Студопедия

Главная страница Случайная страница

КАТЕГОРИИ:

АвтомобилиАстрономияБиологияГеографияДом и садДругие языкиДругоеИнформатикаИсторияКультураЛитератураЛогикаМатематикаМедицинаМеталлургияМеханикаОбразованиеОхрана трудаПедагогикаПолитикаПравоПсихологияРелигияРиторикаСоциологияСпортСтроительствоТехнологияТуризмФизикаФилософияФинансыХимияЧерчениеЭкологияЭкономикаЭлектроника






Подключение электросчётчиков

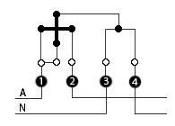
Однофазные электросчётчики имеют четыре контакта в клеммной колодке. Схемы подключения однофазных электросчётчиков типовые, независимо от типа счётчика. На клемму 1 подаётся питание - фаза, клемма 2 – его выход на нагрузку; соответственно, приходящий ноль подаётся на клемму 3, его выход на нагрузку – клемма 4. Применение трансформаторов тока в них не предусмотрено.

Схема подключения однофазного электросчётчика:

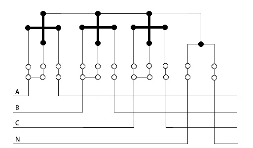
Трёхфазные счётчики, в отличие от однофазных могут иметь разные схемы подключения, в зависимости от типа счётчика. Существуют счётчики прямого включения (более 5 Ампер) - они подключаются без трансформаторов тока и счётчики с токовым номиналом 5 Ампер - их можно поключать с трансформаторами тока и напрямую. Буква У в маркировке счётчика (напр. СА4У-И672М) означает, что он может быть подключен как через трансформаторы тока, так и без них (универсальный).

Схема подключения трёхфазного электросчётчика прямого включения:

Схема подключения трёхфазного электросчётчика через трансформаторы тока:

 

<== предыдущая лекция | следующая лекция ==>
Роль периодических изданий в краеведении сер.90-нач.XX в. | Расчет процесса сжигания топлива
Поделиться с друзьями:

mylektsii.su - Мои Лекции - 2015-2026 год. (2.819 сек.)Все материалы представленные на сайте исключительно с целью ознакомления читателями и не преследуют коммерческих целей или нарушение авторских прав Пожаловаться на материал