Студопедия

Главная страница Случайная страница

КАТЕГОРИИ:

АвтомобилиАстрономияБиологияГеографияДом и садДругие языкиДругоеИнформатикаИсторияКультураЛитератураЛогикаМатематикаМедицинаМеталлургияМеханикаОбразованиеОхрана трудаПедагогикаПолитикаПравоПсихологияРелигияРиторикаСоциологияСпортСтроительствоТехнологияТуризмФизикаФилософияФинансыХимияЧерчениеЭкологияЭкономикаЭлектроника






Определение технических нормативов






Пояснительная записка к курсовому проекту

«Изыскания и проектирование автомобильных дорог»

 

Студент: Кудрявцев А.Н.

Группа: 3Д4

Преподаватель: Шевяков А.П.

 

Москва 2012г.

Содержание

1. Назначение категории дороги.....................................................................4

2. Определение технических нормативов........................................................5

2.1. Расчетные схемы и расчет нормативов плана продольного и поперечного профиля дороги................................................................................................5

2.2. Сводные таблицы нормативов.................................................................10

3. Проектирование плана трассы по вариантам............................................11

3.1. Требования положения трассы в плане..................................................11

3.2. Топографическая карта с вариантами плана трассы............................12

3.3. Ведомости прямых и кривых.................................................................13

3.4. Таблица сравнения варианта..................................................................14

4. Проектирование продольного профиля принятого плана трассы...........15

4.1. Определение отметок оси трассы, сводная таблица отметок................15

4.2. Расчет минимальной дополнительной высоты насыпи из условий снегозаносимости, в местах расположения водопропускных труб и на путепроводах..................................................................................................16

4.3. Расчетные схемы и формулы определения проектных отметок на прямых и вертикальных кривых....................................................................17

4.4. Пример расчета проектных отметок на одной из вертикальных кривых.............................................................................................................18

4.5. Чертеж продольного профиля...............................................................19

5. Поперечные профили и конструкция дорожной одежды.........................20

6. Таблица объемов земляных работ и расчетные формулы.......................26

7. Список используемой литературы.............................................................28

 

 

Назначение категории дороги

Обоснование расчетом технических нормативов

Преобладающие транспортные средства Интенсивность движения, авт/сут Расчетная скорость, км/ч
Автомобили легковые: ВАЗ     Автомобили грузовые: ГАЗ ЗИЛ     КамАЗ 56% (3024)     14% (756) 10% (540)     20% (1080)    

Определение категории дороги

Nприв = Nл + k1N1 + k2N2 + k3N3 + k3N4

Nприв =3024 + 1, 5∙ 756 + 2, 0∙ 540 + 2, 5∙ 1080 = 7938

Вывод:

Интенсивность движения Категория дороги
авт/сут приведенные авт/сут
    II

 

 

Определение технических нормативов

2.1.Расчетные схемы и расчет нормативов плана продольного и поперечногопрофиля дороги

Легковые автомобили: ВАЗ: ширина кузова (а) 1, 6 м

ширина колеи (с) 1, 35 м

высота 1, 4 м

Грузовые автомобили: КамАЗ: ширина кузова (а) 2, 6 м

ширина колеи (с) 1, 9 м

высота 2, 5 м

 

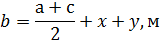
где x и y - зазоры безопасности

Ширина проезжей части

- для легкового

x=y=0, 5 + 0, 005∙ V=0, 5 + 0, 005∙ 120=1, 1м

м

- для грузового

x=y=0, 5 + 0, 005∙ V=0, 5 + 0, 005∙ 70=0, 85м

м

B = 2b = 3, 95∙ 2= 7, 9 м

Ширину обочины принимаем согласно соответствующим нормативам:

Для дороги II категории – 3, 0 м

Bз = B + 2bоб = 13, 9 м

Рассчитываем продольный уклон

i = D – f

КамАЗ D=0, 043

f = f0 ∙ [1 + 0, 01(V -50)]= 0, 01 ∙ [1 + 0, 01(70 -50)]=0, 012

i = 0, 043-0, 012=0, 031

Вывод: согласно расчетам предельный продольный уклон равен 31‰.


Поделиться с друзьями:

mylektsii.su - Мои Лекции - 2015-2026 год. (2.824 сек.)Все материалы представленные на сайте исключительно с целью ознакомления читателями и не преследуют коммерческих целей или нарушение авторских прав Пожаловаться на материал