Студопедия

Главная страница Случайная страница

КАТЕГОРИИ:

АвтомобилиАстрономияБиологияГеографияДом и садДругие языкиДругоеИнформатикаИсторияКультураЛитератураЛогикаМатематикаМедицинаМеталлургияМеханикаОбразованиеОхрана трудаПедагогикаПолитикаПравоПсихологияРелигияРиторикаСоциологияСпортСтроительствоТехнологияТуризмФизикаФилософияФинансыХимияЧерчениеЭкологияЭкономикаЭлектроника






Правильный многоугольник






Правильным многоугольником называется многоугольник, у которого все стороны и углы равны между собой.

ü Около всякого правильного многоугольника можно описать окружность и в него вписать окружность, причём центры этих окружностей совпадают.

 

Преобразование графика функции

 

Произвольный выпуклый многоугольник

Расстояние между точками

 

Проценты

Процентом называется сотая часть от числа. 1%A = 0, 01A

Основные типы задач на проценты:

Сколько процентов составляет число A от числа B?

B - 100%

A - x%

Сложные проценты.

Число A увеличилось на 20%, а затем полученное число уменьшили на 25%.

Как, в итоге, изменилось исходное число?

1) A1 = (100% + 20%)A = 120%A = 1, 2A

2) A2 = (100% - 25%)A1=75%A1 = 0, 75A1 = 0, 75× 1, 2A = 0, 9A = 90%A

A1 – A = 90%A – 100%A = -10%A

3)

Þ Ответ: уменьшилось на 10%.

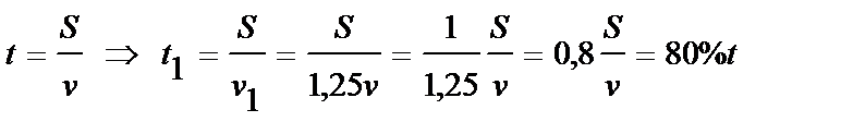
Изменение величины.

Как изменится время, если скорость движения увеличится на 25%?

Þ Ответ: уменьшится на 20%

 


Поделиться с друзьями:

mylektsii.su - Мои Лекции - 2015-2026 год. (2.633 сек.)Все материалы представленные на сайте исключительно с целью ознакомления читателями и не преследуют коммерческих целей или нарушение авторских прав Пожаловаться на материал