Студопедия

Главная страница Случайная страница

КАТЕГОРИИ:

АвтомобилиАстрономияБиологияГеографияДом и садДругие языкиДругоеИнформатикаИсторияКультураЛитератураЛогикаМатематикаМедицинаМеталлургияМеханикаОбразованиеОхрана трудаПедагогикаПолитикаПравоПсихологияРелигияРиторикаСоциологияСпортСтроительствоТехнологияТуризмФизикаФилософияФинансыХимияЧерчениеЭкологияЭкономикаЭлектроника






Регрессионный анализ результатов моделирования






Регрессионный анализ – раздел математической статистики, объединяющий методы исследования по статистическим данным зависимости среднего значения одной случайной величины от нескольких других величин . Переменные являются контролируемыми, не случайными величинами, значения которых задаются при планировании эксперимента. Тогда модель результатов машинного эксперимента графически может быть представлена в виде прямой линии

(4)

где – коэффициент ошибок;

– коэффициент регрессии.

, (5)

, (6)

где N – число измерений при моделировании системы.

Требуется получить такие значения коэффициентов b0 и b1, при которых сумма квадратов ошибок модели является минимальной. На рисунке ошибка ei, , для каждой экспериментальной точки определяется как расстояние по вертикали от этой точки до линии регрессии =f (х).

Обозначим i=b0+b1xi, . Тогда выражение для ошибок будет иметь вид:

ei= i – yi=b0+b1xi – yi, а функция ошибки .

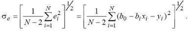
Соотношения для вычисления b0 и b1 требуют минимального объема памяти ЭВМ для обработки результатов моделирования. Обычно мерой ошибки регрессионной модели служит среднее квадратичное отклонение

Для нормально распределенных процессов приблизительно 67 % точек находится в пределах одного отклонения σ e от линии регрессии и 95 % – в пределах 2σ е (трубки А и B соответственно на рис. 6, б). Для проверки точности оценок b0 и b1, в регрессионной модели могут быть использованы, например, критерии Фишера (F -распределение) и Стьюдента (t -распределение). Аналогично могут быть оценены коэффициенты уравнения регрессии и для случая нелинейной аппроксимации.

Регрессионный анализ дает возможность построить модель, наилучшим образом соответствующую набору данных, полученных в ходе машинного эксперимента с системой S. Под наилучшим соответствием понимается минимизированная функция ошибки, являющаяся разностью между прогнозируемой моделью и данными эксперимента. Такой функцией ошибки при регрессионном анализе служит сумма квадратов ошибок.

Пример: Рассмотрим особенности регрессионного анализа результатов моделирования при построении линейной регрессионной модели. На рис. 6, а показаны точки хi, yi, , полученные в машинном эксперименте с моделью М системы S. Делаем предположение, что модель результатов машинного эксперимента графически может быть представлена в виде прямой линии

=f(x)= b0+b1x,

где – величина, предсказываемая регрессионной моделью.

Рис. 6. Построение линейной регрессионной модели.


Поделиться с друзьями:

mylektsii.su - Мои Лекции - 2015-2026 год. (1.004 сек.)Все материалы представленные на сайте исключительно с целью ознакомления читателями и не преследуют коммерческих целей или нарушение авторских прав Пожаловаться на материал