Студопедия

Главная страница Случайная страница

КАТЕГОРИИ:

АвтомобилиАстрономияБиологияГеографияДом и садДругие языкиДругоеИнформатикаИсторияКультураЛитератураЛогикаМатематикаМедицинаМеталлургияМеханикаОбразованиеОхрана трудаПедагогикаПолитикаПравоПсихологияРелигияРиторикаСоциологияСпортСтроительствоТехнологияТуризмФизикаФилософияФинансыХимияЧерчениеЭкологияЭкономикаЭлектроника






Коэффициент корреляции Кендалла






Коэффициент корреляции (тау) Кендалла относится к числу непараметрических, т е при вычислении этого коэффициента не играет роли характер распределения сравниваемых переменных Коэффициент «т» предназначен для работы с данными, полученными в ранговой шкале Иногда этот коэффициент можно использовать вместо коэффициента корреляции Спирмена, поскольку способ его вычисления более прост и основан на вычислении суммы инверсий и совпадений

Задача 11.6 Психолог просит супругов проранжировать семь личностных черт, имеющих определяющее значение для семейного благополучия Задача заключается в том, чтобы определить, в какой степени совпадают оценки супругов по отношению к ранжируемым качествам

Данные задачи и необходимые для вычислений коэффициента Кендалла столбцы представим сразу в виде таблицы

Для подсчета коэффициента корреляции (тау) необходимо упорядочить второй столбец (оценки мужа) таблицы 11 8 по возрастанию рангов, в нашем случае от 1 до 7 Соответственно этому поменяются местами как сами черты, так и соответствующие ранги третьего ряда Оформим эти преобразования в новую таблицу 11 9

Посмотрим, как следует заполнять последние два столбца таблицы 11 9 Теперь для работы нам нужен только столбец с рангами, проставленными женой На его основе заполним последние два столбца таблицы 11 9, подсчитав, сначала число совпадений Подсчет совпадении происходит следующим образом берем самое верхнее число третьего столбца — 5 Подсчитываем сколько всего чисел больших 5 встречаются ниже в этом же столбце Находим их — это 6 и 7 Их всего два Двойку ставим напротив числа 5 в колонке «Совпадения» Берем затем следующее число 6 — ниже по столбцу и больше его, также ниже по столбцу, встречается только одно число 7 Ставим напротив 6 в столбце «Совпадения» — 1 Берем следующее число 7 — больше по величине не может встретиться ни одно число, поскольку 7 это максимальный ранг Ставим напротив 7 в столбце «Совпадения» — О И так далее

Для определения количества инверсий опять берем самое верхнее число третьего столбца — 5 Подсчитываем, сколько всего чисел встречаются ниже по столбцу, меньших чем 5 Это числа 4, 3, 2 и 1 Их 4 Ставим напротив числа 5 в столбце «Инверсия» число 4 Берем следующее число 6 — ниже по столбцу и меньше, чем 6, встречаются те же числа, что и для 5 Ставим напротив 6 в столбце «Инверсия» число — 4 То же верно и для числа 7 Меньше числа 3 ниже по столбцу встречаются числа 2 и 1 Ставим напротив 3 в столбце «Инверсия» число — 2 И так далее

Число совпадений обозначается буквой Р, а число инверсий буквой Q Для проверки правильности подсчета числа инверсий и совпадений используется следующая формула

Где Р — число совпадений,

Q — число инверсий,

N — число ранжируемых признаков (черт)

Подставляем в формулу (11 12) полученные в нашем случае величины, получаем

Следовательно, подсчет числа инверсий и совпадений был произведен правильно

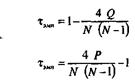
Подсчет коэффициента Кендалла может осуществляться по трем тождественным формулам Первая формула

В двух других формулах используются либо Р, либо Q

Проведем подсчет коэффициента корреляции по всем трем формулам

Проверим уровень значимости коэффициента корреляции по формуле

Число степеней свободы в нашем случае будет к — п - 2 = = 7-2=5 По таблице 16 Приложения 1 для к = 5 находим критические значения критерия Стьюдента, они равны соответственно для Р< 0, 05 tKp = 2, 57 и для Р< 0, 01 tKp =4, 03 Влринятой форме записи это выглядит так

Значение величины Тф попало в зону незначимости В терминах статистических гипотез гипотеза НК отклоняется и принимается гипотеза Н0 о том, что коэффициент корреляции «т» Кендалла достоверно не отличается от нуля Иными словами, согласованности между мужем и женой в оценке значимых для семейного благополучия личностных черт нет

Для применения коэффициента корреляции «т» Кендалла необходимо соблюдать следующие условия:

1 Сравниваемые признаки должны быть измерены в порядковой шкале

2 Число варьирующих признаков в сравниваемых переменных X и Y должно быть одинаковым

3 Величина «т» Кендалла независима от закона распределения величин Х и Y

4 При расчетах этого коэффициента не допускается использование одинаковых рангов

5 Для оценки уровня достоверности коэффициента «т» следует пользоваться формулой (И 9) и таблицей критических значений для f-критерия Стьюдента при к =* я – 2


Поделиться с друзьями:

mylektsii.su - Мои Лекции - 2015-2026 год. (2.195 сек.)Все материалы представленные на сайте исключительно с целью ознакомления читателями и не преследуют коммерческих целей или нарушение авторских прав Пожаловаться на материал