Студопедия

Главная страница Случайная страница

КАТЕГОРИИ:

АвтомобилиАстрономияБиологияГеографияДом и садДругие языкиДругоеИнформатикаИсторияКультураЛитератураЛогикаМатематикаМедицинаМеталлургияМеханикаОбразованиеОхрана трудаПедагогикаПолитикаПравоПсихологияРелигияРиторикаСоциологияСпортСтроительствоТехнологияТуризмФизикаФилософияФинансыХимияЧерчениеЭкологияЭкономикаЭлектроника






Механические характеристики электродвигателей постоянного тока






Рассмотрим двигатель с параллельным возбуждением в установившемся режиме работы (рис. 11.14). Обмотка возбуждения подключена параллельно якорной обмотке.

           
 
   
   
 
 


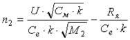
, откуда

 

 

 

Механической характеристикой двигателя называется зависимость частоты

вращения якоря n2 от момента на валу M2 при U = const и Iв = const.

Рис. 11.14 Уравнение (11.6) является уравнением механической характеристики

двигателя с параллельным возбуждением.

Эта характеристика является жесткой. С увеличением нагрузки частота вращения такого двигателя уменьшается в небольшой степени (рис. 11.15).

На рисунке 11.16 изображен двигатель последовательного возбуждения. Якорная обмотка и обмотка возбуждения включены последовательно.

 

 

Рис.11.15 Рис.11.16

Ток возбуждения двигателя одновременно является током якоря. Магнитный поток индуктора пропорционален току якоря где k - коэффициент пропорциональности

Момент на валу двигателя пропорционален квадрату тока якоря.

откуда

 

Механическая характеристика двигателя последовательного возбуждения - мягкая (рис.11.17)

Уравнение механической характеристики двигателя последовательного возбуж-

дения выглядит следующим образом:

 

 

Рис. 11.17

С увеличением нагрузки скорость двигателя резко падает.

С уменьшением нагрузки на валу двигатель развивает очень большую частоту вращения. Говорят, что двигатель идет вразнос. Работа двигателя последовательного возбуждения без нагрузки недопустима.

Двигатель смешанного возбуждения имеет механическую характеристику, представляющую собой нечто среднее между механическими характеристиками двигателя параллельного и последовательного возбуждения.

Двигатели с параллельным возбуждением применяются для привода станков и различных механизмов, требующих широкой регулировки скорости.

Двигатели с последовательным возбуждением применяются в качестве тяговых двигателей электровозов, трамваев и т.д


Поделиться с друзьями:

mylektsii.su - Мои Лекции - 2015-2026 год. (0.809 сек.)Все материалы представленные на сайте исключительно с целью ознакомления читателями и не преследуют коммерческих целей или нарушение авторских прав Пожаловаться на материал