Студопедия

Главная страница Случайная страница

КАТЕГОРИИ:

АвтомобилиАстрономияБиологияГеографияДом и садДругие языкиДругоеИнформатикаИсторияКультураЛитератураЛогикаМатематикаМедицинаМеталлургияМеханикаОбразованиеОхрана трудаПедагогикаПолитикаПравоПсихологияРелигияРиторикаСоциологияСпортСтроительствоТехнологияТуризмФизикаФилософияФинансыХимияЧерчениеЭкологияЭкономикаЭлектроника






Fig. 1 Carrier density profile used to derive the diffusion current expression






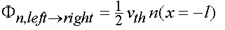
Рассмотрим поток электронов через плоскость с координатой x = 0. Носители в эту плоскость приходят как слева со стороны координаты x = -l, так и справа со стороны координаты x = l. Поток электронов слева направо равен

где коэффициент ½ означает, что половина электронов в плоскости с координатой x = -l движется налево, а вторая половина – направо. Аналогично, поток электронов через x = 0 приходящий справа со стороны x = +l будет равен:

Общий поток электронов, проходящих через плоскость x = 0 слева направо, будет равен:

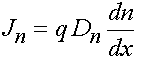
Считая, что средняя длина свободного пробега электронов достаточно мала, мы можем записать разницу в концентрациях электронов справа и слева от координаты x = 0 через отношение разности концентраций к расстоянию между плоскостями, т.е. через производную:

Плотность тока электронов будет равна:

Обычно произведение тепловой скорости на среднюю длину свободного пробега заменяют одним сомножителем, называемым коэффициентом диффузии электронов, Dn.

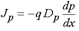
Аналогичные соотношения можно записать и для дырочного диффузионного тока:

Следует только помнить, что заряд дырок положительный.

Между коэффициентом диффузии и подвижностью существует связь. Хотя на первый взгляд может показаться, что эти коэффициенты не должны быть связаны между собой, поскольку диффузия носителей обусловлена тепловым движением, а дрейф носителей обусловлен внешним электрическим полем. Однако один из основных параметров – время между соударениями не должен зависеть от причины, вызвавшей движение носителей.

Используем определение тепловой скорости как,

и выводы термодинамики о том, что на каждую степень свободы движения электрона приходится тепловая энергия kT /2, равная кинетической:

Из этих соотношений можно получить произведение тепловой скорости и средней длины свободного пробега, выраженное через подвижность носителя:

Но произведение тепловой скорости и средней длины свободного пробега мы уже определили как коэффициент диффузии. Тогда последнее соотношение для электронов и дырок можно записать в следующем виде:

Эти соотношения называются соотношениями Эйнштейна.


Поделиться с друзьями:

mylektsii.su - Мои Лекции - 2015-2026 год. (1.103 сек.)Все материалы представленные на сайте исключительно с целью ознакомления читателями и не преследуют коммерческих целей или нарушение авторских прав Пожаловаться на материал