Студопедия

Главная страница Случайная страница

КАТЕГОРИИ:

АвтомобилиАстрономияБиологияГеографияДом и садДругие языкиДругоеИнформатикаИсторияКультураЛитератураЛогикаМатематикаМедицинаМеталлургияМеханикаОбразованиеОхрана трудаПедагогикаПолитикаПравоПсихологияРелигияРиторикаСоциологияСпортСтроительствоТехнологияТуризмФизикаФилософияФинансыХимияЧерчениеЭкологияЭкономикаЭлектроника






Визначення техніко-економічних показників






 

Тзаг =325, 43 люд-дн..

 

Загальна тривалість:

 

tзаг = 2 місяці.

 

Трудомісткість на 1 м3 будівлі:

 

Т = 325, 43/1296=0, 25 люд-дн./м3.

 

Коефіцієнт нерівномірності руху робітників, , визначаємо за формулою:

 

чол.; (4.50)

 

де Rmax - максимальна кількість робітників з графіку руху робітників, чол.;

Rсер - середня кількість робітників з графіку руху робітників, чол..

 

чол.

 

 

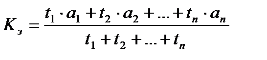
Коефіцієнт збіжності будівельних процесів у часі, К е , % визначаємо за формулою:

 

(4.51)

 

де К з визначається за формулою:

 

(4.52)

 

де tn - тривалість процесу, зм;

an - кількість змін, зм.

 

Так як всі роботи виконуються в одну зміну, то Ке = 0.

 

 

4.2.10 Заходи по охороні праці

 

Охорона праці в будівництві вирішує питання попередження травматизму і виключення нещасних випадків на виробництві. Основні питання техніки безпеки в будівництві регламентуються у відповідних будівельних нормах, технічних умовах та інструкціях з безпечної експлуатації будівельних машин, механізмів та технологічного оснащення, вимог з електро-, пожежо- та вибухобезпеки і мають бути обов'язково відображені у технологічних документах (проекті організації будівництва і проекті виконання робіт).

Для попередження впливу на будівельних робітників небезпек, а саме: рух технологічного транспорту, будівельних машин та рух робочих органів машин і рухливих частин машин, механізмів; висока напруга електричного струму; падіння будівельних вантажів, обрушення ґрунту; безпосередній вплив відкритого вогню, гарячого пару тощо — потрібно розробляти у складі робочого проекту і за необхідності проекту виконання робіт інженерні рішення організаційно-технологічні заходи, спрямовані на гарантоване забезпечення безпеки праці в цих умовах.

Будівельні майданчики і робочі місця мають бути оснащені: справними (у необхідній кількості) засобами праці, допоміжними пристроями, інвентарем і будівельною оснасткою; засобами сигналізації і зв'язку; інвентарними технічними засобами для огороджування небезпечних зон, рухливих частин будівельних машин, механізмів тощо; пристроями для колективного захисту від падаючих предметів; пристосуваннями для заземлення будівельних механізмів, риштувань і помостів та захисту від блискавки тощо.

Робітники мають бути забезпечені засобами індивідуального захисту та спецодягом, мати відповідні спеціальності і навички безпечної праці, у тому числі при виконанні робіт в екстремальних умовах — взимку, на висоті, у разі застосування токсичних хімічних добавок, при виконанні процесів і робіт, де використовують електричні й електрохімічні та інші небезпечні й шкідливі для людини ефекти та процеси.

До охорони праці належать також і протипожежні заходи, спрямовані на зосередження виникнення пожеж на будівельному майданчику, що дає змогу забезпечити безпеку праці і швидку евакуацію працюючих при пожежах і вибухах.

Питання пожежної безпеки мають бути розроблені у відповідних розділах технічного і робочого проектів, де наведено рішення щодо: складування й умов збереження легкозаймистих, горючих і вибухонебезпечних матеріалів, правила використання їх, а також видалення з робочих місць будівельного майданчика залишків цих матеріалів та відходів; розташування й огороджування місць виконання зварювальних робіт; розташування засобів пожежогасіння — пожежний інвентар, гідранти, вогнегасники тощо.

 

 

3 Розрахункова частина

 

3.1 Розрахункові дані

 

Потрібно розрахувати збірну залізобетонну панель перекриття для автоматичної телефонної станції, що спирається на несучі цегляні стіни. Панель є згинаючим елементом, а значить розрахунок ведеться по першій групі граничного стану. При розрахунку розглядаються нормальний і похилий перетини по яким може руйнуватись панель перекриття. Межа вогнестійкості панелей 1 година.

При розрахунку прийняти:

- номінальну довжину 3, 0 м,

- номінальну ширину 1, 5 м,

- номінальну висоту 0, 22 м.

Панель перекриття відноситься до третьої категорії тріщиностійкості, у них допускаються тріщини при експлуатації, при цьому ширина тріщин повинна бути не більше 0, 3 мм.

Глибина спирання панелей повинна бути не менше 90 мм.

Для забезпечення розподілу навантаження на суміжні панелі і поліпшення звукоізоляції перекриттів і покриттів необхідно ретельне заповнення швів важким бетоном класу не нижче В15 чи розчином не нижче марки М100.

Усі каркаси, що мають повздовжні стрижні різного діаметра, влаштовуються таким чином, щоб великий діаметр знаходився у верхній зоні панелі.

Захисний шар бетону до низу робочої арматури приймається 20 мм.

Верхні сітки, каркаси виготовляються з арматури класу Вр-1, з розрахунковим опором Rsw =265 МПа. Виготовлення каркасів і сіток повинне вироблятись контактиними точковими зварюванням.

