Студопедия

Главная страница Случайная страница

КАТЕГОРИИ:

АвтомобилиАстрономияБиологияГеографияДом и садДругие языкиДругоеИнформатикаИсторияКультураЛитератураЛогикаМатематикаМедицинаМеталлургияМеханикаОбразованиеОхрана трудаПедагогикаПолитикаПравоПсихологияРелигияРиторикаСоциологияСпортСтроительствоТехнологияТуризмФизикаФилософияФинансыХимияЧерчениеЭкологияЭкономикаЭлектроника






Схемы водоснабжения городов






Города характеризуются значительной численностью населения, наличием в них промышленных и других объектов и требуют, как правило, большого количества воды. Поэтому городские водопроводы относятся к категории крупных объектов.

В современных городских водопроводах расход воды на технические нужды промышленности весьма значителен и составляет в среднем около 40 % от общего количества воды, подаваемой в сеть городских водопроводов. Причем, воду из объединенного хозяйственно-противопожарного водопровода города может получать группа предприятий, каждое из которых потребляет относительно небольшое количество воды и не требует воды питьевого качества, но вследствие их разбросанности по территории города оказывается все же более целесообразным снабжать их очищенной водой, чем устраивать для них самостоятельные (или групповые) производственные водопроводы неочищенной воды.

Выбор источника водоснабжения в каждом отдельном случае обосновывается соответствующими техническими и экономическими показателями и во внимание принимается, наряду с мощностью источника, качество воды в нем, расстояние от снабжаемого водой объекта и т.п.

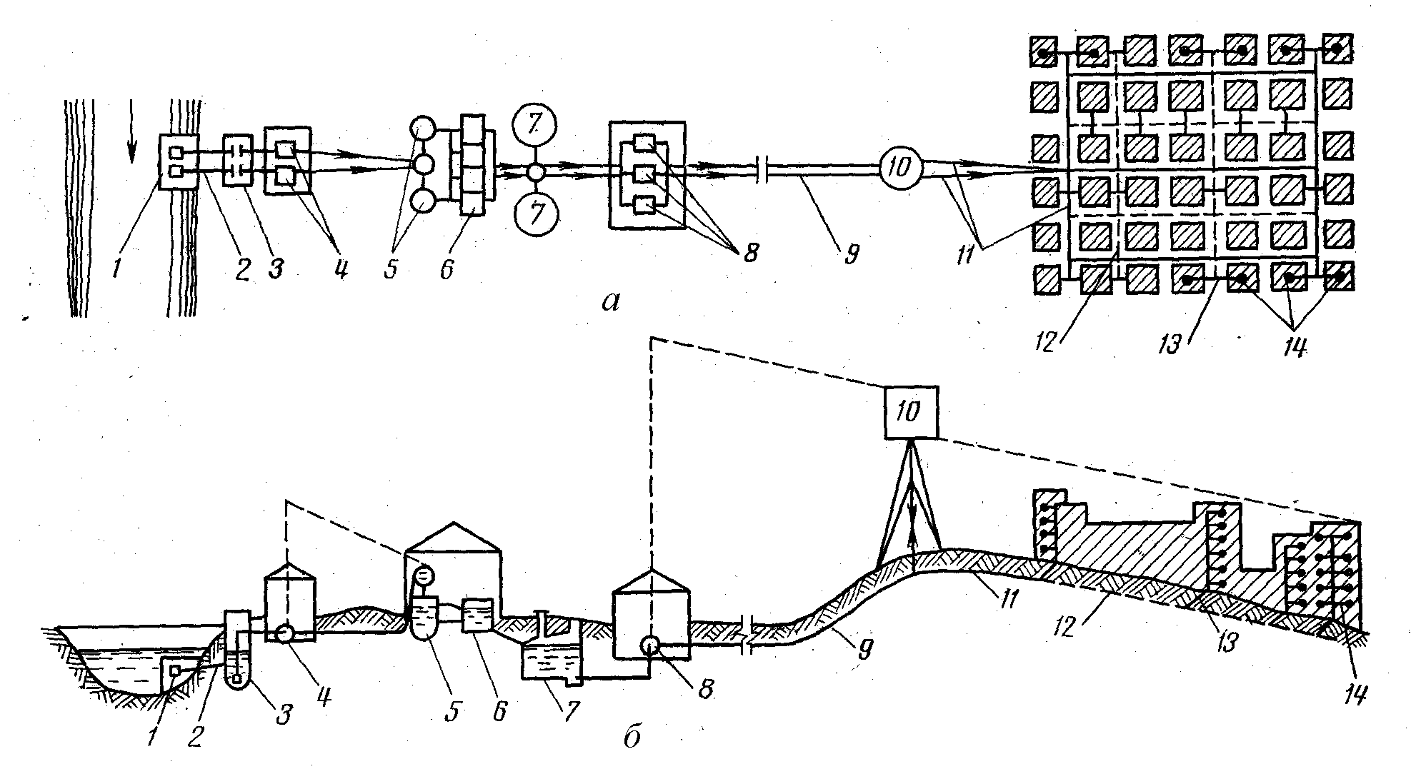
На рисунке 1.1 приведена общая схема водоснабжения города. Речная вода поступает в водоприемник 1 и по самотечным трубам 2 перетекает в береговой колодец 3, а из него насосами I подъема 4 подается в отстойники 5 и далее на фильтры 6 для очистки от загрязнений и обеззараживания. Пройдя очистную станцию, вода поступает в запасные резервуары чистой воды 7, из которых она насосами II подъема 8 подается по водоводам 9 в напорно-регулирующее сооружение 10 (наземный или подземный резервуар, размещенный на естественном возвышении, водонапорную башню или пневматическую установку), а также магистральные трубы 11 водопроводной сети города, по которым вода транспортируется в различные районы города и по сети распределительных труб 12 и домовым вводам 13 − к отдельным потребителям 14.

