Студопедия

Главная страница Случайная страница

КАТЕГОРИИ:

АвтомобилиАстрономияБиологияГеографияДом и садДругие языкиДругоеИнформатикаИсторияКультураЛитератураЛогикаМатематикаМедицинаМеталлургияМеханикаОбразованиеОхрана трудаПедагогикаПолитикаПравоПсихологияРелигияРиторикаСоциологияСпортСтроительствоТехнологияТуризмФизикаФилософияФинансыХимияЧерчениеЭкологияЭкономикаЭлектроника






Оснащенных рабочими конвейерами






 

К поточным линиям с принудительным поддержанием ритма относятся те, на которых передача предметов с операции на операцию (от одного рабочего места к другому) осуществляется при помощи единого для всех операций транспортного средства, приводимого в движение каким-либо двигателем. К таким транспортным средствам относятся конвейеры различных видов. Рабочие конвейеры, как правило, применяются на линиях, на которых не используется стационарное технологическое оборудование и преобладающим является ручной труд.

Рабочие непрерывные конвейеры. Такие конвейеры используются преимущественно на линиях, где выполняются несложные в технологическом отношении операции с небольшим ритмом выпуска изделий. Три главные характеристики рабочего непрерывного конрейера связаны соотношением:

VK = l к/rл,

где VK скорость ленты;

l к - шаг конвейера, т. е. расстояние между осями смежных изделий да линии.

Если шаг конвейера показывает расстояние между осямисмежных транспортных партий, то и в знаменателе формулы должен стоять временной интервал между соседними партиями, т. е. Rтр - ритм транспортной партии:

VK = 1К/ Rтр = IK/ rл nтр

Практически скорость конвейеров колеблется в пределах от 0, 1 до 4, 0 м/мин. Три более высоких скоростях работа на конвейере неудобна или ке небезопасна.

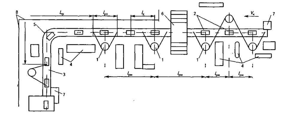
При работе с относительно небольшими изделиями и малой ркорости конвейера рабочий может находиться на одном месте и выполнять операцию, перемещая руки вместе с лентой во время нахождения изделия в отведенной для этого рабочей зоне. Длина рабочей зоны строго ограничена антропометрическими характеристиками (длина рук, наклон туловища и т. п.). За одной операцией всегда закрепляется одно рабочее место, т. е. qj = 1. Нетрудно заметить, что при полной синхронизации операций, когда перерывов в работе рабочих нет и tj = гл, должно выполняться условие l пз = l к, где l пз — протяженность рабочей зоны вдоль оси конвейера. Другими словами, когда рабочий закончит работу в конце своей рабочей зоны и перенесет руки обратно в ее начало (считается, что перенос (выполняется мгновенно), там уже должно находиться следующее изделие.

В рабочей зоне можно выделить три части: основную и две резервные — в начале и конце зоны. Время выполнения операции есть величина случайная, колеблющаяся около своего среднего значения. Затрачивая на выполнение операции среднее время, рабочий может работать в основной, наиболее удобной части зоны, а во время нахождения изделия в резервных зонах — может отдыхать. Но при отклонении времени от среднего значения в сторону увеличения он должен успеть выполнить операцию, используя для этого резервные части зоны. Суммарная протяженность резервной зоны вдоль оси конвейера определяется по формуле l рез = (tjmax - tj)VK, где tjmax — максимально допустимая фактическая продолжительность выполнения данной операции.

Рабочие могут находиться у ленты конвейера на расстоянии друг от друга не меньшем, чем длина рабочей зоны. Расстояние между осями смежных рабочих мест называется шагом рабочих мест конвейера — l рм. Тогда справедливо соотношение l рм > l рз= l к. Выбор минимально возможного значения l рм, с одной стороны, рационален, так как уменьшает общую длину рабочей части конвейера Lк= l рм Копдо величины LK= l рз Kon, но с другой стороны, может не обеспечивать удобства планировки рабочих мест и размещения всех предметов их оснащения. Простейшее решение этой проблемы - вынос каждого второго рабочего места на противоположную сторону ленты, т. е. расположение их в «шахматном порядке». Это не увеличивает шага рабочих мест, но в два раза расширяет возможности их обустройства.


 

 

 

Рис. 12.3. Схема планировки конвейерной линии:

1 - рабочие; 2 - изделия; 3 - лента конвейера; 4 - предметы оснащения рабочих мест; 5 - поворотная секция конвейера;

6 - пешеходный мостик над лентой; 7 - приводные механизмы конвейера; 8 - стена цеха


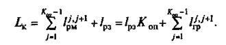
Если этого недостаточно, то шаг рабочих мест увеличивается за счет введения транспортных зон между соседними рабочими зонами, т. е.

где l тр — протяженность транспортной зоны между рабочими местами, на которых выполняются j и j + 1 операции технологического процесса.

