Студопедия

Главная страница Случайная страница

КАТЕГОРИИ:

АвтомобилиАстрономияБиологияГеографияДом и садДругие языкиДругоеИнформатикаИсторияКультураЛитератураЛогикаМатематикаМедицинаМеталлургияМеханикаОбразованиеОхрана трудаПедагогикаПолитикаПравоПсихологияРелигияРиторикаСоциологияСпортСтроительствоТехнологияТуризмФизикаФилософияФинансыХимияЧерчениеЭкологияЭкономикаЭлектроника






Ход работы. Определение. Алгоритм, предусматривающий много­кратное повторение одного и того же действия над новыми данными






Определение. Алгоритм, предусматривающий много­кратное повторение одного и того же действия над новыми данными, называется циклическим.

Определение. Цикл называется арифметическим, если число повторений цикла известно заранее или может быть вычислено.

 

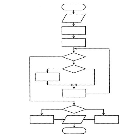
Блок-схема базовой структуры.

Цикл с параметром.

 

Определение. Цикл, для которого нельзя указать число повторений, и проверка окончания которого происходит по достижению нужного условия, называется итерационным.

Блок-схемы базовых структур.

Цикл - пока Цикл - до

 

Задача 2 1. По словесному алгоритму вычисления 2*n составьте блок-схему алгоритма (п - натуральное число).

1. Задать n.

2. р: =1.

3. t: =l.

4. Если i < n то п.5. иначе п.7.

5. р: = р * 2.

6. i: = i + 1, перейти к п.4

7. Вывод р.

8. Конец.

Задача 2 2. Составьте блок-схему алгоритма вычисления S = т(т + 1)(т + 2)... (т + п), где т, п - заданные натуральные числа.

 

Задача 23. Дана блок-схема вычисления значений функции

На координатных осях отметьте данные значения аргумента х и полученные значения функции у. По полученным точкам постройте график функции.

Задача 2 4. Разделить натуральное число х на натуральное число у. Получить в качестве результата частное от деления q и остаток r, т. е. представить число в виде х = q*у + r, где r < у; q, r - целые числа. Операцией деления не пользоваться.

Составьте блок-схему алгоритма по таблице значений для х=9, у=2.

 

 


 

 

Шаг алг. Аргумент Результат Проверка условия Пояснения
x y q r
  9 2                
              9        
                       
                  9 < 2 нет    
              7        
                       
                  7 < 2 нет    
              5        
                       
                  5 < 2 нет    
                       
                       
                  3 < 2 нет    
                       
                       
                  1< 2 да    
                      Вывод 4 и 1
                      Конец

Задача 25. Составьте блок-схему алгоритма, который выдает 1, если заданное число простое и 0 - в противном случае.

Число называется простым, если все его делители 1 и оно само.

Указание. Делители числа лежат в интервале от 2 до 4k (k - заданное число).

 

Задача 26. Составьте блок-схему алгоритма нахождения максимального числа среди заданных п чисел (п > 2).

 


Задача 27. Известна знаменитая легенда об изобретателе шахматной игры. Царь Шерам, которому была преподнесена в подарок эта игра, захотел наградить изобретателя Сете и разрешил ему выбрать награду самому. «Дай мне, - сказал мудрец, -только несколько пшеничных зерен. Причем ровно столько, сколько поместится на шахматной доске, если ты на первую клетку положишь одно зернышко, то на вторую - два зернышка и так далее: на каждую клетку вдвое больше, чем на предыдущую». Царь был рассержен из-за этой слишком скромной просьбы мудреца. Но как же он был удивлен, когда ему не хватило запасов пшеницы всей Индии, чтобы ее выполнить.

Математики царя Шерама подсчитали, что количество зерен на последней клетке выражается не поддающимся воображению гигантским числом. Зерно занимало бы два амбара длиной от Земли до Солнца.

Составьте блок-схему алгоритма, который бы определял, сколько клеток смог заполнить царь Шерам своей пшеницей. (Тонна пшеницы состоит из 400000 зерен).

 

Задача 28. Составьте блок-схему алгоритма определения, является ли заданное число совершенным. Число называется совершенным, если оно равно сумме всех своих делителей, меньших, чем оно само. Например, число 28 совершенное:

28=1+2+4+7+14

 

 


ТЕМА 4

«Вложенные циклы»

Цели:

1. Познакомить с основными способами представления алгоритмов.

2. Научиться решать задачи на составление алгоритмов вложенной циклической структуры.

Вопросы к допуску и защите:

1. Понятие алгоритма.

2. Способы представления алгоритмов.

3. Свойства алгоритмов.

4. Алгоритмы циклической структуры. Вложенные циклы.


Поделиться с друзьями:

mylektsii.su - Мои Лекции - 2015-2026 год. (0.847 сек.)Все материалы представленные на сайте исключительно с целью ознакомления читателями и не преследуют коммерческих целей или нарушение авторских прав Пожаловаться на материал