Студопедия

Главная страница Случайная страница

КАТЕГОРИИ:

АвтомобилиАстрономияБиологияГеографияДом и садДругие языкиДругоеИнформатикаИсторияКультураЛитератураЛогикаМатематикаМедицинаМеталлургияМеханикаОбразованиеОхрана трудаПедагогикаПолитикаПравоПсихологияРелигияРиторикаСоциологияСпортСтроительствоТехнологияТуризмФизикаФилософияФинансыХимияЧерчениеЭкологияЭкономикаЭлектроника






Основна суть методу тригонометричного нівелювання






Геодезичне (тригонометричне) нівелювання у XVII-XVIII ст. було основним методом визначення висот опорних пунктів та широко застосовувався для висотного обгрунтування топографічного знімання. В ХІХ-ХХ ст. в зв’язку з розвитком методу геометричного нівелювання стрімким зростанням об’ємів великомасштабних топографічних знімань з малими висотами перерізу рельєфу та відсутністю точних теодолітів, зацікавленість до геодезичного нівелювання стала поступово слабшати.

На сьогоднішній день більшість вишукувальних організацій та підприємств мають високоточні теодоліти (електронні тахеометри) та світловіддалеміри, що дозволяє знову розпочати широке застосування тригонометричного методу нівелювання. Перевищення між двома точками планово-геодезичного обгрунтування можна визначити двічі встановлюючи теодоліт на одну або іншу точку, вимірюючи вертикальний кут. Так як відстань від точки відома, то перевищення вираховують за формулою:

або з врахуванням кривизни землі і рефракції за формулою:

- горизонтальне прокладання між двома точками;

- вертикальний кут; - висота наведення;

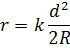
і- висота приладу; - поправка в перевищення за кривизну землі;

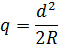
- поправка за рефракцію.

де - коефіцієнт рефракції


Поделиться с друзьями:

mylektsii.su - Мои Лекции - 2015-2026 год. (1.253 сек.)Все материалы представленные на сайте исключительно с целью ознакомления читателями и не преследуют коммерческих целей или нарушение авторских прав Пожаловаться на материал