Студопедия

Главная страница Случайная страница

КАТЕГОРИИ:

АвтомобилиАстрономияБиологияГеографияДом и садДругие языкиДругоеИнформатикаИсторияКультураЛитератураЛогикаМатематикаМедицинаМеталлургияМеханикаОбразованиеОхрана трудаПедагогикаПолитикаПравоПсихологияРелигияРиторикаСоциологияСпортСтроительствоТехнологияТуризмФизикаФилософияФинансыХимияЧерчениеЭкологияЭкономикаЭлектроника






Длина гладкого концевого участка






lk=4*t=52 мм

Берём lk= 55 мм

Общая длина барабана:

Lб= 2* lН+ l0+2* lk≈ 1696 мм

Высота оси барабана над основанием внешней опоры

H=100 мм.

Барабан отлит Барабан отлит из серого чугуна марки СЧ15-32 с пределом прочности σ в= 65кг/м2.

 

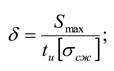
Толщина стенки барабана определяется из расчета на сжатие:

;

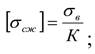
где [σ сж] – допускаемое напряжение сжатия для данной стали:

где К – коэффициент запаса прочности; для крюковых кранов К=4, 25,

σ в – предел прочности чугуна.

[σ сж] = 65/4, 25=15, 3 МПа

δ = 804/13/15, 3= 4, 1 мм

По условиям технологии изготовления литых барабанов толщина их

стенки должна быть не менее определённой по эмпирической зависимости и может быть определена по формуле:

δ =0, 02D+(0, 6…10)мм= 0, 02*250 +1=6 мм,

Принимаем толщину стенки δ = 6 мм. [1]

3.7. Выбор двигателя

Максимальная статистическая мощность

Nст.маx=G*v/η пр

Где G≈ 32кН

V=0, 2 м/c

η пр=0.9

Nст.маx=32*0, 2/0, 9≈ 7, 11 кВт.

Рис. Геометрические размеры двигателя
По каталогу на двигатели принимаем

двигатель МТF 112-6, имеющий

при ПВ=15% N=6.3 кВ, с частотой вращения 895 оборотов/мин.

Максимальный момент Мдв.мах= 12.5 кг*м

Относительная продолжительность включения ПВдв.=15%

Диаметр конца вала dв.дв.= 35 мм.

Момент инерции ротора jр.дв.=0.27 кг*м2

Масса двигателя mдв.= 88 кг. [2]


Поделиться с друзьями:

mylektsii.su - Мои Лекции - 2015-2026 год. (0.898 сек.)Все материалы представленные на сайте исключительно с целью ознакомления читателями и не преследуют коммерческих целей или нарушение авторских прав Пожаловаться на материал