Главная страница
Случайная страница
КАТЕГОРИИ:
АвтомобилиАстрономияБиологияГеографияДом и садДругие языкиДругоеИнформатикаИсторияКультураЛитератураЛогикаМатематикаМедицинаМеталлургияМеханикаОбразованиеОхрана трудаПедагогикаПолитикаПравоПсихологияРелигияРиторикаСоциологияСпортСтроительствоТехнологияТуризмФизикаФилософияФинансыХимияЧерчениеЭкологияЭкономикаЭлектроника
|
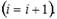
ЗАДАНИЕ 4. В результате выполнения алгоритма значение переменной А будет выведено ____ раз
В результате выполнения алгоритма значение переменной А будет выведено ____ раз. 
| □
|
| |
| □
|
| |
| □
|
| |
| □
|
| ЗАДАНИЕ 5
Дана схема алгоритма: В результате выполнения алгоритма при входном значении значение переменной будет равно …
| □
|
| |
| □
|
| |
| □
|
| |
| □
|
| Решение: Данный алгоритм содержит цикл с постусловием. В результате выполнения алгоритма выводится значение суммы квадратов четных и кубов нечетных натуральных чисел от 1 до На первом шаге вводится значение переменной На следующем шаге присваиваются значения переменным Далее выполняется цикл с постусловием, в котором вычисляется значение суммы кубов нечетных натуральных чисел затем увеличивается значение счетчика цикла далее вычисляется значение суммы квадратов четных натуральных чисел и снова увеличивается значение счетчика цикла Данные команды будут выполняться 3 раза, пока не выполнится условие при значениях от 1 до с шагом 1. Итерации цикла будут иметь следующий вид: На следующем шаге вычисляется значение суммы На последнем шаге выполняется вывод значения переменной В результате выполнения алгоритма переменная примет значение, равное 209.
|