Студопедия

Главная страница Случайная страница

КАТЕГОРИИ:

АвтомобилиАстрономияБиологияГеографияДом и садДругие языкиДругоеИнформатикаИсторияКультураЛитератураЛогикаМатематикаМедицинаМеталлургияМеханикаОбразованиеОхрана трудаПедагогикаПолитикаПравоПсихологияРелигияРиторикаСоциологияСпортСтроительствоТехнологияТуризмФизикаФилософияФинансыХимияЧерчениеЭкологияЭкономикаЭлектроника






Методические указания. Асинхронные конденсаторные электродвигатели (АКД) представляют собой электрические машины, предназначенные для работы от однофазной сети






Введение

Асинхронные конденсаторные электродвигатели (АКД) представляют собой электрические машины, предназначенные для работы от однофазной сети. Особенность этих электрических машин состоит в том, что они являются несимметричными двухфазными машинами, одна из фаз которых непосредственно подключается к однофазной сети, а вторая к тому же источнику питания через фазосдвигающий конденсатор.

На практике для расчета таких машин используют либо метод двух реакций, либо метод вращающихся полей, либо метод симметричных составляющих. Первый метод чаще применяют для расчета явнополюсных машин, второй – для машин нетрадиционных конструкций, третий – для машин с симметричным ротором. Рассчитываемый электродвигатель относится к машинам третьего типа, поэтому анализ его работы целесообразно вести на основании метода симметричных составляющих.

Целью данного расчетного задания является изучение метода симметричных составляющих и приобретение навыков его применения для анализа машин с электрической несимметрией на статоре.

В качестве объекта для анализа принят двухфазный несимметричный асинхронный конденсаторный двигатель, питающийся от однофазной сети. Настоящие методические указания составлены на основании [1].

Расчетное задание

1. Выбрать данные рассчитываемого электродвигателя из таблицы 1 в соответствии с вариантом задания.

2. Начертить:

§ схему включения асинхронного конденсаторного электродвигателя (АКД) в однофазную сеть;

§ схемы замещения главной фазы для токов прямой и обратной последовательностей.

3. Определить коэффициент трансформации и емкость конденсатора, позволяющие получить круговое вращающееся поле при заданном в таблице 1 скольжении s o.

4. Получить величину рабочей емкости путем округления значения полученного в п.3 до ближайшего значения из стандартного ряда, представленного в Таблице 2. Это значение емкости использовать в дальнейшем при проведении расчета.

5. Произвести расчет для скольжений s от 0 до 1.0:

§ симметричных составляющих токов;

§ фазных токов электродвигателя;

§ суммарного потребляемого электродвигателем тока;

§ напряжения на конденсаторе.

Результаты расчетов свести в таблицу. Построить графики изменения модулей указанных величин в функции скольжения.

Количество рассчитываемых точек и значения скольжения выбираются в указанном диапазоне самостоятельно из условия получения качественных графиков и достаточности для определения требуемых параметров.

6. Рассчитать электромагнитный момент электродвигателя, а также электромагнитные моменты от токов прямой и обратной последовательностей. По результатам расчета моментов построить механическую характеристику АКД, на которой представить также графики моментов от токов прямой и обратной последовательностей. На механической характеристике показать точки соответствующие so и sэ .

7. Для скольжения s э, указанного в Таблице 1:

§ определить потери мощности в АКД,

§ рассчитать КПД,

§ изобразить в масштабе энергетическую диаграмму электродвигателя.

8. Для скольжения sэ построить векторную диаграмму токов, совмещенную с векторной диаграммой напряжений.

9. Определить, как изменится ток потребляемый электродвигателем, развиваемый момент и частота вращения при скольжении sэ, если частота питающей сети возрастет на 10%.

Таблица 1. Таблица вариантов данных электродвигателей.

№ варианта rSA xSA rRA xRA xmA s o s э U f n
Ом Ом Ом Ом Ом о/е о/е В Гц об/мин
            0, 2 0, 1      
            0, 1 0, 05
            0, 05 0, 2
            0, 1 0, 2
            1, 0 0, 1
            0, 2 0, 05
            0, 1 0, 2
            0, 05 0, 1
            0, 2 0, 1
            1, 0 0, 2
            0, 2 0, 05
            0, 1 0, 2
            0, 05 0, 1
            0, 2 0, 05
            1, 0 0, 1
            0, 1 0, 2
            0, 2 0, 1
            0, 05 0, 2
            1, 0 0, 1
            0, 05 0, 2
            0, 1 0, 05
            0, 2 0, 1
            0, 5 0, 2
            1, 0 0, 05
            0, 05 0, 2

 

 

В таблице 1:

§ rSA – активное сопротивление фазы А статора;

§ rRA – активное сопротивление обмотки ротора, приведенное к фазе А статора;

§ xSA – индуктивное сопротивление рассеяния фазы А статора;

§ xRA – индуктивное сопротивление рассеяния обмотки ротора, приведенное к фазе А статора;

§ xmA – индуктивное сопротивление взаимной индуктивности фазы А статора;

§ U – напряжение питающей сети;

§ f – частота питающей сети;

§ n – синхронная частота вращения ротора.