Транспортные зоны на конвейере могут также возникать в случае перемещения изделия из одного помещения поточной линии в другое, прохождения неудобных для работы пространств (под пешеходными или автомобильными мостиками и др.). В этом случае общая длина конвейера увеличится до

Однако такое увеличение может быть нежелательно, так как с ростом длины конвейера увеличивается число изделий, находящихся на его ленте NK = [Lк/ l к] + 1, а с ним увеличиваются заделы незавершенного производства, нагрузка на конструкции конвейера и их стоимость, расход двигательной энергии и пр. Чтобы улучшить условия выполнения технологических операций, скорость ленты можно уменьшить за счет уменьшения шага конвейера. При этом уменьшится и длина рабочей зоны, но адекватного ей уменьшения шага рабочих мест ожидать трудно. Следовательно, это приводит к увеличению числа предметов на ленте и к обусловленным этим отрицательным последствиям.

Задача производственного менеджера — найти оптимальное сочетание противоречивых характеристик конвейерной линии. Помогает ему в этом составление схемы пространственной планировки линии (рис. 12.3) и графической модели ее работы (рис. 12.4).

 

Рис. 12.4. График движения изделий по первым четырем

рабочим местам линии:

планировка линии показана на рис. 12.3; ось расстояний на графике для удобства восприятия повернута вниз

Пример 12.1

На ОНПЛ установлен рабочий непрерывный конвейер с шагом 0, 6 м. Предметы труда находятся на ленте в кассетах по 6 шт. Шаг рабочих мест переменный. Минимальный шаг равен длине рабочей зоны; протяженность транспортной зоны под пешеходным мостиком l тр = l рм; длина поворотной секции по оси конвейера l тр = 1, 1 м.

Линия работает в две смены, каждый час предусмотрен 6-минутный регламентированный перерыв. Производственное задание на день - 4320 шт. Требуется определить ритм линии, скорость конвейера, общую длину конвейера, число изделий на нем, а также нагрузку на конвейер, если масса кассеты — 420 г и средняя масса одного изготавливаемого изделия — 160 г. Как изменятся характеристики конвейера, если его шаг уменьшить до 0, 4 м, не изменяя при этом расположения и планировки рабочих мест?

Решение

Решение всегда начинается с расчета ритма линии:

Поскольку изделия перемещаются транспортными партиями, для расчета скорости надо использовать ритм партии, а не единицы продукции:

Для расчета общей длины конвейера не хватает лишь шага последней пары рабочих мест. Он складывается из двух составляющих:

Тогда

Число изделий на линии равно:

Нагрузка на конвейер определяется массой изделий и кассет на ленте и ускорением силы тяжести:

Если шаг уменьшить до 0, 4 м при неизменной длине конвейера, количество кассет увеличится и составит (5, 9/0, 4) + 1 = 15 шт., что повлечет за собой возрастание объема незавершенного производства; нагрузка на ленту также возрастет до 15 х (420 + 6 х 160) х 9, 8 = 202 860 Я; рабочие зоны уменьшатся до 0, 4 м; скорость ленты составит 0, 4/(0, 2 х 6) = 0, 33 м/мин, т. е. условия выполнения операций улучшатся. Между всеми рабочими зонами на 0, 2 м увеличатся (или возникнут) транспортные зоны (рис. 12.5 и 12.6).

При сборке крупных изделий (автомобилей, холодильников и т. п.) рабочие обычно движутся вслед за изделием по своей рабочей зоне. Это практически снимает ограничение на ее протяженность, но требует введения в расчет времени возврата рабочих в начало их рабочей зоны tв. Конвейер за время, равное ритму, перемещает изделие на шаг, а рабочие за то же время должны выполнить операцию в их рабочей зоне и вернуться обратно, т. е. rд = tj + tB; j = 1,..., Коп.

 

Рис. 12.5. фрагмент схемы конвейерной линии:

планировка линии показана на рис. 12.3; шаг конвейера уменьшен до 0, 4 м, шаг рабочих мест не изменился

 

Рис. 12.6. График движения изделий по первым четырем

рабочим местам линии: планировка линии показана на рис. 12.5

 

Из этого следует, что длина рабочей зоны всегда должна быть меньше шага конвейера (l pз < l к) на величину, которую пройдет изделие за время возврата рабочего, т. е. l к - l рз= VKtB.При заданных шаге и скорости конвейера нужно найти длину рабочей зоны и зависящее от нее время возврата рабочего. Для решения задачи следует записать второе уравнение и решить систему. Свяжем уравнением величины l рз и tв:

где Vв —скорость возврата рабочего.

Тогда Vktв = l k - Vktв; отсюда tВ = l К/(VВ + Vк) и l pз = l kVk/(FB+ Vк). Анализ этой формулы показывает, что при очень больших скоростях возврата рабочих шаг конвейера оказывается практически равен длине рабочей зоны (как в случае, когда рабочий неподвижен и возвращает в начало зоны лишь руки), а при снижении скорости возврата разница между ними возрастает.