Систему водоснабжения при изучении обычно разделяют на две части: наружную и внутреннюю. К наружному водопроводу относят все сооружения для забора, очистки и распределения воды водопроводной сетью. Внутренние водопроводы забирают воду от наружной сети и подают ее к потребителям.

Рис. 1.1. Общая схема водоснабжения города:

а – план; б – разрез

Работа очистных сооружений наиболее эффективна при равномерном поступлении воды. Поэтому воду из источника насосная станция подъема I должна подавать более или менее равномерно по часам суток. В то же время режим работы насосной станции должен строиться с учетом водопотребления, которое не является постоянным: оно наибольшее в дневное время и наименьшее ночью. Регулирование работы насосных станций подъемов I и II достигается благодаря устройству запасных резервуаров чистой воды.

Устройство водонапорной башни или других напорно-регулирующих сооружений часто бывает необходимо в том случае, если наблюдается значительная неравномерность потребления воды городом по часам суток и подачи ее насосами подъема II. Поэтому в те часы, когда насосы подают воды больше, чем ее расходуется, излишек воды поступает в водонапорную башню. В те часы, когда воды расходуется больше, чем подается насосами, вода, напротив, идет из башни. Кроме того, напорно-регу-лирующие сооружения предназначаются для хранения запаса воды на тушение пожара.

На рисунке 1.1 водонапорная башня расположена в начале водопроводной сети. Предположим, что здесь имеется естественная возвышенность. Но могут быть случаи, когда такая возвышенность находится в другом месте города, даже в противоположной стороне от водовода. В последнем случае водонапорная башня называется контррезервуаром.

Режим работы системы при таком расположении башни будет отличаться от режима работы системы с башней в начале сети.

В системах с контррезервуаром в часы максимального водоразбора вода в сеть будет подаваться с двух противоположных сторон: от насосов Q н и от башни Q б (рис. 1.2). Зная Q н и Q б, а также характер отбора воды из сети, можно наметить районы питания сети от насосов и башни. У границы этих районов (линия а - а) будет происходить встреча потоков воды, идущих от башни и насосов. Подача максимального расхода воды из двух противоположных точек позволяет уменьшать диаметры водопроводных труб.

Рис. 1.2. Схема водопровода с контррезервуаром

Неравномерность водопотребления по часам суток в крупных городах сглаживается, что позволяет обходиться без напорно-регулирующих сооружений. В этом случае воду подают насосами непосредственно в трубы распределительной сети, а для хранения пожарного запаса воды устраивают резервуары, из которых для тушения пожара вода забирается насосами.

Устройство пневматических установок в городах может применяться для систем местного водоснабжения при суточном расходе воды до 300 м3, что касается водонапорных башен, то их строительство бывает оправдано при суточном расходе до 60 000 м3.

При наличии источника воды, по качеству удовлетворяющей требования потребителей, необходимость в постройке очистных сооружений отпадает. В этих случаях вода из источника подается погружными насосами непосредственно по водоводам в магистральные сети, а по ним – к потребителям. Примером такого водоснабжения может служить водозабор из артезианских скважин (рис. 1.3). Если подача воды осуществляется из подземных водоисточников, то, как правило, имеется не одна, а несколько артезианских скважин, подающих воду в запасной резервуар (рис. 1.4).

 

Рис. 1.3. Схема водопровода с использованием подземных вод:

1 − артезианская скважина; 2 − запасной резервуар;

3 − НС-II; 4 − водонапорная башня; 5 − водопроводная сеть

При использовании подземных вод, а также при водоснабжении круп-ных городов может быть не один, а несколько источников водоснабжения, расположенных с разных сторон населенного пункта. Такое водоснабжение называют водоснабжением с двусторонним, трехсторонним или с многосторонним питанием, что позволяет получить более равномерное распределение по сети и поступление воды к потребителям.

