Студопедия

Главная страница Случайная страница

КАТЕГОРИИ:

АвтомобилиАстрономияБиологияГеографияДом и садДругие языкиДругоеИнформатикаИсторияКультураЛитератураЛогикаМатематикаМедицинаМеталлургияМеханикаОбразованиеОхрана трудаПедагогикаПолитикаПравоПсихологияРелигияРиторикаСоциологияСпортСтроительствоТехнологияТуризмФизикаФилософияФинансыХимияЧерчениеЭкологияЭкономикаЭлектроника






Чем определяется допустимое падение напряжения на клеммах АД при питании от источника соизмеримой мощности, поясните.






Таким образом, при питании машины от источника тока вследствие размагничивающего действия тока ротора ток Iμ и магнитный поток Фμ изменяются при изменении скольжения sав широких пределах. При питании от источника напряжения намагничивающий ток примерно постоянен, т.к. его изменение обусловлено лишь изменением падения напряжения на сопротивлениях статора, которые невелики. Размагничивающее действие тока ротора в этом случае компенсируется соответствующими изменениями тока статора. В режиме питания от источника тока I1=const и размагничивающее действие тока ротора проявляется в полной мере.

Вследствие этого при анализе механических характеристик в режиме питания от источника тока надо учитывать влияние магнитной цепи машины.

________________________________

75 В чем заключается проблема пуска ДПТ?

Так как сопротивление rЯ невелико, то ток якоря может в 10…30 раз превышать номинальный ток двигателя, что недопустимо, поскольку приведет к сильному искрению и разрушению коллектора. Кроме того, при таком токе возникает недопустимо большой момент двигателя, а при частых пусках возможен перегрев обмотки якоря.

Чтобы уменьшить пусковой ток в цепи якоря, включают пусковой резистор, сопротивление которого по мере увеличения частоты вращения двигателя уменьшают до нуля. Если пуск двигателя автоматизирован, то пусковой резистор выполняют из нескольких ступеней, которые выключают последовательно по мере увеличения частоты вращения.

 

_________________________________

76 Перечислите способы ограничения пусковых токов АД в приводе

- Прямое включение асинхронного двигателя в сеть

- Включение двигателя при пониженном напряжении питающей сети позволяет уменьшить пусковой ток, потребляемый двигателем

- Введение сопротивления в цепь ротора позволяет, с одной стороны. ограничить пусковой ток двигателя, а с другой стороны — повысить пусковой момент.

- при последовательном включении индуктивного сопротивления

- при включении двигателя через автотрансформатор.

 

_________________________________

77 Какое соотношение токов и моментов имеет место при пуске АД переключение co «звезды» на «треугольник»?

Часто двигатель пускают в ход посредством переключения обмотки статора со звезды на треугольник (изо). В момент пуска обмотку статора соединяют звездой, а после того как двигатель разовьет частоту вращения, близкую к нормальной, ее переключают треугольником.
При таком способе пуска двигателя в ход пусковой ток в сети уменьшается в три раза по сравнению с пусковым током, который потреблялся бы двигателем, если бы при пуске обмотка статора была соединена треугольником.

Пуск переключением «звезда — треугольник» может применяться в случаях, когда выведены все шесть концов обмотки статора и двигатель нормально работает с соединением обмотки статора в треугольник, например, когда двигатель на 380/220 ви с соединением обмоток Y/A работает от сети 220 в.В этом случае при пуске обмотка статора включается в звезду (, а при достижении нормальной скорости вращения переключается в треугольник.При таком способе пуска по сравнению с прямым пуском при соединении обмотки в треугольник напряжение фаз обмоток уменьшается, пусковой момент уменьшается, пусковой ток в фазах обмотки уменьшается.

_________________________________

78 Поясните, как выбирается сопротивление в цепи статора АД при пуске через ак­тивное сопротивление?

Пусковые сопротивления в статоре (рис.2.1) - активные (r1доб) или реактивных (x1доб) в конце периода пуска закорачиваются контактами К после уменьшения пускового тока Iпи до допустимых значений.