Методические указания

1. На схеме замещения главной фазы (фазы А) следует вместе с буквенными обозначениями привести численные значения параметров, указанных в табл.1, для выполняемого варианта задания.

 

2. Расчет электродвигателя производится метода симметричных составляющих, описанном в [2], с применением символического метода расчета цепей переменного тока, изученного в курсе ТОЭ [4].

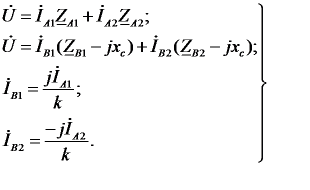
3. Определение емкости конденсатора и коэффициента трансформации, обеспечивающих круговое поле в электродвигателе при заданном скольжении производится на основе решения следующей системы уравнений.

,

где α – коэффициент сигнала, k – коэффициент трансформации, rA1 и xA1 – эквивалентные активное и индуктивное сопротивление сопротивления фазы А для заданного скольжения.

Так как в рассчитываемом конденсаторном электродвигателе обе фазы подключаются к одному источнику питания (фаза А непосредственно, а фаза В через фазосдвигающий конденсатор), то при решении приведенной выше системы уравнений следует принять коэффициент сигнала α = 1.

Сопротивления rA1 и xA1 определяются как действительная и мнимая часть, соответственно, эквивалентного комплексного сопротивления схемы замещения фазы А электродвигателя для токов прямой последовательности, представленной на Рисунок 1. Величины rA1 и xA1 необходимые для расчета емкости конденсатора рассчитываются для скольжения so.

Рисунок 1. Схема замещения фазы А для токов прямой последовательности.

При использовании для проведения расчетов программного пакета MathCad рекомендуется записать Z A1 как функцию скольжения s, что облегчит дальнейшие вычисления.

После определения коэффициента трансформации k и емкостного сопротивления xc производится расчет величины емкости, обеспечивающей круговое поле при заданном скольжении s0.

4. По полученному значению емкости конденсатора следует выбрать ближайшую величину емкости рабочего конденсатора из стандартного ряда емкостей, представленного в таблице 2.

Таблица 2. Номинальный ряд емкостей выпускаемых конденсаторов.

Номинальный ряд емкостей, мкФ
0.1 1.0  
0.12 1.2  
0.15 1.5  
0.18 1.8  
0.22 2.2  
0.27 2.7  
0.33 3.3  
0.39 3.9  
0.47 4.7  
0.56 5.6  
0.68 6.8  
0.82 8.2  

5. Расчет симметричных составляющих токов электродвигателя выполняется путем решения следующей системы уравнений.

Рисунок 2. Схема замещения фазы А для токов обратной последовательности.

Входные комплексные сопротивления схем замещения фазы А для токов прямой (Рисунок 1) и обратной последовательности (Рисунок 2), обозначаемые ZA1 и ZA2 и необходимые для решения приведенной системы уравнений рассчитываются по соотношениям:

для токов прямой последовательности

;

для токов обратной последовательности

,

где - активное сопротивление фазы А, - индуктивное сопротивление рассеяния фазы А, значения которых берутся из Таблицы 1. и - активная часть эквивалентного сопротивления параллельных ветвей схем замещения, представленных на рисунках 1 и 2, соответственно, а и - мнимые части эквивалентных комплексных сопротивлений параллельных ветвей тех же схем замещения.

Входные комплексные сопротивления схем замещения вспомогательной фазы (фазы В) определяются в соответствии с методом симметричных составляющих по рассчитанным сопротивлениям фазы А по следующим соотношениям:

;

.

Полученные значения комплексных эквивалентных комплексных сопротивлений ZA1, ZA2, ZB1 и ZB2 позволяют получить симметричные составляющие токов , путем решения системы уравнений, приведенной в п.5, или воспользовавшись расчетными соотношениями, приведенными в [1, 2] и курсе лекций.

