Студопедия

Главная страница Случайная страница

КАТЕГОРИИ:

АвтомобилиАстрономияБиологияГеографияДом и садДругие языкиДругоеИнформатикаИсторияКультураЛитератураЛогикаМатематикаМедицинаМеталлургияМеханикаОбразованиеОхрана трудаПедагогикаПолитикаПравоПсихологияРелигияРиторикаСоциологияСпортСтроительствоТехнологияТуризмФизикаФилософияФинансыХимияЧерчениеЭкологияЭкономикаЭлектроника






Визначення норм часу на дві операції






 

Операція 015 – токарно-гідрокопіювальна:

Визначаємо основний час:

Визначаємо допоміжний час:

Змн.
Арк.
№ докум.
Підпис
Дата
Арк.
 
ДП 40І.19.03.000 ПЗ
[18, к.6, поз.2, с.10]

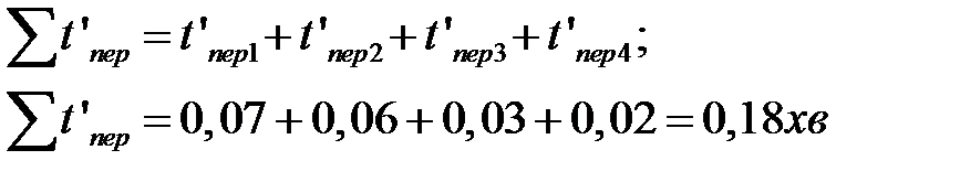
Визначаємо допоміжний час зв’язаний з перехідом:

[18, к.18, поз.3, с.65]

Визначаємо допоміжний час на зміну частот обертання шпінделя:

[18, к.18, поз.68, с.39]

Визначаємо час на вимірювання:

[18, к.86, поз.130, с.13]

Визначаємо коефіцієнт переодичності вимірювання:

Визначаємо коефіцієнт на Тдоп:

Визначаємо оперативний час:

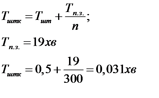
Визначаємо штучний час:

Змн.
Арк.
№ докум.
Підпис
Дата
Арк.
 
ДП 40І.19.03.000 ПЗ
[18, к.32, с. 110(4)]

[18, к.32, стр.111]

 

Операція 040 – горизонтально-фрезерна:

Визначаємо основний час:

Визначаємо допоміжний час:

[18, к.6, поз.2, с.10]

Визначаємо допоміжний час зв’язаний з перехідом:

[18, к.18, поз.3, с.65]

 

Визначаємо допоміжний час на зміну частот обертання шпінделя:

[18, к.18, поз.68, с.39]

Визначаємо час на вимірювання:

[18, к.86, поз.130, с.13]

Визначаємо коефіцієнт переодичності вимірювання:

Визначаємо коефіцієнт на Тдоп:

Змн.
Арк.
№ докум.
Підпис
Дата
Арк.
 
ДП 40І.19.03.000 ПЗ
Визначаємо оперативний час:

Визначаємо штучний час:

[18, к.32, с. 110(4)]

[18, к.32, стр.111]

 


Поделиться с друзьями:

mylektsii.su - Мои Лекции - 2015-2026 год. (1.019 сек.)Все материалы представленные на сайте исключительно с целью ознакомления читателями и не преследуют коммерческих целей или нарушение авторских прав Пожаловаться на материал