Примеры решения задач. Отсюда получаем, что , следовательно, ряд
.
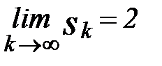
Пример 19. Рассмотрим ряд . Чтобы решить вопрос о сходимости последовательности : , преобразуем выражение следующим образом:

.
Отсюда получаем, что , следовательно, ряд сходится и сумма его равна 2.
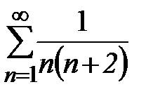
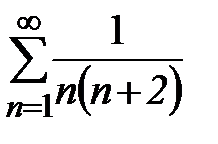
Пример 11. Рассмотрим ряд Для упрощения частичных сумм

преобразуем выражение для члена ряда , разложив его на простейшие дроби:
.
Отсюда получаем, что

.
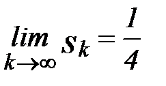
Следовательно, , т.е. ряд сходится и сумма его равна .
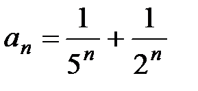
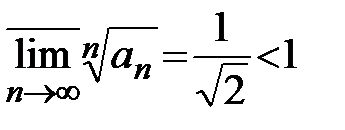
Пример 12. Рассмотрим ряд . Так как и каждый из рядов и сходится, то и ряд сходится.
Пример 13. Рассмотрим ряд . Так как , ряд сходится (см. пример 1), а ряд расходится, то ряд расходится.
Пример 14. Рассмотрим ряд . Так как , то
,
следовательно , т.е. ряд сходится и его сумма равна . В то же время, каждый из рядов и расходится.
Пример 15. Рассмотрим ряд . Так как для , то для Пользуясь этими равенствами, получаем, что для любых натуральных и 
.
Пользуясь критерием Коши и расходимостью гармонического ряда, отсюда получаем, что ряды и расходятся. Итак, расходятся все три ряда , и .
Пример 16. Рассмотрим ряд . Для членов этого ряда имеем:
,
,
откуда легко получаются оба равенства и .
Итак, данный ряд сходится как по признаку Даламбера, так и признаку Коши.
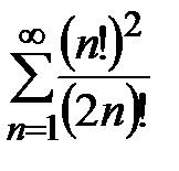
Пример 17. Рассмотрим ряд . Для этого ряда исследование сходимости ряда применим признак Даламбера:
.
Так как < 1, то в силу признака Даламбера данный ряд сходится.
Пример 18. Рассмотрим ряд . Поскольку члены ряда аналитически записаны в виде степени с переменным показателем, то следует ожидать, что исследование последовательности будет проще, чем последовательности . Действительно, вычисление

явно громоздко и проводить его не будем. Применим для анализа данного ряда признак Коши. Так как
,
то , следовательно, данный ряд сходится.
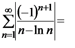
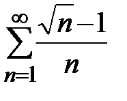
Пример 19. Рассмотрим ряд .
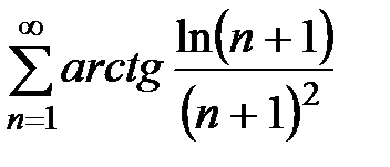
Так как ~ и этот ряд сходится при и расходится при как обобщенный гармонический ряд.
Пример 20. Рассмотрим ряд . Ряд расходится по признаку разреженности. Последовательность положительна и стремится к нулю при , то ряд сходится условно по признаку Лейбница.
Пример 21. Рассмотрим ряд. Так как и для , то , . Из этого неравенства в силу признака сравнения следует, что ряд сходится, следовательно, данный ряд сходится абсолютно.
Пример 22. Рассмотрим ряд . При любом для достаточно больших имеем, что . Для исследования сходимости ряда используем радикальный признак Коши. Так как
,
.
Следовательно, ряд сходится при . Если же , то для всех , т. е. не выполнен необходимый признак сходимости и ряд расходится. Итак, данный ряд абсолютно сходится при и расходится при .
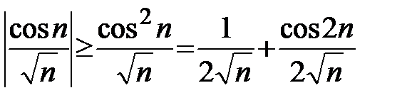
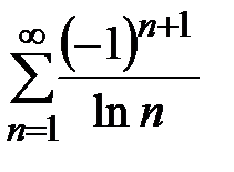
Пример 23. Рассмотрим ряд . Простейшая оценка не дает информацию о поведении ряда . Покажем, что данный ряд сходится. Положим и , тогда , а последовательность монотонно стремится к нулю при . В силу признака Дирихле данный ряд сходится. Для исследования абсолютной сходимости этого ряда удобно воспользоваться оценкой . Имеем: . Ряд так же, как и исходный ряд, сходится в силу признака Дирихле, а ряд расходится. Следовательно, расходится ряд , а в силу теоремы сравнения и ряд . Итак, ряд сходится условно.
Пример 24. Рассмотрим ряд . Простейшая оценка не дает информации о поведении ряда . Покажем, что данный ряд сходится. Положим и . Условная сходимость ряда установлена в предыдущем примере. Так как последовательность монотонна и ограничена, , то в силу признака Абеля данный ряд сходится. Расходимость ряда следует из неравенства и расходимости ряда .
Итак, ряд сходится условно.
|