Студопедия

Главная страница Случайная страница

КАТЕГОРИИ:

АвтомобилиАстрономияБиологияГеографияДом и садДругие языкиДругоеИнформатикаИсторияКультураЛитератураЛогикаМатематикаМедицинаМеталлургияМеханикаОбразованиеОхрана трудаПедагогикаПолитикаПравоПсихологияРелигияРиторикаСоциологияСпортСтроительствоТехнологияТуризмФизикаФилософияФинансыХимияЧерчениеЭкологияЭкономикаЭлектроника






Понятие об азокрасителях






Азосоединения окрашены, поскольку содержат хромофорную группу (азогруппа), которая способствует поглощению света в видимой области спектра, а также ауксохромные группы (ОН, NH2 и т.д.), которые углубляют цвет и способствуют связыванию красителя с волокном. Такие азосоединения относят к красителям. Примерно половина используемых в промышленности красителей относится к азокрасителям. Они могут быть моно-, ди-, полиазокрасителями в зависимости от количества азогрупп, иметь окраску от красного до зеленого цвета (зеленый, желтый, оранжевый, красный).

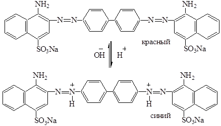
Азокрасители используются и в качестве кислотно – основных индикаторов, например:

Метиловый оранжевый:

Конго красный:

Методы крашения тканей:

А. Красители, содержащие полярные группы

Б. Дисперсные красители

В. Красители, образующие химические соединения с волокном

Г. Проявляющие красители (ледяное крашение)

Д. Протравные красители

Е. Кубовые красители

Ж. Пигменты

ГЕТЕРОЦИКЛИЧЕСКИЕ СОЕДИНЕНИЯ

Лекция №29. ПЯТИЧЛЕННЫЕ ГЕТЕРОЦИКЛЫ

Гетероциклические соединения. Определение. Классификация. Номенклатура. Пятичленные гетероциклы с одним гетероатомом. Фуран. Пиррол. Тиофен. Природные источники. Общие и частные способы получения. Строение. Физические свойства. Общие и специфические химические свойства. Применение.


Поделиться с друзьями:

mylektsii.su - Мои Лекции - 2015-2026 год. (1.533 сек.)Все материалы представленные на сайте исключительно с целью ознакомления читателями и не преследуют коммерческих целей или нарушение авторских прав Пожаловаться на материал