 

Пример 12.2

Сборочный конвейер автозавода (рабочий с непрерывным движением) работает с ритмом 2, 6 мин/шт. Его шаг -8, 5м На конвейере выполняется 310 операций. Рабочие, выполняя операции, движутся вслед за конвейером, а затем возвращаются в начало их рабочей зоны со скоростью 3 км/ч. Рабочие зоны разделены транспортными зонами по 1, 2 м каждая. Через конвейер организованы шесть проездов шириной 8 м каждый. Требуется найти скорость конвейера, длину рабочих зон, общую длину конвейера, время сборки одной машины и число машин, находящихся в сборке. Может ли рабочий выполнять свою операцию за 2, 40 мин; 2, 55 мин?

Решение

Определим скорость конвейера:

Учитывая скорость возврата рабочих Vв = 3 км/ч = 50 м/мин, рассчитаем длину рабочей зоны:

Шаг рабочих мест без учета шести проездов составит:

Общая длина конвейера равна:

Число машин в сборке составит:

Время сборкиодной машины равно:

Отметим, что при наличии 310 рабочих мест сборщиков на конвейере находится 341 машина. Это значит, что 31 машина перемещается в транспортных зонах. Графическая модель работы такого конвейера представлена на рис. 12.7. Определим нормативное время выполнения операций и время возврата рабочих:

составляющие в сумме ритм линии 2, 6 мин.

Если какой-либо рабочий выполнит свою операцию за 2, 4 мин, то он пройдет за это время по рабочей зоне 2, 4 х 3, 27 = 7, 85 м, которые при возвращении долженбудет пройти за (в = 2, 6 - 2, 4 = 0, 2 мин со скоростью:

 

Рис. 12.7. График движения изделий по первым двум рабочим зонам сборочного конвейера: скорость конвейера численно равна tg а, скорость возврата рабочих равна tg b

 

Если время выполнения операции 2, 55 мин, аналогичные расчеты дадут следующие результаты: 2, 55 х 3, 27 = 8, 34 м, что допустимо, так как не превышает шаг рабочих мест 9, 18 м; te= 2, 6 - 2, 55 = 0, 05 мин = 3 с, что на возврат явно мало; Vs= 9, 18/0, 05 = 166, 77 м/мин = 10 км/ч - это скорость хорошего бегуна. Таким образом, увеличение времени выполнения операции с 2, 4 мин до 2, 55 мин, т. е. на 6%, приводит к уменьшению времени возврата в четыре раза и росту скорости возврата в 4, 25 раза.

 

Рабочие конвейеры с периодическим (пульсирующим) движением.

На таких конвейерах лента во время выполнения технологических операций находится в неподвижном состоянии. По окончании работы изделия перемещаются лентой на один шаг, т. е. проходят путь, равный расстоянию между двумя смежными предметами, после чего лента конвейера опять останавливается. Рабочие конвейеры с пульсирующим движением ленты применяются в тех случаях, когда по условиям технологического процесса изделие должно быть неподвижным или когда установлен высокий ритм изготовления крупных по размерам, сложных и тяжелых изделий. В последнем случае при непрерывном движении ленты скорость конвейера была бы слишком малой.

Будем считать, что пульсация ленты на величину шага конвейера l к происходит со скоростью Vдвза время едв. Три названные характеристики конвейера связаны уже известным соотношением tдв= l к/Vв. Время пульсации входит в состав ритма линии rл = tj + tдв; j = 1,..., Коп.В это время рабочие простаивают, поэтому понятно стремление свести его к минимуму, для чего можно либо уменьшить шаг конвейера, либо увеличить скорость пульсации. Последнее сопряжено с большими нагрузками на двигатели при разгоне и торможении, а также с возникающими при этом ускорениями, которые могут быть опасны для изделий. Уменьшение шага, как уже отмечалось, также нежелательно.

То, что лента во время выполнения технологических операций неподвижна, приводит к исключению понятия «рабочая зона», как оно трактовалось ранее, и всех связанных с этим расчетов. То, что лента всегда продвигается строго на один шаг l к, приводит к появ лению нового требования: шаги рабочих мест должны быть либо равны, либо в целое число раз превышать шаг конвейера. Графическая модель работы такого конвейера представлена на рис. 12.8.

 

 

Рис. 12.8. График движения изделий по первым четырем рабочим местам

ОНПЛ: линия оснащена рабочим пульсирующим конвейером, скорость

пульсации ленты равна tg a

 

 


Поделиться с друзьями:

mylektsii.su - Мои Лекции - 2015-2026 год. (1.083 сек.)Все материалы представленные на сайте исключительно с целью ознакомления читателями и не преследуют коммерческих целей или нарушение авторских прав Пожаловаться на материал