Студопедия

Главная страница Случайная страница

КАТЕГОРИИ:

АвтомобилиАстрономияБиологияГеографияДом и садДругие языкиДругоеИнформатикаИсторияКультураЛитератураЛогикаМатематикаМедицинаМеталлургияМеханикаОбразованиеОхрана трудаПедагогикаПолитикаПравоПсихологияРелигияРиторикаСоциологияСпортСтроительствоТехнологияТуризмФизикаФилософияФинансыХимияЧерчениеЭкологияЭкономикаЭлектроника






Расчет ширины раскрытия трещин, нормальных к продольной оси элемента






 

4.2.3.1 Ширину раскрытия нормальных трещин определяют по формуле

 

, (88)

 

где - напряжение в продольной растянутой арматуре в нормальном сечении с трещиной от соответствующей внешней нагрузки, определяемое согласно п.4.2.3.2;

 

- базовое (без учета влияния вида поверхности арматуры) расстояние между смежными нормальными трещинами;

 

- коэффициент, учитывающий неравномерное распределение относительных деформаций растянутой арматуры между трещинами; допускается принимать коэффициент =1; если при этом условие (77) не удовлетворяется, значение следует определять по формуле (96);

 

- коэффициент, учитывающий продолжительность действия нагрузки, принимаемый равным:

 

1, 0 - при непродолжительном действии нагрузки;

 

1, 4 - при продолжительном действии нагрузки;

 

- коэффициент, учитывающий профиль продольной арматуры, принимаемый равным:

 

0, 5 - для арматуры периодического профиля и канатной;

 

0, 8 - для гладкой арматуры (класса А240);

 

- коэффициент, учитывающий характер нагружения, принимаемый равным:

 

1, 0 - для элементов изгибаемых и внецентренно сжатых;

 

1, 2 - для растянутых элементов.

 

4.2.3.2 Значения напряжений в растянутой арматуре изгибаемых предварительно напряженных элементов от внешней нагрузки определяют по формуле

 

, (89)

 

где , , - момент инерции, площадь приведенного поперечного сечения элемента и расстояние от наиболее сжатого волокна до центра тяжести приведенного сечения, определяемые с учетом площади сечения только сжатой зоны бетона, площадей сечения растянутой и сжатой арматуры согласно п.4.3.3.5, принимая в соответствующих формулах значения коэффициента приведения арматуры к бетону ;

 

- усилие предварительного обжатия (п.4.1.4);

 

- изгибающий момент от внешней нагрузки и усилия предварительного обжатия, определяемый по формуле

 

, (90)

 

где - расстояние от точки приложения усилия предварительного обжатия до центра тяжести приведенного сечения.

 

Знак " -" в формуле (90) принимают, когда направления вращений моментов и не совпадают, и " +" - когда совпадают.

 

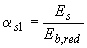
Значение коэффициента приведения арматуры к бетону определяют по формуле

 

, (91)

 

где - приведенный модуль деформации сжатого бетона, учитывающий неупругие деформации сжатого бетона и определяемый по формуле

 

. (92)

 

Относительную деформацию бетона принимают равной 0, 0015.

 

Допускается напряжение определять по формуле

 

, (93)

 

где - расстояние от центра тяжести арматуры, расположенной в растянутой зоне сечения, до точки приложения равнодействующей усилий в сжатой зоне элемента;

 

- расстояние от центра тяжести той же арматуры до точки приложения усилия .

 

Для элементов прямоугольного поперечного сечения при отсутствии (или без учета) сжатой арматуры значение определяют по формуле

 

, (94)

 

где - высота сжатой зоны, определяемая согласно п.4.3.3.6 с учетом влияния усилия предварительного обжатия .

 

Для элементов прямоугольного, таврового (с полкой в сжатой зоне) и двутаврового поперечного сечения допускается значение принимать равным 0, 7 .

 

Напряжения , определяемые по формулам (89) и (93), не должны превышать .

 

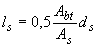
4.2.3.3 Значения базового расстояния между трещинами определяют по формуле

 

(95)

 

и принимают не менее 10 и 10 см и не более 40 и 40 см (для элементов с рабочей высотой поперечного сечения не более 1 м).

 

Здесь - площадь сечения растянутого бетона;

 

- площадь сечения растянутой арматуры;

 

- номинальный диаметр арматуры.

 

Значения вычисляют согласно указаниям п.4.2.2 из расчета по образованию трещин.

 

В любом случае значение принимают равным площади сечения при ее высоте в пределах не менее 2 и не более 0, 5 .

 

4.2.3.4 Значения коэффициента определяют по формуле

 

, (96)

 

где - напряжение в продольной растянутой арматуре в сечении с трещиной сразу после образования нормальных трещин, определяемое по указаниям п.4.2.3.2, принимая в соответствующих формулах значения ;

 

- то же, при действии рассматриваемой нагрузки.

 


Поделиться с друзьями:

mylektsii.su - Мои Лекции - 2015-2026 год. (3.639 сек.)Все материалы представленные на сайте исключительно с целью ознакомления читателями и не преследуют коммерческих целей или нарушение авторских прав Пожаловаться на материал