Рис. 1.4. Схема водопровода с трехсторонним питанием:

1 – артезианские скважины; 2 − запасные резервуары; 3 − насосные станции подъема II;
4 − водопроводная сеть города; ЗСО – зона санитарной охраны

Существуют смешанные системы с поверхностными и подземными водоисточниками. В этом случае подземные водоисточники могут рассматриваться как аварийные в условиях особого периода.

Все рассмотренные выше системы относятся к напорным. Для водоснабжения городов может применяться самотечная система (рис. 1.5), если водоисточник находится на достаточной высоте для создания необходимого напора в сети без помощи насосов. Вода из водоисточника после водоочистных сооружений по водоводу поступает непосредственно в распределительную сеть или сначала в разгрузочный резервуар, необходимый для снижения избыточного напора. Самотечные системы характеризуются меньшими капитальными и эксплуатационными затратами. Они надежнее напорных, так как не нуждаются в электроснабжении основного оборудования.

Рис. 1.5. Схема самотечного водопровода:

1 − водоприемник; 2 − самотечные сооружения; 3 − береговой колодец и
очистные сооружения; 4 − разгрузочный колодец; 5 − разгрузочный резервуар;

6 − водопровод; 7 − водопроводная сеть

Зонные системы водоснабжения, то есть системы, разделенные на отдельные зоны (участки) с самостоятельным питанием водой, устраивают при значительной разности отметок снабжаемой территории, большой её протяженности, а также при значительной разнице в напорах (например, микрорайоны города с разной этажностью застройки). Зонирование систем может быть обусловлено как техническими, так и экономическими соображениями. Зонирование позволяет снизить чрезмерно высокие напоры и уменьшить мощность, затрачиваемую на подъем воды, сократить расходы воды на утечки. Разделение на зоны (при значительной разности отметок или протяженности сети) производят, исходя из следующих условий: в наиболее высоко (или далеко) расположенной точке сети должен быть обеспечен необходимый свободный напор, а в её нижней точке (или начальной) напор не должен превышать 60 м.

По типам зонирования водопроводы бывают горизонтальными и вертикальными с последовательным или параллельным зонированием. При последовательном зонировании насосная станция каждой зоны подает воду в количестве, необходимом для всех вышележащих зон, но под напором, необходимым только для данной зоны. Насосы верхней зоны могут брать воду или непосредственно из сети нижней зоны (рис. 1.6, а), или из промежуточного резервуара (рис. 1.6, б). Резервуар может служить одновременно источником питания насосов верхней зоны и контррезервуаром для нижней зоны. Обычно резервуар располагается выше границы зон на отметках, обеспечивающих необходимые напоры в верхних точках сети нижней зоны.

Рис. 1.6. Схема последовательного зонного водоснабжения

При параллельной системе зонирования вода подается в сеть каждой зоны отдельными группами насосов, установленными в общей насосной станции, по отдельным водоводам. Каждая группа насосов подает количество воды, требуемое только для обслуживаемой ими зоны, на высоту, обеспечивающую свободные напоры в этих зонах. При этой системе в пределах сети каждой зоны также достигается возможность снижения давления. Максимальные давления будут наблюдаться в водоводах верхней зоны от насосов до сети.

Горизонтальный тип зонного водопровода применяют для больших по протяженности территорий (более 7− 10 км) в городах со сравнительно ровным рельефом.

Вертикальный тип зонирования применяют при больших разностях отметок в связи со слишком большими напорами в нижних районах сети. Зонирование сети осуществляется таким образом, чтобы на нижней границе каждого района давление не превышало допустимого предела.

Вертикальное зонирование может быть произведено как по параллельной, так и по последовательной схеме. Выбор той или иной схемы водоснабжения производится на основании технико-экономических расчетов для различных вариантов. По техническим соображениям число зон определяют исходя из необходимости обеспечить в сети напоры, допускаемые техническими условиями эксплуатации водопровода.

Расчетная высота зоны, то есть разность отметок местности в пределах зоны не должна превышать величины:

Z = (Z max − Z min) = H max − H cв − h max.

Таким образом, задаваясь величиной Н mах, зная отметки местности в пределах территории города и принимая приближенно возможную величину потерь напора в сети, можно сделать вывод о том, является ли зонирование необходимым. Зонирование приводит также к уменьшению затрат мощности на прокачку воды, то есть к снижению эксплуатационных затрат. Например, при последовательном зонировании затраты мощности для двух одинаковых зон

Ne = Q r g H/ 2 + r gQ/ 2 H/ 2 = 3 / 4 QH r g,

а при отсутствии зонирования

Ne = QH r g,

то есть полезная мощность уменьшается на 25 %.

