Студопедия

Главная страница Случайная страница

КАТЕГОРИИ:

АвтомобилиАстрономияБиологияГеографияДом и садДругие языкиДругоеИнформатикаИсторияКультураЛитератураЛогикаМатематикаМедицинаМеталлургияМеханикаОбразованиеОхрана трудаПедагогикаПолитикаПравоПсихологияРелигияРиторикаСоциологияСпортСтроительствоТехнологияТуризмФизикаФилософияФинансыХимияЧерчениеЭкологияЭкономикаЭлектроника






Понятие о режимах резания.






Обработка металлов осуществляется при определенных условиях. Совокупность показателей, характеризующих условия протекания процесса резания, принято называть режимами резания.

К основным показателям относятся скорость резания v, подача s и глубина резания t (международное обозначение ар).

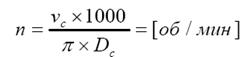
Скоростью резания v называется величина перемещения заготовки относительно режущей кромки инструмента в направлении главного движения за единицу времени.

Если известны скорость резания, допускаемая режущими свойствами инструмента, и диаметр заготовки, то можно определить требуемую частоту вращения шпинделя (и заготовки).

Подачей - S (международное обозначение f) называется величина перемещения режущей кромки инструмента относительно заготовки в направлении движения подачи за единицу времени. Измеряется подача в миллиметрах за одну минуту (мм/мин) или за один оборот заготовки или инструмента (мм/об).

Глубина резания — это толщина снимаемого слоя металла за один проход. Обозначение глубины резания t (международное обозначение ар).

При обработке металлов резанием заготовки должны иметь припуск на обработку.

Припуском на механическую обработку называется слой металла, удаляемый при обработке в целях придания детали соответствующих размеров и обеспечения требуемой шероховатости поверхности.

В качестве заготовок для деталей, обрабатываемых резанием, обычно используются прокат, поковки и отливки. Увеличенный припуск повышает расход режущего инструмента, электроэнергии и увеличивает отходы металла, поэтому необходимо выбирать такой припуск, который может обеспечить хорошее качество детали и минимально возможную стоимость обработки.


Поделиться с друзьями:

mylektsii.su - Мои Лекции - 2015-2026 год. (0.462 сек.)Все материалы представленные на сайте исключительно с целью ознакомления читателями и не преследуют коммерческих целей или нарушение авторских прав Пожаловаться на материал