Студопедия

Главная страница Случайная страница

КАТЕГОРИИ:

АвтомобилиАстрономияБиологияГеографияДом и садДругие языкиДругоеИнформатикаИсторияКультураЛитератураЛогикаМатематикаМедицинаМеталлургияМеханикаОбразованиеОхрана трудаПедагогикаПолитикаПравоПсихологияРелигияРиторикаСоциологияСпортСтроительствоТехнологияТуризмФизикаФилософияФинансыХимияЧерчениеЭкологияЭкономикаЭлектроника






Нелинейная регрессия






Рассмотрим наиболее простые случаи нелинейной регрессии: гиперболу, экспоненту и параболу. При нахождении коэффициентов гиперболы и экспоненты используют прием приведения нелинейной регрессионной зависимости к линейному виду. Это позволяет использовать для вычисления коэффициентов функций регрессии выше приведенные формулы.

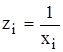
Гипербола. Для приведения уравнения вида к линейному виду вводят новую переменную , тогда уравнение гиперболы принимает линейный вид . После этого используют формулы (1) и (2) для нахождений линейной функции, но вместо значений используются значения :

; . (3)

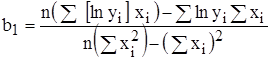
Экспонента. Для приведения к линейному виду уравнения экспоненты проведем логарифмирование:

;

;

.

Введем переменные и , тогда , откуда следует, что можно применять формулы (1) и (2), в которых вместо значений надо использовать :

; (4)

При этом мы получим численные значения коэффициентов и , от которых надо перейти к и , используемых в модели экспоненты. Исходя из введенных обозначений и определения логарифма, получаем

, .

 

Парабола. Для нахождения коэффициентов уравнения параболы необходимо решить линейную систему из трех уравнений:

 

Сила регрессионной связи для гиперболы и параболы определяется непосредственно по той же формуле что и для линейной модели. При вычислении коэффициента детерминации для экспоненты все значения параметра Y (исходные, регрессионные, среднее) необходимо заменить на их логарифмы, например, – на и т.д.

Если функция регрессии определена, интерпретирована и обоснована, и оценка точности регрессионного анализа соответствует требованиям, можно считать, что построенная модель и прогнозные значения обладают достаточной надежностью.

Прогнозные значения, полученные таким способом, являются средними значениями, которые можно ожидать.


Поделиться с друзьями:

mylektsii.su - Мои Лекции - 2015-2026 год. (2.053 сек.)Все материалы представленные на сайте исключительно с целью ознакомления читателями и не преследуют коммерческих целей или нарушение авторских прав Пожаловаться на материал