6. Полученные симметричные составляющие токов позволяют получить значения фазных токов электродвигателя, общего тока потребляемого от однофазной сети и напряжение на конденсаторе:

Токи в фазах согласно метода симметричных составляющих

;

.

Общий ток, потребляемый двигателем

.

Значения модулей токов, их фазовых углов рекомендуется свести в таблицу.

Модуль напряжение на конденсаторе

.

Для скольжения, согласно задания, s oследует построить векторную диаграмму токов, совмещенную с векторной диаграммой напряжений.

7. Электромагнитные моменты от токов прямой и обратной последовательностей

;

,

где угловая частота вращения поля

.

Суммарный электромагнитный момент АКД

.

Рекомендуется на одном графике построить зависимости моментов M 1, M 2, M от скольжения s.

8. Расчет мощностей и построение энергетической диаграммы производят без учета потерь в стали и потерь в конденсаторе для скольжения s э.

Мощность, потребляемая обмотками статора из сети

.

Электрические потери в обмотках статора.

,

Где

.

Электрические потери в роторе от токов прямой последовательности

,

от токов обратной последовательности

.

Мощность, поступающая в ротор от поля прямой последовательности и идущая на покрытие электрических потерь в роторе от токов обратной последовательности

.

Полная механическая мощность на валу

.

Полезная механическая мощность на валу

,

где P мех- механические потери мощности. В микромашинах эти потери достаточно велики. В расчете рекомендуется принять

.

По рассчитанным мощностям строится энергетическая диаграмма АКД и определяется КПД:

.

9. Для оценки влияния изменения частоты питающей сети на работу электродвигателя, необходимо определить, как изменятся параметры его обмоток, и произвести расчет требуемых величин.


Контрольные вопросы

1. Каков характер магнитного поля в АКД? Каковы условия получения кругового вращающегося поля?

2. Возможно ли, изменяя только емкость конденсатора, получить круговое вращающееся поле при различных нагрузках?

3. Какое влияние на работу двигателя оказывает обратно вращающееся поле?

4. Как изменяется напряжение на конденсаторе при изменении нагрузки?

5. Какая емкость конденсатора должна быть больше: пусковая или рабочая?

6. Почему часть электромагнитной мощности поля прямой последовательности идет на покрытие электрических потерь в роторе от токов обратной последовательности?

7. Почему скольжение относительно обратного поля s обр = 2 – s пр?

8. От чего зависят входные сопротивления схем замещения АКД?

9. Какую двухфазную асинхронную машину называют симметричной?

10. Почему АКД при круговом поле имеет лучшие энергетические показатели, чем при эллиптическом поле?

11. Какое поле образуется в АКД при пробое конденсатора?

12. Каково назначение конденсатора в АКД?

13. Какие потери мощности существуют в АКД при эллиптическом поле?

14. Как увеличить пусковой момент конденсаторного асинхронного электродвигателя?

15. Почему в однофазном асинхронном электродвигателе не создается пусковой момент?

16. Каковы условия получения вращающегося поля в конденсаторном электродвигателе?

17. Как экспериментально проверить корректность выбора фазосдвигающего конденсатора?

18. Как определить ёмкость конденсатора, который надо подключить параллельно зажимам электродвигателя, включаемым в сеть, для получения при заданном скольжении коэффициента мощности равного единице?

19. Как можно обеспечить работу конденсаторного электродвигателя при заданной нагрузке с максимально возможным КПД?

20. Как изменится момент, развиваемый электродвигателем при заданной частоте вращения, если напряжение питающей сети изменится на 10%?

21. Почему однофазные конденсаторные электродвигатели не применяют в мощных промышленных электроприводах?


Литература

1. Осин И.Л. Методические указания к типовому расчету по курсу " Электрические машины автоматических устройств" - https://elmech.mpei.ac.ru/books/tr/AKD/index.html

2. Юферов Ф.М. Электрические машины автоматических устройств. – М.: Высшая школа, 1988. - 479с.

3. Испытание электрических машин / Н.В. Астахов, Е.М. Лопухина, В.Т. Медведев, И.Л. Осин и др.; Под ред. Н.В. Астахова – М.: Высшая школа, 1984. - 272с.

4. Бессонов Л.А. Теоретические основы электротехники. Электрические цепи. – М. Юрайт, 2012. – 701с.


Поделиться с друзьями:

mylektsii.su - Мои Лекции - 2015-2026 год. (1.602 сек.)Все материалы представленные на сайте исключительно с целью ознакомления читателями и не преследуют коммерческих целей или нарушение авторских прав Пожаловаться на материал