Студопедия

Главная страница Случайная страница

КАТЕГОРИИ:

АвтомобилиАстрономияБиологияГеографияДом и садДругие языкиДругоеИнформатикаИсторияКультураЛитератураЛогикаМатематикаМедицинаМеталлургияМеханикаОбразованиеОхрана трудаПедагогикаПолитикаПравоПсихологияРелигияРиторикаСоциологияСпортСтроительствоТехнологияТуризмФизикаФилософияФинансыХимияЧерчениеЭкологияЭкономикаЭлектроника






Цикл Карно






Лекция № 4. Второй закон термодинамики

 

Понятие о круговом процессе

 

Термодинамические процессы, в результате которых рабочее тело, проходя последовательно различные состояния, возвращается снова в первоначальное состояние, называются замкнутыми процессами или циклами.

В координатах (так же как и в любой другой системе координат, по осям которой откладываются параметры состояния) такие процессы изображаются замкнутыми контурами. Любая точка кривой, представляющей цикл, может быть принята за начало и конец. Однако обычно за начало цикла принимается начало подвода теплоты к рабочему телу.

Замкнутые процессы имеют большое значение в термодинамике, так как они позволяют работу любого теплового двигателя или теплосиловой установки с определенным приближением сопоставить с процессами, осуществляемыми в цикле.

В каждом двигателе, в котором теплота превращается в работу, рабочее тело должно расширяться. Продолжительное и безостановочное действие двигателя для получения большого количества энергии требует непрерывного повторения рабочим телом процесса расширения. Это возможно осуществить двумя путями.

В первом случае рабочее тело расширяется и удаляется из двигателя, а на его место впускается новая порция рабочего вещества, которое вновь расширяется.

Во втором случае рабочее тело после расширения возвращается в исходное состояние путем сжатия, после чего оно снова расширяется.

Если в первом случае необходимо иметь новые порции рабочего тела, то во втором случае можно длительное время обходиться одним и тем же рабочим телом.

Понятно, что во втором случае на сжатие рабочего тела должна тратиться работа внешних сил. Если мы хотим получить от такой машины полезную работу, то очевидно, на сжатие должно тратиться меньше работы, чем получается при расширении.

Изменение состояния рабочего тела во втором случае можно представить в ─ диаграмме замкнутой кривой ACBDA (рисунок 1).

 

Рисунок 1. Графическое определение работы замкнутого цикла

Рабочее тело при этом попеременно расширяется и сжимается, возвращаясь, каждый раз в первоначальное состояние. Такой замкнутый процесс называется круговым процессом или циклом.

На участке ACB от некоторого источника к 1 кг рабочего тела подводится определенное количество теплоты , при этом внутренняя энергия изменяется на величину и совершается работа .

На участке BDA от рабочего тела отводится количество теплоты , внутренняя энергия при этом уменьшается на величину , а для того, чтобы газ вернуть в исходное состояние А, потребовалось бы совершить работу над газом .

Первый закон термодинамики для процесса расширения на участке ACB запишется в виде

а на участке BDA

Разность количества подведенной и отведенной теплоты равна

Поскольку после возвращения в исходное состояние параметры рабочего тела будут такими же, что и в начале, то

Тогда

(4.1)

Величина представляет собой работу замкнутого цикла, равную разности работы расширения на участке ACB и сжатия на участке BDA, определяемую площадью заштрихованной поверхности ACBDA.

Очевидно, , если направление обхода процесса осуществляется по часовой стрелке при положении осей, указанном на рисунке 4.1, и , если направление обхода противоположно.

В случае мы имеем дело с тепловым двигателем, а при ¾ с рабочей машиной, в которой работа совершается за счет внешних сил.

Замкнутый процесс может быть обратимым и необратимым. Циклы, состоящие только из обратимых процессов, будут обратимыми циклами. В противном случае имеем необратимые циклы.

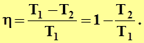
Степень использования теплоты в цикле определяется термическим коэффициентом полезного действия , представляющим отношение количества теплоты, превращенной в работу, к количеству затраченной теплоты

(4.2)

 

Цикл Карно

 

Сади Карно предложил термодинамический цикл, дающий максимальное значение термического КПД тепловой машины.

Для того, чтобы построить такой цикл, вообразим, что 1 кг идеального газа, взятого в качестве рабочего тела, находится в теплоизолированном цилиндре с подвижным поршнем, причем рабочее тело может периодически сообщаться то с горячим бесконечным источником теплоты, имеющим постоянную температуру , то с холодным бесконечным телом, имеющим постоянную температуру , выполняющим роль холодильника (рисунок 4.2).

 
 

 

 


Рис. 4.2. Цикл Карно

 

Физическая картина явлений, происходящих в цикле Карно, может быть представлена следующим образом.

