Студопедия

Главная страница Случайная страница

КАТЕГОРИИ:

АвтомобилиАстрономияБиологияГеографияДом и садДругие языкиДругоеИнформатикаИсторияКультураЛитератураЛогикаМатематикаМедицинаМеталлургияМеханикаОбразованиеОхрана трудаПедагогикаПолитикаПравоПсихологияРелигияРиторикаСоциологияСпортСтроительствоТехнологияТуризмФизикаФилософияФинансыХимияЧерчениеЭкологияЭкономикаЭлектроника






Перевірка панелі на монтажні навантаження






 

Власна вага елемента є основним навантаженням, яке при монтажі в момент підняття прикладається одразу і має динамічний характер.

При використанні для підняття збірного елементу чотирьох петель, нормативне навантаження від власної ваги вважають розподіленим на 3 петлі.

Анкеровка петель здійснюється запуском їх в бетон на глибину не менше 30d, де d – діаметр стрижня петлі. Стрижень петель повинен закінчуватись крюком.

Визначаємо нормативну вагу панелі P, за формулою:

 

кН; (3.24)

 

де a, b, h – розміри перерізу панелі, м;

p – питома вага залізобетону, кг/м3.

 

кН  

 

Визначаємо нормативну вагу з урахуванням коефіцієнту динамічності, P, за формулою:

 

кН; (3.25)
кН  
   
     

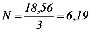
Визначаємо вагу, яка сприймається однією петлею, N, за формулою:

 

кг; (3.26)

 

кН = 619 кг  

 

Приймаємо стрижні класу А-1 діаметром 4 ø 10, оскільки несуча здатність одного крюка складає від 300 до 700 кг.

 

 


Поделиться с друзьями:

mylektsii.su - Мои Лекции - 2015-2026 год. (0.876 сек.)Все материалы представленные на сайте исключительно с целью ознакомления читателями и не преследуют коммерческих целей или нарушение авторских прав Пожаловаться на материал