Студопедия

Главная страница Случайная страница

КАТЕГОРИИ:

АвтомобилиАстрономияБиологияГеографияДом и садДругие языкиДругоеИнформатикаИсторияКультураЛитератураЛогикаМатематикаМедицинаМеталлургияМеханикаОбразованиеОхрана трудаПедагогикаПолитикаПравоПсихологияРелигияРиторикаСоциологияСпортСтроительствоТехнологияТуризмФизикаФилософияФинансыХимияЧерчениеЭкологияЭкономикаЭлектроника






Аддитивная мера






 

Эта мера предложена в 1928 году американским ученым Хартли, поэтому имеет второе название – мера Хартли. Хартли впервые ввел специальное обозначение для количества информации – I и предложил следующую логарифмическую зависимость между количеством информации и мощностью исходного алфавита:

I = l log h,

где I – количество информации, содержащейся в сообщении;

l – длина сообщения;

h – мощность исходного алфавита.

При исходном алфавите {0, 1}; l = 1; h = 2 и основании логарифма, равном 2, имеем

I = 1*log22 = 1.

 

Данная формула даёт аналитическое определение бита (BIT - BI nary digi T) по Хартли: это количество информации, которое содержится в двоичной цифре.

Единицей измерения информации в аддитивной мере является бит.

 

Пример 1. Рассчитать количество информации, которое содержится в шестнадцатеричном и двоичном представлении ASCII-кода для числа 1.

В соответствии с таблицей ASCII-кодов имеем: шестнадцатеричное представление числа 1 – 31, двоичное представление числа 1 – 00110001.

Тогда по формуле Хартли получаем:

для шестнадцатеричного представления I = 2log216 = 8 бит;

для двоичного представления I = 8 log22 = 8 бит.

Таким образом, разные представления ASCII-кода для одного символа содержат одинаковое количество информации, измеренной аддитивной мерой.

Статистический подход к измерению информации

 

В 30-х годах ХХ века американский ученый Клод Шеннон предложил связать количество информации, которое несет в себе некоторое сообщение, с вероятностью получения этого сообщения.

Вероятность p – количественная априорная (т.е. известная до проведения опыта) характеристика одного из исходов (событий) некоторого опыта. Измеряется в пределах от 0 до 1. Если заранее известны все исходы опыта, сумма их вероятностей равна 1, а сами исходы составляют полную группу событий. Если все исходы могут свершиться с одинаковой долей вероятности, они называются равновероятными.

Например, пусть опыт состоит в сдаче студентом экзамена по информатике. Очевидно, у этого опыта всего 4 исхода (по количеству возможных оценок, которые студент может получить на экзамене). Тогда эти исходы составляют полную группу событий, т.е. сумма их вероятностей равна 1. Если студент учился хорошо в течение семестра, значения вероятностей всех исходов могут быть такими:

p (5) = 0.5; p (4) = 0.3; p (3) = 0.1; p (2) = 0.1, где запись p (j) означает вероятность исхода, когда получена оценка j (j = {2, 3, 4, 5}).

Если студент учился плохо, можно заранее оценить возможные исходы сдачи экзамена, т.е. задать вероятности исходов, например, следующим образом:

p (5) = 0.1; p (4) = 0.2; p (3) = 0.4; p (2) = 0.3.

В обоих случаях выполняется условие:

где n – число исходов опыта,

i – номер одного из исходов.

Пусть можно получить n сообщений по результатам некоторого опыта (т.е. у опыта есть n исходов), причем известны вероятности получения каждого сообщения (исхода) - p i. Тогда в соответствии с идеей Шеннона, количество информации I в сообщении i определяется по формуле:

I = -log2 p i,

где p i – вероятность i-го сообщения (исхода).

 

Пример 1. Определить количество информации, содержащейся в сообщении о результате сдачи экзамена для студента-хорошиста.

Пусть I (j) – количество информации в сообщении о получении оценки j. В соответствии с формулой Шеннона имеем:

I (5) = -log2 0, 5 = 1,

I (4) = -log2 0, 3 = 1, 74,

I (3) = -log2 0, 1 = 3, 32,

I (2) = -log2 0, 1 = 3, 32.

 

Пример 2. Определить количество информации, содержащейся в сообщении о результате сдачи экзамена для нерадивого студента:

I (5) = -log2 0, 1 = 3, 32,

I (4) = -log2 0, 2 = 2, 32,

I (3) = -log2 0, 4 = 1, 32,

I (2) = -log2 0, 3 = 1, 74.

