Студопедия

Главная страница Случайная страница

КАТЕГОРИИ:

АвтомобилиАстрономияБиологияГеографияДом и садДругие языкиДругоеИнформатикаИсторияКультураЛитератураЛогикаМатематикаМедицинаМеталлургияМеханикаОбразованиеОхрана трудаПедагогикаПолитикаПравоПсихологияРелигияРиторикаСоциологияСпортСтроительствоТехнологияТуризмФизикаФилософияФинансыХимияЧерчениеЭкологияЭкономикаЭлектроника






Расчёт явочной численности основных производственных рабочих






 

Задача имеет много решений, поэтому при сопоставлении различных вариантов обеспечения поточной линии рабочей силой выбирают тот вариант, который дает минимальную численность рабочих, обеспечивает наиболее полную загрузку рабочих в первую смену. Выполнение первого условия снижает фонд заработной платы и, следовательно, снижает себестоимость продукции, а это приводит к росту прибыли и рентабельности производства. Выполнение второго условия аналогично по своим последствиям, так как сокращаются доплаты за работу в ночное время. Минимизация численности работающих равнозначна максимизации их загрузки. Последнее предположение достигается за счет всемерного распространения многостаночного обслуживания и совмещения профессий. В работе предлагается рассмотреть три варианта определения численности рабочих: а) методом расстановки; б) организацией совмещенного обслуживания на прерывно-поточной линии (ППЛ); в) организацией многостаночного обслуживания на непрерывно-поточной линии (НПЛ). Рассмотрение вариантов, обеспечивающих минимальную численность рабочих, требует проведения расчетов и графического анализа.

 

 

Оценка уровня многостаночного обслуживания

Приложение 8

№ операции t маш, мин t всп, мин Сд.пр Спр , %
05: черновая токарная обточка 10: чистовая токарная обточка 15: подрезание торцов 20: нарезание шлицов 25: нарезание шпоночного паза 30: шлифование                              

G AAgAAAAhAEv5MeLeAAAACgEAAA8AAABkcnMvZG93bnJldi54bWxMj8FOwzAMhu9IvENkJC7TlrQr EypNJwT0xoUB2tVrTFvROF2TbYWnJ2gHONr+9Pv7i/Vke3Gk0XeONSQLBYK4dqbjRsPbazW/BeED ssHeMWn4Ig/r8vKiwNy4E7/QcRMaEUPY56ihDWHIpfR1Sxb9wg3E8fbhRoshjmMjzYinGG57mSq1 khY7jh9aHOihpfpzc7AafPVO++p7Vs/Udtk4SvePz0+o9fXVdH8HItAU/mD41Y/qUEannTuw8aLX sMySLKIa0ix2isB5sdOwukkUyLKQ/yuUPwAAAP//AwBQSwECLQAUAAYACAAAACEAtoM4kv4AAADh AQAAEwAAAAAAAAAAAAAAAAAAAAAAW0NvbnRlbnRfVHlwZXNdLnhtbFBLAQItABQABgAIAAAAIQA4 /SH/1gAAAJQBAAALAAAAAAAAAAAAAAAAAC8BAABfcmVscy8ucmVsc1BLAQItABQABgAIAAAAIQAg LdcMEwIAACkEAAAOAAAAAAAAAAAAAAAAAC4CAABkcnMvZTJvRG9jLnhtbFBLAQItABQABgAIAAAA IQBL+THi3gAAAAoBAAAPAAAAAAAAAAAAAAAAAG0EAABkcnMvZG93bnJldi54bWxQSwUGAAAAAAQA BADzAAAAeAUAAAAA "/> R = То R = То R = То R = То

 

 


108, 4 % 100%

42%
05

100%

 
103%

42%
63%

100%

 
108, 5 %

17%
15

100%

78, 38%
 
92, 86 %

100%

103 %

 

17%
38%
100%

 


 
30

71, 3%
38%

96, 3 %

 

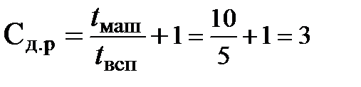
В случае организации многостаночного обслуживания на одинаковых станках при одинаковых операциях количество расчётных станков-дублёров (Сд.р), которое может обслужить один рабочий, определяем по формуле

 

,

где – машинное (автоматическое) и вспомогательное (ручное) время операций.

Полученное значение Сд.р округляют до меньшего ближайшего целого числа (Сд.пр). Определяем процент соответствия принятого числа станков с возможностями многостаночного обслуживания по формуле

 

 

Время выполнения: 80 минут.

 

 


Поделиться с друзьями:

mylektsii.su - Мои Лекции - 2015-2026 год. (2.114 сек.)Все материалы представленные на сайте исключительно с целью ознакомления читателями и не преследуют коммерческих целей или нарушение авторских прав Пожаловаться на материал