Студопедия

Главная страница Случайная страница

КАТЕГОРИИ:

АвтомобилиАстрономияБиологияГеографияДом и садДругие языкиДругоеИнформатикаИсторияКультураЛитератураЛогикаМатематикаМедицинаМеталлургияМеханикаОбразованиеОхрана трудаПедагогикаПолитикаПравоПсихологияРелигияРиторикаСоциологияСпортСтроительствоТехнологияТуризмФизикаФилософияФинансыХимияЧерчениеЭкологияЭкономикаЭлектроника






Аналитическое решение






Для определения сопротивления заземления необходимо знать потенциал шара. Чтобы найти потенциал шара, применим метод зеркальных изображений. Линии тока заземлителя на поверхности земли не имеют нормальных составляющих, идут вдоль поверхности. Поэтому электрическое поле шара в неоднородной проводящей среде будет аналогично электрическому полю двух шаров в однородной среде в том случае, когда на зеркальном изображении будет ток того же знака, что и на шаровом заземлителе (рис. П2).

Потенциал, создаваемый каждым из шаров в произвольной точке, найдём в предположении, что можно пренебречь искажением поля, вносимым другим шаром, в силу значительно большего расстояния между шарами, чем радиус шара. Окружим уединённый заземлитель сферой радиуса . В силу симметрии плотность тока на поверхности сферы направлена по нормали к ней и во всех точках имеет величину:

. (1)

По закону Ома в дифференциальной форме напряжённость поля равна:

. (2)

Теперь потенциал найдётся интегрированием:

,

причём, если принять, что при , то , и потенциал

. (3)

 

 

 

Рис. П2

 

Потенциал двух шаров в произвольной точке (см. рис. 2) найдём сложением:

. (4)

Опустим точку на поверхность 1-го шара. При этом , ,

.

Сопротивление шарового заземлителя:

. (5)

Теперь найдём шаговое напряжение между точками и . Для точки : ; для точки : . Потенциалы:

,

и шаговое напряжение:

. (6)

Предельный ток , соответствующий предельному шаговому напряжению :

. (7)

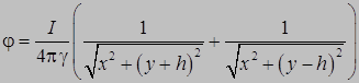
Формула (4) будет представлять формулу для нахождения потенциала в любой точке пространства, необходимую для построения картины эквипотенциальных линий во время компьютерного моделирования, если ввести систему координат (см. рис. 2) и в ней расписать расстояния , :

. (6)

Тогда

. (7)

Формулы для составляющих плотности тока (составляющих напряжённости электрического поля) в любой точке внутри земли, необходимые для построения картины линий тока, получим из соотношений:

.

Окончательно:

. (8)

 


Поделиться с друзьями:

mylektsii.su - Мои Лекции - 2015-2026 год. (3.197 сек.)Все материалы представленные на сайте исключительно с целью ознакомления читателями и не преследуют коммерческих целей или нарушение авторских прав Пожаловаться на материал