Студопедия

Главная страница Случайная страница

КАТЕГОРИИ:

АвтомобилиАстрономияБиологияГеографияДом и садДругие языкиДругоеИнформатикаИсторияКультураЛитератураЛогикаМатематикаМедицинаМеталлургияМеханикаОбразованиеОхрана трудаПедагогикаПолитикаПравоПсихологияРелигияРиторикаСоциологияСпортСтроительствоТехнологияТуризмФизикаФилософияФинансыХимияЧерчениеЭкологияЭкономикаЭлектроника






Часть 2. Для записи решений и ответов на заданияС1 — С6используйте бланк ответов№ 2.






Для записи решений и ответов на задания С1 — С6 используйте бланк ответов № 2.

Запишите сначала номер выполняемого задания (С1, С2 и т.д.), а затем полное обоснованное решение и ответ.

C1 Решите уравнение .

Ответ:

 

C2 В правильной четырёхугольной призме стороны основания которой равны 5, а боковые ребра равны 12, найдите угол между прямыми АC и .

Ответ:

 

C3 Решите неравенство .

Ответ:

 

C4 Диаметр окружности, вписанной в треугольник PQR, площадь которого равна 132, в 3 раза меньше высоты, проведенной из вершины P. Известно, что QR = 11. Найдите сторону PQ.

Ответ: 25 или 30.

 

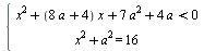
C5 Найдите все значения а, при каждом из которых система имеет решения.

Ответ: и

 

C6 Число P равно произведению 11 различных натуральных чисел, больших 1. Какое наименьшее число различных натуральных делителей (включая единицу и само число) может иметь число P?

Ответ: 67.

 

 

 

 

 

 

 

 

 

 


Поделиться с друзьями:

mylektsii.su - Мои Лекции - 2015-2026 год. (2.725 сек.)Все материалы представленные на сайте исключительно с целью ознакомления читателями и не преследуют коммерческих целей или нарушение авторских прав Пожаловаться на материал