Студопедия

Главная страница Случайная страница

КАТЕГОРИИ:

АвтомобилиАстрономияБиологияГеографияДом и садДругие языкиДругоеИнформатикаИсторияКультураЛитератураЛогикаМатематикаМедицинаМеталлургияМеханикаОбразованиеОхрана трудаПедагогикаПолитикаПравоПсихологияРелигияРиторикаСоциологияСпортСтроительствоТехнологияТуризмФизикаФилософияФинансыХимияЧерчениеЭкологияЭкономикаЭлектроника






Множественная корреляция






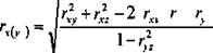
Наряду с анализом связей между двумя рядами данных можно проводить анализ многомерных корреляционных связей Наиболее простым случаем нахождения подобной зависимости является вычисление коэффициентов множественной корреляции между тремя переменными X, У и Z В соответствии с числом переменных вычисляются три коэффициента множественной корреляции Собственно говоря, коэффициент множественной корреляции оценивает тесноту линейной связи одной переменной, например X, с двумя остальными, У и Z, и обозначается как гх(уг) При оценке тесноты линейной связи переменной У с переменными X и Z, коэффициент множественной корреляции обозначается как Вычисление коэффициентов множественной корреляции базируется на коэффициентах линейной корреляции между переменными X и У — г, X и Z — ги, У и Z — гуг Для вычисления одного из коэффициентов множественной корреляции, например гМуа, используется следующая формула

где г, га, г)г — коэффициенты линейной корреляции между парами переменных Хи У, Xи Z, У и Z

Коэффициент множественной корреляции принимает значения от 0 до 1 Значимость этого коэффициента оценивают по величине /-критерия Стьюдента с числом степеней свободы к = п – 3

Собственно говоря, формулы для вычисления коэффициентов и аналогичны формуле (И 20) и получаются из нее перестановкой индексов

Формула для вычисления коэффициента

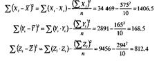
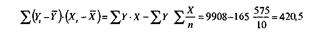
Задача 10 менеджеров оценивались по методике экспертных оценок психологических характеристик личности руководителя (см Психологические тесты Т 2 Под ред А А. Карелина М Вла-дос 1999 Стр 99) 15 экспертов производили оценку каждой психологической характеристики по пятибальной системе Психолога интересуют три вопроса в какой степени тактичность (переменная X) одновременно связана с требовательностью (переменная Y) и критичностью (переменная Z), в какой степени требовательность одновременно связана с тактичностью и критичностью, и, наконец, в какой степени критичность одновременно связана с тактичностью и требовательностью9 Решение. Результаты исследования сразу представим в виде таблицы 11 12, в которой произведем некоторые нужные вычисления

Для подсчета необходимых коэффициентов множественной корреляции используем следующие выражения:

Отсюда

Далее

Полученный коэффициент множественной корреляции попал в зону значимости Следовательно, необходимо принять ги потезу Я, об отличии полученного коэффициента от нуля Очевидно также, что остальные коэффициенты множественной корреляции также окажутся в зоне значимости Поэтому возможна следующая интерпретация полученного результата — все три оцениваемых качества оказывают существенное влияние друг на друга, иными словами, такие качества личности менеджера, как критичность, тактичность и требовательность, выступают единым комплексом и в очень большой степени необходимы для успешности его профессиональной работы

Для применения множественного коэффициента корреляции необходимо соблюдать следующие условия:

1 Сравниваемые переменные должны быть измерены в шкале интервалов или отношений

2 Предполагается, что все переменные имеют нормальный закон распределения

3 Число варьирующих признаков в сравниваемых переменных должно быть одинаковым

4 Для оценки уровня достоверности корреляционного отношения Пирсона следует пользоваться формулой (11 9) н таблицей критических значений для /-критерия Стьюдента при к = п - 3


Поделиться с друзьями:

mylektsii.su - Мои Лекции - 2015-2026 год. (1.416 сек.)Все материалы представленные на сайте исключительно с целью ознакомления читателями и не преследуют коммерческих целей или нарушение авторских прав Пожаловаться на материал