Рисунок 2.1

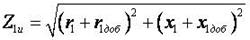
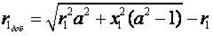
Добавочные сопротивление в статоре рассчитываются по заданной кратности снижения пускового тока(а): (2.1)

 

где Iпе и Iпи - пусковые токи на естественной и искусственной пусковых характеристиках соответственно. Полные пусковые сопротивления на естественной (Z1e) и искусственной (Z1u) характеристиках равны:

. (2.2)

Величины и рассчитываются по формулам:

; (2.3)

. (2.4)

Для токоограничения в статор АД включаются либо активные (r1доб), либо реактивные (x1доб) добавочные сопротивления. Поэтому в соотношении (2.4) надо принимать либо r1доб, либо x1доб. В соответствии с этим совмеcтное решение (2.2) (2.4) дает следующие результаты:

При включении активного добавочного сопротивления:

. (2.5)

При включении реактивного добавочного сопротивления:

. (2.6)

Обычно величина a принимается в пределах a=2-4

Для двигателей мощностью до 50 кВт используют для токоограничения r1доб, а для больших мощностей (в этом случае меньше потери в пусковых устройствах).

79 Поясните, как выбирается сопротивление реактора в цепи статора АД при пуске.

Пускатели с резисторами в цепи статора используют металлические или жидкостные резисторы для снижения напряжения, подводимого к статору. Такие пускатели обеспечивают эффективное снижение пускового тока и момента двигателя и работают очень хорошо при правильном выборе резисторов.

Для точного выбора резисторов на этапе проектирования должны быть известны параметры двигателя, нагрузки и режимов работы. Такая информация обычно труднодоступна, поэтому резисторы выбираются приближенно, что приводит к ухудшению процесса пуска и снижению надежности.

Сопротивление резисторов меняется по мере их нагрева в процессе пуска. Чтобы сохранить параметры пуска и повысить надежность системы, обычно устанавливаются реле задержки повторного пуска.

Из-за большого выделения тепла на резисторах пускатели с резисторами в цепи статора не применяются для пуска высокоинерционных нагрузок.

_______________________________

80. Достоинства и недостатки при пуске АД через автотрансформатор.

Достоинства: уменьшение напряжения при пуске асинхронного двигателя; уменьшение пускового тока двигателя.

Недостатки: трудность пусковой операции; высокая цена системы; уменьшение напряжения в U/Uном раз сопровождается уменьшением момента в (U/Uном)2 раз.

Этот способ приемлем для запуска двигателя на холостом ходу или при неполной нагрузке.

________________________________

81. Приведите особенности пуска АД через муфту.

Основное назначение муфт – передача вращающего момента без изменения его модуля и направления. Пусковые муфты используют для плавного пуска приводов. Они позволяют электродвигателю легко разогнаться и по достижении им определенной скорости начать плавный разгон рабочего органа. Одновременно пусковые муфты выполняют и предохранительные функции.

_________________________________

82. Дайте определение технологической характеристики электропривода.

Технологическая характеристика электропривода- это такая характеристика, которая определяет требования к электроприводу по соблюдению технологического процесса (качеству, режиму работы и т.д.)

________________________________

83. Дайте определение кинематической характеристики электропривода.

Кинематическая характеристика электропривода - это такая характеристика, которая показывает зависимость хода контактной системы приводного механизма от угла поворота главного вала

 

_________________________________

84. Дайте определение энергетической характеристики электропривода.

Энергетическая характеристика электропривода - это такая характеристика, которая показывает расход электроэнергии на выполнение определённого технологического процесса.

 

_________________________________

85. Дайте определение нагрузочной характеристики электропривода.

Нагрузочная характеристика электропривода – это зависимости момента сопротивления, мощности и угловой скорости от времени. Они определяют режим работы электропривода.

 

_________________________________

86. Дайте определение инерционной характеристики электропривода.

Инерционная характеристика электропривода - это такая характеристика, которая показывает значение и характер изменения момента инерции машин.

 

_________________________________

87. Приведите один из способов экспериментального определения механической характеристики производственного механизма.

_________________________________

88. Приведите один из способов экспериментального определения приведенного момента инерции привода.

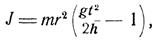
Метод падающего груза: На конец вала или на шкив, сидящий на валу, навивают несколько витков шнура. Другому концу шнура с прикрепленным к нему грузом дают возможность опускаться либо непосредственно, либо пройдя через направляющие блоки. При опускании груз преодолевает трение в подшипниках и поворачивает ротор двигателя. Во время эксперимента измеряют время t, за которое груз опускается на высоту h. Момент инерции ротора вычисляется в этом случае по формуле, где m-масса груза; r-радиус конца вала или шкива; t-время опускания груза; h-высота опускания груза; g-ускорение силы тяжести.

______________________


Поделиться с друзьями:

mylektsii.su - Мои Лекции - 2015-2026 год. (1.314 сек.)Все материалы представленные на сайте исключительно с целью ознакомления читателями и не преследуют коммерческих целей или нарушение авторских прав Пожаловаться на материал