Студопедия

Главная страница Случайная страница

КАТЕГОРИИ:

АвтомобилиАстрономияБиологияГеографияДом и садДругие языкиДругоеИнформатикаИсторияКультураЛитератураЛогикаМатематикаМедицинаМеталлургияМеханикаОбразованиеОхрана трудаПедагогикаПолитикаПравоПсихологияРелигияРиторикаСоциологияСпортСтроительствоТехнологияТуризмФизикаФилософияФинансыХимияЧерчениеЭкологияЭкономикаЭлектроника






Галлямова Р.Ф.






Решение.

Для системы из m уравнений с n неизвестными (m < = n) любые m переменных называются базисными, если определитель составленный из коэффициентов при этих неизвестных отличен от нуля (остальные nm переменных называются свободными).

Система состоит из m=2 уравнений с n=4 неизвестными

Определим различные решения этой системы. Количество базисных решений не должен превышать . По определению базисное решение включает только две переменные, предполагая, что небазисных нулевых переменных 2.

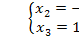
I. Нулевые (небазисные) переменные:

Единственное решение, => доступно базисное решение

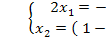
II. Нулевые (небазисные) переменные:

Единственное решение, => недоступно базисное решение.

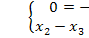
III. Нулевые (небазисные) переменные:

Решение нет => базисного решения не существует.

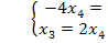
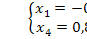
IV. Нулевые (небазисные) переменные:

Единственное решение, => недоступно базисное решение.

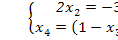
V. Нулевые (небазисные) переменные:

Единственное решение, => недоступно базисное решение.

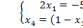
VI. Нулевые (небазисные) переменные:

Единственное решение, => недоступно базисное решение.


Поделиться с друзьями:

mylektsii.su - Мои Лекции - 2015-2026 год. (1.027 сек.)Все материалы представленные на сайте исключительно с целью ознакомления читателями и не преследуют коммерческих целей или нарушение авторских прав Пожаловаться на материал