Монтажні петлі виготовляються зі сталі класу А-1.

Проектна марка бетону по міцності на стиск класу В 20, розрахунковий опір бетону на осьове стискання та розтяг Rb = 11, 5 МПа, Rbt = 0, 9 МПа.

Бетон для панелей повинен виготовлятися на фракціонованому, не забрудненому щебені зі скельних порід типу граніту, вапняку і інших.

Відхилення від розмірів панелей не повинні перевищувати по довжині +6 мм, по товщині і ширині 5 мм, по довжині вкладишів 10 мм.

Панелі повинні мати прямолінійні грані; в окремих панелях допускаються викривлення нижньої або бокової поверхні не більше 3 мм на довжині 2 м і не більше 8 мм по всій довжині панелі.

На поверхні панелей не допускається:

- раковини, місцеві напливи і западини,

- сколи бетону,

- подовжніх нижніх ребер, на верхніх гранях і краях торців,

- тріщини в бетоні панелей, за винятком місцевих поверхневих усадочних шириною не більше 0, 1 мм,

- жирові плями на лицьових поверхнях.

Нижня стельова поверхня повинна бути гладка, підготовлена під фарбування.

Панелі слід зберігати в робочому положенні, між панелями повинні бути вкладені дерев’яні прокладки прямокутного перерізу.

Прокладки під нижній ряд панелей слід укладати по щільній, ретельно вирівняній основі.

Прокладки всіх панелей, які лежать вище повинні бути розташовані по вертикалі одна над іншою.

 

3.2 Розрахунок багатопустотної плити

 

Розрахунок багатопустотної плити перекриття починається зі збору навантажень на 1м2 плити перекриття, розрахунок зведений у таблиці 3.1.

 

Рисунок 3.1 – Багатопустотна плита покриття.

 

Таблиця 3.1 – Збір навантажень на 1м2 плити перекриття

 

Вид навантажень Нормативне навантаження Н/м2 Коефіцієнт перевантаження Розрахункове навантаження Н/м2
Шар «Екофлекс» марки ХКП, 4мм 1х1х0, 004х6000=24 1, 2 28, 8
Шар «Екофлекс» марки ХКП, 3мм 1х1х0, 003х6000=18 1, 2 21, 6
Підкладаючий руберойд марки РПП-350А, 2 мм 1х1х0, 002х6000=12 1, 2 14, 4
Цементно- піщана стяжка, 20 мм 1х1х0, 02х14000=280 1, 2  
Теплоізоляція(керамз.гравій), 120 мм 1х1х0, 12х2000=240 1, 3  
Пароізоляція (шар руберойду), 2 мм 1х1х0, 002х6000=12 1, 2 14, 4
З/б плита покриття 1х1х0, 22х25000/2=2750 1, 1  
Разом   - 3752, 2
Тимчасове навантаження   1, 4  
Всього   - 7952, 2

3.3 Визначення навантажень та зусиль

 

На 1м довжини панелі шириною 150 сантиметрів діють наступні навантаження:

— нормативне постійне gн, знаходимо по формулі:

 

gн = g н · b, Н/м; (3.1)

 

де gн–нормативне навантаження, Н/м;

b – ширина панелі, м.

 

gн = 3336·1, 5=5004 Н/м.

 

— розрахункове постійна gр, знаходимо по формулі:

 

 

gр = g р · b, Н/м; (3.2)
   

де gр – розрахункове навантаження, Н/м,

 

gр = 3752, 2·1, 5=5629, 05 Н/м.

 

—тимчасове нормативне рн, знаходимо по формулі:

 

рн = рн·b, Н/м; (3.3)

 

де – тимчасове розрахункове навантаження, Н/м.

 

рн= 3000·1, 5=4500Н/м.

 

— тимчасове розрахункове рp, знаходимо по формулі:

 

ррр·b, Н/м; (3.4)

 

де рр –тимчасове розрахункове навантаження, Н/м.

 

рр =4200·1, 5 =6300 Н/м.

 

Підсумкове нормативне навантаження, p, знаходимо по формулі:

 

р = gн + рн, Н/м; (3.5)

 

р=5004+4500=9504 Н/м.

 

Підсумкове розрахункове навантаження, g, знаходимо по формулі:

 

g = gр + рр, Н/м; (3.6)

 

g= 5629, 05+6300=11929, 05 Н/м.

 

3.4 Визначення розрахункового згинаючого моменту і поперечної сили

 

Визначаємо розрахункову довжину плити, 10, за формулою:

 

м;   (3.7)  

де l – номінальна довжина плити, м.

 

1 = 3, 0 - 0, 2/2-0, 1/2 = 2, 85 м.

Визначаємо розрахунковий вигинаючий момент від повного розрахункового навантаження, М, за формулою:

 

Н·м; (3.8)

 

де g – підсумкове розрахункове навантаження, Н/м;

- розрахункова довжина плити, м;

- коефіцієнт умови роботи, який дорівнює 0, 95.

 

Н·м.  

 

Максимальна поперечна сила від розрахункового навантаження Q, визначається за формулою:

Н; де g – підсумкове розрахункове навантаження, Н/м; l – номінальна довжина панелі, м; Vн коефіцієнт умови роботи, який дорівнює 0, 95. (3.9)  

 

Н.  

Рисунок 3.2 – Розрахункова схема вигинаючого елемента.


Поделиться с друзьями:

mylektsii.su - Мои Лекции - 2015-2026 год. (1.375 сек.)Все материалы представленные на сайте исключительно с целью ознакомления читателями и не преследуют коммерческих целей или нарушение авторских прав Пожаловаться на материал