Студопедия

Главная страница Случайная страница

КАТЕГОРИИ:

АвтомобилиАстрономияБиологияГеографияДом и садДругие языкиДругоеИнформатикаИсторияКультураЛитератураЛогикаМатематикаМедицинаМеталлургияМеханикаОбразованиеОхрана трудаПедагогикаПолитикаПравоПсихологияРелигияРиторикаСоциологияСпортСтроительствоТехнологияТуризмФизикаФилософияФинансыХимияЧерчениеЭкологияЭкономикаЭлектроника






Прямоугольный треугольник






Равнобедренный треугольник

треугольник, у которого две стороны равны.

v Углы, при основании треугольника, равны

v Высота, проведенная из вершины, является биссектрисой и медианой.

Равносильные уравнения

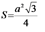
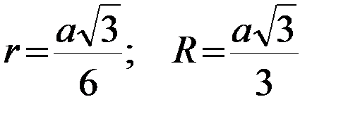
Равносторонний треугольник

треугольник, у которого все стороны равны.

-Все углы равны 600.

-Каждая из высот является одновременно биссектрисой и медианой.

-Центры описанной и вписанной окружностей совпадают.

-Радиусы окружностей:

 

-Площадь

 

Ромб

Параллелограмм, все стороны которого равны называется ромбом.

ü Диагональ ромба является его осью симметрии. Диагонали взаимно перпендикулярны. Диагонали являются биссектрисами углов.

Скалярное произведение векторов

 



Поделиться с друзьями:

mylektsii.su - Мои Лекции - 2015-2026 год. (1.402 сек.)Все материалы представленные на сайте исключительно с целью ознакомления читателями и не преследуют коммерческих целей или нарушение авторских прав Пожаловаться на материал