Студопедия

Главная страница Случайная страница

КАТЕГОРИИ:

АвтомобилиАстрономияБиологияГеографияДом и садДругие языкиДругоеИнформатикаИсторияКультураЛитератураЛогикаМатематикаМедицинаМеталлургияМеханикаОбразованиеОхрана трудаПедагогикаПолитикаПравоПсихологияРелигияРиторикаСоциологияСпортСтроительствоТехнологияТуризмФизикаФилософияФинансыХимияЧерчениеЭкологияЭкономикаЭлектроника






Сложные эфиры






Сложные эфиры — производные карбоновых кислот, в молекулах которых гидроксильная группа, входящая в состав карбоксильной группы, замещена на остаток спирта или фенола —OR':

Номенклатура

Сложные эфиры называют по исходным кислоте и спирту или фенолу:

 

Способы получения

1. Взаимодействие галогенангидридов и ангидридов карбоновых кис­лот со спиртами и феноксидами щелочных металлов:

 

2. Взаимодействие карбоновых кислот со спиртами, катализируе­мое протоном кислоты (реакция этерификации):

 

Равновесие наступает, когда прореагирует примерно 2/3 моля ис­ходного вещества. Для смещения равновесия в сторону образования конечных продуктов отгоняют полученный эфир или берут какое-либо из исходных веществ в избытке.

Физические свойства

Сложные эфиры — чаще жидкости с приятным запахом с более низкими температурами кипения, чем соответствующие кислоты и спирты, что связано с отсутствием ассоциации.

Химические свойства

Сложные эфиры — типичные электрофилы. Из-за +М-эффекта атома кислорода, связанного с углеводородным радикалом, они про­являют менее выраженный электрофильный характер по сравнению с галогенангидридами и ангидридами кислот:

Электрофильность эфиров увеличивается, если углеводородный радикал образует с атомом кислорода сопряженную систему, т. н. ак­тивированные эфиры:

Сложные эфиры вступают в реакции нуклеофильного замещения.

1. Гидролиз сложных эфиров проходит как в кислой, так и в щелоч­ной среде.

Кислотный гидролиз сложных эфиров — последовательность обра­тимых превращений, противоположных реакции этерификации:

Механизм этой реакции включает протонирование атома кисло­рода карбонильной группы с образованием карбкатиона, который ре­агирует с молекулой воды:

 

 

Щелочной гидролиз. Гидролиз в присутствии водных растворов ще­лочей проходит легче, чем кислотный потому, что гидроксид-анион более активный и менее объемный нуклеофил, чем вода. В отличие от кислотного, щелочной гидролиз необратим:


Щелочь выступает не в роли катализатора, а в роли реагента. Гид­ролиз начинается с нуклеофильной атаки гидроксид-ионом атома уг­лерода карбонильной группы. Образуется промежуточный анион, ко­торый отщепляет алкоксид-ион и превращается в молекулу карбоно­вой кислоты. Алкоксид-ион, как более сильное основание, отрывает протон от молекулы кислоты и превращается в молекулу спирта:

Щелочной гидролиз необратим потому, что карбоксилат-анион имеет высокую делокализацию отрицательного заряда и не воспри­имчив к атаке спиртового гидроксила.

Часто щелочной гидролиз сложных эфиров называют омылением. Термин произошел от названия продуктов щелочного гидролиза жи­ров — мыла.

2. Взаимодействие с аммиаком (аммонолиз) и его производными про­текает по механизму, аналогичному щелочному гидролизу:

3. Реакция переэтерификации (алкоголиз сложных эфиров) катали­зируется как минеральными кислотами, так и щелочами:

Для смещения равновесия вправо отгоняют более летучий спирт.

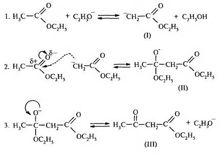
4. Сложноэфирная конденсация Кляйзена характерна для эфиров карбоновых кислот, содержащих атомы водорода в α -положении. Ре­акция протекает в присутствии сильных оснований:

Алкоксид-ион отщепляет протон от α -углеродного атома молеку­лы эфира. Образуется мезомерно стабилизированный карбанион (I), который, выступая в роли нуклеофила, атакует атом углерода карбо­нильной группы второй молекулы эфира. Образуется продукт присо­единения (II). Он отщепляет алкоксид-ион и превращается в конеч­ный продукт (III). Таким образом, всю схему механизма реакции мож­но разделить на три стадии:

Если в реакцию вступают два сложных эфира, содержащие α -атомы водорода, то образуется смесь четырех возможных продуктов. Ре­акция используется для промышленного получения ацетоуксусного эфира.

5. Восстановление сложных эфиров:

Первичные спирты образуются при действии газообразного водо­рода в присутствии скелетного никелевого катализатора (никель Ренея).

6. Действие магнийорганических соединений с последующим гидро­лизом приводит к образованию третичных спиртов:

Сложные эфиры имеют большое значение как ацилируюшие реа­генты, растворители, используются для синтеза альдегидов, кетонов, полимеров («органическое стекло» — плексиглас), лекарственных ве­ществ: этилформиат — для производства витамина В. Бензилбензоат используют для лечения чесотки. Эти вещества известны как отдушки в парфюмерии (этилформиат, этилацетат) и компоненты пищевых эссенций: грушевой - изоамилацетат, яблочной — изоамилвалерат, ромовой — этилформиат, ананасовой — этилбутират.

 


Поделиться с друзьями:

mylektsii.su - Мои Лекции - 2015-2026 год. (1.106 сек.)Все материалы представленные на сайте исключительно с целью ознакомления читателями и не преследуют коммерческих целей или нарушение авторских прав Пожаловаться на материал