Студопедия

Главная страница Случайная страница

КАТЕГОРИИ:

АвтомобилиАстрономияБиологияГеографияДом и садДругие языкиДругоеИнформатикаИсторияКультураЛитератураЛогикаМатематикаМедицинаМеталлургияМеханикаОбразованиеОхрана трудаПедагогикаПолитикаПравоПсихологияРелигияРиторикаСоциологияСпортСтроительствоТехнологияТуризмФизикаФилософияФинансыХимияЧерчениеЭкологияЭкономикаЭлектроника






Дисперсионный анализ результатов моделирования






При обработке и анализе результатов моделирования часто возникает задача сравнения средних выборок. Если в результате такой проверки окажется, что математическое ожидание совокупностей случайных переменных {y(1)}, {y(2)}, …, {y(n)} отличается незначительно, то статистический материал, полученный в результате моделирования, можно считать однородным (в случае равенства двух первых моментов). Это дает возможность объединить все совокупности в одну и позволяет существенно увеличить информацию о свойствах исследуемой модели ММ, а следовательно, и системы S. Попарное использование для этих целей критериев Смирнова и Стьюдента для проверки нулевой гипотезы затруднено в связи с наличием большого числа выборок при моделировании системы. Поэтому для этой цели используется дисперсионный анализ.

Пример: Рассмотрим решение задачи дисперсионного анализа при обработке результатов моделирования системы в следующей постановке. Пусть генеральные совокупности случайной величины {у(1)}, {y(2)},..., {y(n)} имеют нормальное распределение и одинаковую дисперсию. Необходимо по выборочным средним значениям при некотором уровне значимости γ проверять нулевую гипотезу H0 о равенстве математических ожиданий. Выявим влияние на результаты моделирования только одного фактора, т.е. рассмотрим однофакторный дисперсионный анализ.

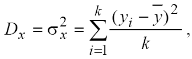
Допустим, изучаемый фактор x привел к выборке значений неслучайной величины Y следующего вида: y1, y2,..., yk, где k – количество уровней х. Влияние фактора будем оценивать неслучайной величиной Dx, называемой факторной дисперсией:

где y – среднее арифметическое значение величины Y.

Если генеральная дисперсия D[y] известна, то для оценки случайности разброса наблюдений необходимо сравнить D[y] с выборочной дисперсией Sв2, используя критерий Фишера (F-распределение). Если эмпирическое значение Fэ попадает в критическую область, то влияние фактора х считается значимым, а разброс значений х – неслучайным. Если генеральная дисперсия D[x] до проведения машинного эксперимента с моделью ММ неизвестна, то необходимо при моделировании найти ее оценку.

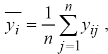
Пусть серия наблюдений на уровне yi имеет вид: уi1, уi2, …, yin,, где n – число повторных наблюдений на i-м уровне. Тогда на i- м уровне среднее значение наблюдений

а среднее значение наблюдений по всем уровням

Общая выборочная дисперсия всех наблюдений

При этом разброс значений у определяется суммарным влиянием случайных причин и фактора х. Задача дисперсионного анализа состоит в том, чтобы разложить общую дисперсию D[у] на составляющие, связанные со случайными и неслучайными причинами.

Оценка генеральной дисперсии, связанной со случайными факторами,

а оценка факторной дисперсии

.

Учитывая, что факторная дисперсия наиболее заметна при анализе средних значений на i -м уровне фактора, а остаточная дисперсия (дисперсия случайности) для средних значений в n раз меньше, чем для отдельных измерений, найдем точную оценку выборочной дисперсии:

.

Умножив обе части этого выражения на n, получим в правой части выборочную дисперсию Sв2, имеющую (k –1)-ю степень свободы. Влияние фактора х будет значимым, если при заданном γ выполняется неравенство Sв2/D0[y]> F1-γ . В противном случае влиянием фактора х на результаты моделирования можно пренебречь и считать нулевую гипотезу Н0 о равенстве средних значений на различных уровнях справедливой.

Таким образом, дисперсионный анализ позволяет вместо проверки нулевой гипотезы о равенстве средних значений выборок проводить при обработке результатов моделирования проверку нулевой гипотезы о тождественности выборочной и генеральной дисперсии.

Вопросы для самоконтроля

  1. Что такое модель?
  2. Поясните термины «натурная модель», «аналоговая модель», «информационная модель». Приведите примеры моделей такого рода.
  3. Перечислите основные признаки классификации моделей.
  4. Опишите классификацию моделей по области использования модели.
  5. Опишите классификацию моделей с учетом фактора времени.
  6. В чем основное отличие детерминированных моделей от стохастических моделей?
  7. Чем отличается статическая модель от динамической модели?
  8. Опишите классификацию моделей по способу представления модели.
  9. Объясните понятие «вербальная модель». Приведите примеры.
  10. Приведите примеры знаковых моделей.
  11. Какие модели называются математическими моделями?
  12. Перечислите и опишите этапы математического моделирования.
  13. Опишите основные типы математических моделей.
  14. Каково назначение оптимизационных математических моделей?
  15. Укажите цели имитационного моделирования.

 

7. Методические указания для выполнения практического задания №1. «Построение простейших моделей»

Задание:

  1. По номеру варианта выбрать объект из Приложения 1.
  2. Для объекта выбрать соответствующую модель (Примеры моделей приведены ниже). Допускается выбор своей модели.
  3. Определить отношения между объектом и моделью.
  4. Указать соответствующую классификацию для модели.
  5. Для объекта заполнить таблицу соответствий.

Поделиться с друзьями:

mylektsii.su - Мои Лекции - 2015-2026 год. (1.634 сек.)Все материалы представленные на сайте исключительно с целью ознакомления читателями и не преследуют коммерческих целей или нарушение авторских прав Пожаловаться на материал