Студопедия

Главная страница Случайная страница

КАТЕГОРИИ:

АвтомобилиАстрономияБиологияГеографияДом и садДругие языкиДругоеИнформатикаИсторияКультураЛитератураЛогикаМатематикаМедицинаМеталлургияМеханикаОбразованиеОхрана трудаПедагогикаПолитикаПравоПсихологияРелигияРиторикаСоциологияСпортСтроительствоТехнологияТуризмФизикаФилософияФинансыХимияЧерчениеЭкологияЭкономикаЭлектроника






Моделирование одномерной случайной величины по нормальному закону






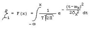
Формирование случайной величины по нормальному закону может быть получено на основании (1) с использованием указанного свойства равномерного распределения функции F(x):

σ

Однако более простой и удобный путь формирования нормально распределенной случайной величины может быть получен следующим образом. Согласно центральной предельной теореме сумма независимых случайных величин стремится к нормальному распределению. На практике распределение суммы при числе слагаемых больше 8 можно считать нормальным.

Достаточно взять сумму равномерных величин в количестве более 8-10 и сумма будет иметь нормальное распределение.

Так как слагаемые er имеют одинаковые математические ожидания mer и дисперсии Der, то математическое ожидание и дисперсия случайной величины x будут соответственно:

mx= n*mer и Dx = n*Der

 

Нормально распределенная случайная величина с mx = 0 и σ х = 1 будет:

X0 = x/ σ х - mx

 

Для получения случайной величины с заданными значениями параметров mxз и σ хз можно преобразовать случайную величину X0. Случайная величина с заданными значениями будет:

Xз = Xo* σ хз + mxз,

где mxз и σ хз - соответственно заданные значения математического ожидания и с.к.о.

 

Моделирование двумерной случайной величины с заданными статистическими характеристиками

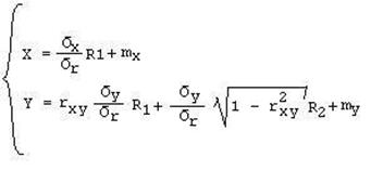
Система случайных величин (X, Y) может быть задана числовыми характеристиками:

mx, my - математические ожидания X и Y

σ х, σ y - с.к.о. величин X и Y

rxy - коэффициент корреляции

 

Система двумерной случайной величины (X, Y) может быть получена с помощью генератора случайной величины R с функцией распределения F(R, 0, Dr) по известным формулам:

Выражая коэффициенты C11, C12 и C22 через параметры требуемого распределения, получим:

 


Задание:

 

Разработать программу, способную формировать равномерную или нормальную двумерную случайную величину по заданным статистическим характеристикам: mx, my, σ х, σ y и rxy.

Возможные значения характеристик рекомендуется брать из следующих промежутков с точностью до первого знака после запятой: 1) m = [-5…+5] 2) σ = [1..5] 3) r = ± [0, 2…0, 95]

Сформировать массив значений случайной величины

Результаты вывести на экран и сохранить:

параметры, по которым генерировалась система случайных величин,

значения не менее 50 пар чисел (массив),

начертить корреляционное поле

 

Лабораторное задание

 

  1. Изучить методы формирования случайных величин с равномерным и нормальным законом распределения.
  2. Задаться типом распределения и параметрами распределения.
  3. Пользуясь инструментом “ Анализ данных “ в Excel сформировать массив чисел.

 

 

Содержание отчета:

 

Цель работы

Параметры распределения, по которым формировалась случайная величина

Значения случайной величины.

 

Контрольные вопросы:

 

  1. Что называется законом распределения случайной величины?
  2. В чем отличие между случайной величиной и случайным событием?
  3. Как задаются законы распределения для непрерывной и дискретной случайных величин?

 

Литература:

 

Голинкевич Т.А., Прикладная теория надежности. М. " Высшая школа", 1985

Астапов Ю.М., Медведев В.С., Статистическая теория систем автоматического регулирования и управления. М., " Наука", 1982

 

 


Поделиться с друзьями:

mylektsii.su - Мои Лекции - 2015-2026 год. (2.139 сек.)Все материалы представленные на сайте исключительно с целью ознакомления читателями и не преследуют коммерческих целей или нарушение авторских прав Пожаловаться на материал