 

Таким образом, количество получаемой с сообщением информации тем больше, чем неожиданнее данное сообщение. Этот тезис использован при эффективном кодировании кодами переменной длины (т.е. имеющими разную геометрическую меру): исходные символы, имеющие большую частоту (или вероятность), имеют код меньшей длины, т.е. несут меньше информации в геометрической мере, и наоборот.

Формула Шеннона позволяет определять также размер двоичного эффективного кода, требуемого для представления того или иного сообщения, имеющего определенную вероятность появления.

 

Пример 3. Есть 4 сообщения: a, b, c, d с вероятностями, соответственно, р(a) = 0, 5; р(b) = 0, 25; р(c) = 0, 125; р(d) = 0, 125. Определить число двоичных разрядов, требуемых для кодирования каждого их четырех сообщений.

В соответствии с формулой Шеннона имеем:

I (a) = -log20, 5 = 2,

I (b) = -log20, 25 = 2,

I (c) = -log20, 125 = 3,

I (d) = -log20, 125 = 3.

Судя по примеру 1 из раздела эффективного кодирования, эффективное кодирование методом Шеннона-Фано сформировало для заданных сообщений (символов) коды полученной длины.

 

Пример 4. Определить размеры кодовых комбинаций для эффективного кодирования сообщений из примера 1.

Для вещественных значений объемов информации (что произошло в примере 1) в целях определения требуемого числа двоичных разрядов полученные значения округляются до целых по традиционным правилам арифметики. Тогда имеем требуемое число двоичных разрядов:

для сообщения об оценке 5 – 1,

для сообщения об оценке 4 – 2,

для сообщения об оценке 3 – 3,

для сообщения об оценке 2 – 3.

 

Проверим результат, построив эффективный код для сообщений об исходах экзамена методом Шеннона-Фано. Исходные данные – из примера 1. Имеем:

 

Исходные символы Вероятности Коды
Сообщение об оценке 5 0, 5  
Сообщение об оценке 4 0, 25  
Сообщение об оценке 3 0, 125  
Сообщение об оценке 2 0, 125  

 

Таким образом, задача решена верно.

 

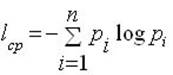
Помимо информационной оценки одного сообщения, Шеннон предложил количественную информационную оценку всех сообщений, которые можно получить по результатам проведения некоторого опыта. Так, среднее количество информации I ср, получаемой со всеми n сообщениями, определяется по формуле:

где pi вероятность i-го сообщения.

 

Пример 5. Определить среднее количество информации, получаемое студентом-хорошистом, по всем результатам сдачи экзамена.

В соответствии с приведенной формулой имеем:

I ср = - (0, 5*log20, 5 + 0, 3*log20, 3 + 0, 1*log20, 1 + 0, 1*log20, 1) = 1, 67.

 

Пример 6. Определить среднее количество информации, получаемое нерадивым студентом, по всем результатам сдачи экзамена.

В соответствии с приведенной формулой имеем:

I ср = - (0, 1*log20, 1 + 0, 2*log20, 2 + 0, 4*log20, 4 + 0, 3*log20, 3) = 1, 73.

 

Большее количество информации, получаемое во втором случае, объясняется большей непредсказуемостью результатов: в самом деле, у хорошиста два исхода равновероятны.

 

Пусть у опыта два равновероятных исхода, составляющих полную группу событий, т.е. p 1 = p 2 = 0, 5. Тогда имеем в соответствии с формулой для расчета I ср:

I ср = -(0, 5*log20, 5 + 0, 5*log20, 5) = 1.

 

Эта формула есть аналитическое определение бита по Шеннону: это среднее количество информации, которое содержится в двух равновероятных исходах некоторого опыта, составляющих полную группу событий.

Единица измерения информации при статистическом подходе – бит.

 

На практике часто вместо вероятностей используются частоты исходов. Это возможно, если опыты проводились ранее и существует определенная статистика их исходов. Так, строго говоря, в построении эффективных кодов участвуют не частоты символов, а их вероятности.

 

Семантический подход к измерению информации

 

Учитывает целесообразность и полезность информации. Применяется при оценке эффективности получаемой информации и ее соответствия реальности.

В рамках этого подхода рассмотрим такие меры, как целесообразность, полезность (учитывают прагматику информации) и истинность информации (учитывает семантику информации).


Поделиться с друзьями:

mylektsii.su - Мои Лекции - 2015-2026 год. (2.546 сек.)Все материалы представленные на сайте исключительно с целью ознакомления читателями и не преследуют коммерческих целей или нарушение авторских прав Пожаловаться на материал