В точке 1 находится рабочее тело (идеальный газ) двигателя, с параметрами p1, u1, T1 (рис. 4.2). К рабочему телу подводится нагреватель, температура которого также равна T1. Под влиянием высокого давления поршень двигателя начинает двигаться вправо, при этом расширение рабочего тела происходит при постоянной температуре, которая поддерживается нагревателем. В точке 2 рабочее тело имеет параметры p2, u2, T1. При этом рабочее тело изолируется от нагревателя, но продолжает расширяться адиабатно, двигая поршень вправо. В адиабатном процессе расширения температура рабочего тела понижается до T2. В этот момент поршень достигает своего крайне правого положения. Параметры рабочего тела в точке 3 равны p3, u3, T2. Обратное движение поршня происходит под воздействием энергии, накопленной в маховике и передаваемой посредством кривошипно-ползунного механизма. Рабочее тело начинает сжиматься, при этом оно сообщается с охладителем, имеющим температуру T2. Таким образом, сжатие происходит при постоянной температуре T2. В точке 4 параметры рабочего тела достигают значений p4, u4, T2. Рабочее тело изолируется от охладителя и продолжает сжиматься адиабатно, при этом температура рабочего тела возрастает до T1 и параметры рабочего тела вновь соответствуют параметрам в точке 1.

Таким образом, мы получили цикл 12341, состоящий из двух изотерм 1─ 2 и 3─ 4 и двух адиабат 2─ 3 и 4─ 1.

Карно показал, что невозможно построить такой периодически действующий тепловой двигатель с циклом, имеющим более высокий термический КПД, чем цикл Карно, при одинаковых начальных и конечных температурах. В этом смысле КПД цикла Карно есть тот предел, к которому может приблизиться КПД цикла любой тепловой машины.

Определим термический КПД цикла Карно.

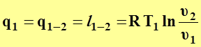
Так как в изотермическом процессе количество теплоты полностью определяется работой, то

(4.3)

и

(4.4)

Тогда КПД цикла можно записать

(4.5)

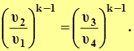
Уравнение адиабаты может быть представлено в виде

. (4.6)

Запишем уравнения адиабаты для процессов 2─ 3 и 4─ 1:

(4.7)

и

(4.8)

Поделив первое уравнение на второе, получим, что

(4.9)

Прологарифмируем уравнение (4.9)

(4.10)

(4.11)

Таким образом,

(4.12)

Как видно из выражения (4.12), термический КПД цикла Карно зависит только от температуры нагревателя и холодильника , причем величина КПД тем больше, чем больше значение и меньше значение .

С. Карно было также доказано, что формула (4.12) применима только для обратимого цикла Карно, а формула (4.2) может применяться только для необратимого цикла Карно. При этом .

Важной задачей теплотехники является изыскание способов повышения КПД. Для этого стремятся по возможности повысить параметры нагревателя и понизить параметры холодильника. В качестве последнего в технике используют воздух или воду.

Расчеты показывают, что если температура холодильника равна 283 К, то в зависимости от температуры нагревателя термический КПД цикла Карно примет следующие значения.

Т, К            
h 0, 44 0, 6 0, 69 0, 74 0, 78 0, 81

 

Следует заметить, что никакими мерами нельзя достигнуть значения . Это было бы возможно только при условии равенства или , что принципиально достигнуть нельзя.

В связи с обратимостью цикла Карно его можно провести в направлении, указанном на рисунке 4.3.

В этом случае от тела, имеющего температуру , отнимается количество теплоты и отдается другому телу, имеющему температуру . Так как теплота от тела с меньшей температурой самопроизвольно не передается телу с более высокой температурой, то для протекания этого процесса необходимо затратить определенную работу. Причем, если от холодного источника тела отнимается количество теплоты , то более горячему телу передается количество теплоты , равное

. (4.13)

 

 

Рисунок 4.3. Обратный цикл Карно

Обратный цикл Карно является идеальным циклом холодильных установок и так называемых тепловых насосов.

В холодильной установке рабочими телами служат, как правило, пары легкокипящих жидкостей — фреона, аммиака и т.п. Процесс «перекачки теплоты» от тел, помещенных в холодильную камеру, к окружающей среде происходит за счет затрат электроэнергии.

Эффективность холодильной установки оценивается холодильным коэффициентом, определяемым как отношение количества теплоты, отнятой за цикл от холодильной камеры, к затраченной в цикле работе:

. (4.14)

Для обратного цикла Карно

. (4.15)

Заметим, что чем меньше разность температур между холодильной камерой и окружающей средой, тем меньше нужно затратить энергии для передачи теплоты от холодного тела к горячему и тем выше холодильный коэффициент.

Холодильную установку можно использовать в качестве теплового насоса. Если, например, для отопления помещения использовать электронагревательные приборы, то количество теплоты, выделенное в них, будет равно расходу электроэнергии. Если же это количество электроэнергии использовать в холодильной установке, в которой горячим источником, т. е. приемником теплоты, является отапливаемое помещение, а холодным — наружная атмосфера, то количество теплоты, полученное помещением, равно

,

где q2 — количество теплоты, взятое от наружной атмосферы, а — расход электроэнергии.

Понятно, что , т. е. отопление с помощью теплового насоса выгоднее простого электрообогрева.

 


Поделиться с друзьями:

mylektsii.su - Мои Лекции - 2015-2026 год. (1.244 сек.)Все материалы представленные на сайте исключительно с целью ознакомления читателями и не преследуют коммерческих целей или нарушение авторских прав Пожаловаться на материал