияРелигияРиторикаСоциологияСпортСтроительствоТехнологияТуризмФизикаФилософияФинансыХимияЧерчениеЭкологияЭкономикаЭлектроника






Камеральні роботи при обробці результатів вимірювань мережі тріангуляції






При камеральних роботах дотримуються наступної послідовності:

Рисунок. 2.1.

Як видно з рис. 2.1., в мережі виміряно 2 базиси: a i b та всі 3 кути в кожному трикутнику. Під час складання схеми мережі тріангуляції обов’язково нумерують трикутники і кути. 1-й трикутник починають з того трикутника, в якому заміряний базис, а далі - рахують по-порядку. Кути в трикутнику доцільно нумерувати за загальноприйнятою схемою. Всі сторони трикутника мають свою назву та сторони , , називають зв’язуючими сторонами, тому що вони є спільними для двох сусідніх трикутників.

Сторони , , , називають проміжними тому, що вони не є спільними з іншими трикутниками.

Нумерують кути в трикутника за наступним правилом:

1-й кут – проти виміряного базису а;

2-й – проти проміжної сторони;

3-й – проти зв’язуючої сторони ;

Переходять до нумерації кутів у другому трикутнику:

4-й кут – проти ;

5-й – проти проміжної сторони ;

6-й – проти зв’язуючої сторони ;

Аналогічно в третьому трикутнику:

7-й кут – проти ;

8-й – проти проміжної сторони ;

9-й – проти ;

В четвертому трикутнику:

кут 10 проти ;

11-й – проти проміжної сторони ;

12-й – проти базису b.

Така нумерація кутів дозволяє майже автоматично складати базисне рівняння, яке має наступний вигляд:

Складання базисного рівняння:

Із першого трикутника згідно теореми синусів:

;

 

В мережі тріангуляції виникає стільки умов фігур скільки є трикутників. Оскільки в трикутнику вимірюються всі кути, то нев’язка визначається за формулою:

Поправка в виміряні кути вводиться порівну:

Гранична похибка нев’язки в трикутнику:

де - СКП вимірювання горизонтального кута

Вільний член базисної умови обчислюється за формулою:

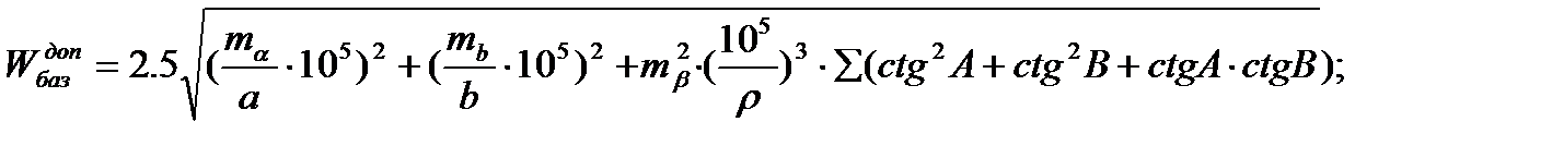
Допустимий вільний член базисного рівняння обчислюється за формулою:

де , - відносні СКП вимірювання базисів

Якщо величина вільного члена базисного рівняння менше або рівне допустимої величини, то обчислюють величину вторинної поправки за формулою:

Вторинну поправку додають тільки до зв’язуючих кутів, при чому до кутів, які знаходяться в чисельнику базисного рівняння додають вторинну поправку з тим знаком, який отримали за формулою, а кути, які знаходяться в знаменнику базисного рівняння її додають з оберненим знаком. Слід пам’ятати, що поправки заокруглюють до 0, 1́. Вторинна поправка вводиться з метою, щоб знайти теоретичне місце точки в якій перетинаються промені трикутника і не порушується теоретична умова.

Після цього за урівняними кутами обчислюють довжини сторін трикутників. Контролем обчислень являються рівності вирахуваного і виміряного значення базиса b.

Маючи урівняні кути і довжини ліній, обчислюємо прямокутні координати точок за формулами Юнга (рис.2.2.) або методом теодолітних ходів.

Рисунок 2.2.

Контроль:

 

 

2.3. Виконати урівнювання мережі тріангуляції спрощеним методом

Вихідні дані:

1=77°06, 9' 2=66°47, 0'
3=36°06, 1' 4=39°28, 6'
5=93°17, 1' 6=47°14, 3'
7=40°44, 0' 8=63°50, 5'
9=75°25, 5' 10=74°36, 8'
11=61°49, 3' 12=43°33, 9'
13=41°42, 2' 14=74°16, 0'
15=64°01, 8' а =129, 93 м
α МА=27°21, 4'  
Xм=2000, 00 Yм=3600, 00

 

Рисунок.2.3.Схема мережі тріангуляції

 

mβ =1", а відстань базиса виміряна з точністю:

Таблиця 2.1 - Рішення трикутників мережі тріангуляції

№ трик. № кута Виміряні кути Поправки Виправлені кути Синуси кутів Сторони
V' V''
    77°06, 9'   +3, 87 77°6'57, 87`` 0, 974829791 129, 93
  66°47, 0'     66°47' 0, 919020707 122, 492
  36°06, 1'   -3, 87 36°6'2, 13`` 0, 589204701 78, 532
180˚ 0, 0'     180˚ 00'    
W1 0˚ 0, 0'   -3, 87      
    39°28, 6   +2, 89`` 39°28`38, 87`` 0, 635774668 78, 532
  93°17, 1'     93°17, 1`` 0, 998356852 123, 318
  47°14, 3' +0, 1 -2, 89`` 47°14'15, 11`` 0, 734174762 90, 686
179°59`54``     180˚ 00'    
W2 0˚ 0'06`/3   -2, 89``      
    40°44, 0'   +4, 35`` 40°44'4, 35`` 0, 652555338 90, 686
  63°50, 5'     63°50'30`` 0, 897579204 124, 738
  75°25, 5'   -4, 35`` 75°25'25, 65`` 0, 967813757 134, 498
180˚ 0, 0'     180˚ 0, 0'    
W3 0˚ 0`   -4, 35``      
    74°36, 8'   +4, 67`` 74°36'2, 67`` 0, 964163182 134, 498
  61°49, 3'     61°49'18`` 0, 881482086 122, 965
  43°33, 9'   -4, 67`` 43°33'49, 33`` 0, 689160638 96, 136
180˚ 0, 0'     180˚ 00'    
W4 0˚ 0, 0'   -4, 67``      
    41°42, 2'   +3, 85`` 41°42'15, 85`` 0, 665287726 96, 134
  74°16, 0'     74°16, 0' 0, 962534154 139, 090
  64°01, 8'   -3, 85`` 64°01'44, 15`` 0, 89901528 129, 927
180˚ 00'     180˚ 00'    
W5 0˚ 0, 0'   -3, 85``      

Поделиться с друзьями:

mylektsii.su - Мои Лекции - 2015-2026 год. (0.803 сек.)Все материалы представленные на сайте исключительно с целью ознакомления читателями и не преследуют коммерческих целей или нарушение авторских прав Пожаловаться на материал