Студопедия

Главная страница Случайная страница

КАТЕГОРИИ:

АвтомобилиАстрономияБиологияГеографияДом и садДругие языкиДругоеИнформатикаИсторияКультураЛитератураЛогикаМатематикаМедицинаМеталлургияМеханикаОбразованиеОхрана трудаПедагогикаПолитикаПравоПсихологияРелигияРиторикаСоциологияСпортСтроительствоТехнологияТуризмФизикаФилософияФинансыХимияЧерчениеЭкологияЭкономикаЭлектроника






Газопроницаемости формовочных смесей.






Прибор для определения газопроницаемости (рис.2) смонтирован на станине 1, на которой закреплены бак 2 для воды, резиновая пробка 8 для установки гильзы 9 с исследуемым образцом 10 и водяной манометр 12. Трубка 3, расположенная в баке, связана воздуховодом 6 через трехходовой кран 7 с рабочим пространством под испытуемым образцом. В неё входит направляющая колокола 4 в котором создается необходимый запас воздуха. На колокол укладывают калиброванный груз 5, создавая тем самым давление под колоколом на уровне 980, 7 Па (10 см вод. столба). Резервуар водяного манометра связан воздуховодом 13 с рабочим пространством под образцом.

Рис.2 Прибор для определения газопроницаемости формовочных смесей

(модель 042)

 
 

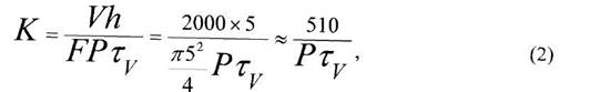
При нулевой газопроницаемости образца в этой системе устанавливается давление, равное 980, 7 Па, а воздух не расходуется. Если газопроницаемость образца отлична от нуля, воздух начинает вытекать в атмосферу, и давление в системе падает на величину, пропорциональную величине газопроницаемости образца. Расход воздуха (скорость его истечения через образец) связан с показателем газопроницаемости К величиной избыточного давления в системе Р, Па, сечением образца F, см, и его высотой h, см, зависимостью:

где V- объём воздуха, прошедшего через образец за время τ V с.

Приняв V =2000 см3, зная геометрические параметры образца (диаметр 50мм и высота 50мм) и зафиксировав время прохождения воздуха через образец, вычисляют коэффициент газопроницаемости:

Величина коэффициента газопроницаемости безмерна.


Поделиться с друзьями:

mylektsii.su - Мои Лекции - 2015-2026 год. (1.121 сек.)Все материалы представленные на сайте исключительно с целью ознакомления читателями и не преследуют коммерческих целей или нарушение авторских прав Пожаловаться на материал