При параллельном зонировании

Ne = Q 1 H 1 r g + Q 2 H 2r g = Q/ 2 h r g/ 2 + Q/ 2 h r g/ 2 = 3 / 4 QH r g,

то есть уменьшение мощности также на 25 %. Для n равных зон (с равномерными подъёмами местности, отдачей воды и гидравлическим уклоном)

.

Наряду с централизованными водопроводами в настоящее время в городах большое распространение имеют системы местного водоснабжения. Эти системы имеют управляемые вручную или автоматически насосные установки относительно небольшой производительности (Q < 150 м3/ч). Такие установки применяются преимущественно для повышения напора в водопроводах многоэтажных зданий, а также зданий средней этажности или их группы, расположенных в районах, где напор в наружной водопроводной сети является недостаточным, например, в районах с неблагоприятным рельефом местности или в отдаленных частях города.

Объединенные хозяйственно-противопожарные водопроводы городов бывают в большинстве случаев низкого давления. В небольших городах подача пожарных расходов воды обеспечивается включением дополнительных насосов подъема II, а в крупных городах они по своей величине составляют незначительную часть от хозяйственно-питьевых расходов, поэтому практически не оказывают влияния на режим работы насосной станции подъема II.

1.3. Особенности схем противопожарного водоснабжения

промышленных предприятий

Задачей системы водоснабжения промышленного предприятия является обеспечение его водой для производственных, хозяйственно-пить-евых и противопожарных нужд.

Если при промышленном предприятии имеется рабочий поселок или несколько предприятий, расположенных близко друг к другу, то, как правило, они обслуживаются одной системой хозяйственно-противопожар-ного водоснабжения. Применяемые в подобных случаях схемы хозяйственно-противопожарного водоснабжения принципиально ничем не отличаются от рассмотренных схем для города.

В промышленных районах иногда устраивают районные системы хозяйственно-противопожарного водоснабжения, обслуживающие ряд промышленных предприятий и населенных пунктов. В таких системах вместо отдельных водопроводных сооружений для каждого предприятия устраивают общие сооружения: водозаборы, насосные и очистные станции, водоводы и др.

На промышленных предприятиях возможно применение следующих основных схем производственного водоснабжения: прямоточной; оборотной с охлаждением воды в градирнях, брызгальных бассейнах, прудах-охладителях; с последовательным использованием воды.

При прямоточном водоснабжении (рис. 1.7) насосная станция 2, расположенная вблизи водозаборного сооружения 1, подает воду для производственных целей в цехи 7 по сети 5. Отработанная вода поступает по канализационной сети 6 в тот же водоем без очистки (если она не загрязнена) или при необходимости после очистки ее в очистных сооружениях 8. В случае необходимости подачи воды для производственных нужд под различным давлением на насосной станции устанавливается несколько групп насосов, питающих обособленные сети. Для хозяйственно-противопожарных нужд поселка 9 и цехов предприятия 7 вода подается в самостоятельную сеть 4 специальными насосами. Предварительно вода очищается в очистных сооружении-ях 3.

Рис. 1.7. Схема прямоточного водоснабжения

промышленного предприятия

При оборотном водоснабжении использованная потребителем вода не сбрасывается в водоем, как при прямоточном водоснабжении, а вновь подается потребителям после обработки. Для пополнения потерь воды (в охладительных сооружениях при испарении, при утечке и др.) в оборотный цикл добавляют свежую воду из источника.

Схема оборотного водоснабжения показана на рисунке 1.8. Насосами 5 вода после охлаждения на сооружении 4 подается по трубопроводам 6 к производственным агрегатам 7. Нагретая вода поступает в трубопроводы 8 и отводится на охлаждающие сооружения 4 (градирни, брызгальные бассейны, охладительные пруды). Добавление свежей воды из источника через водоприемник 1 производится насосами 2 по водоводам 3. Количество свежей воды в таких системах составляет обычно незначительную часть (3− 6 %) от общего количества воды.

Рис. 1.8. Схема оборотного водоснабжения

Оборотное водоснабжение экономически выгодно, когда промышленное предприятие расположено на значительном расстоянии от источника водоснабжения или на значительном возвышении по отношению к нему. Также выгодно устраивать оборотную систему водоснабжения, если расход воды в близлежащем водоеме мал, а потребности в производственной воде велики, если вода в процессе ее использования загрязняется настолько, что перед выпуском в водоем требуется весьма сложная и дорогостоящая очистка, между тем как повторное использование может быть допустимым после простой и дешевой очистки.

При последовательном водоснабжении вода, использованная одним потребителем, может быть использована во втором, а иногда и в третьем технологическом цикле промышленного предприятия. Вода, прошедшая несколько циклов, сбрасывается затем в канализационную сеть для обработки в очистных сооружениях.

Последовательное водоснабжение занимает как бы промежуточное положение между прямоточным и оборотным. Так, количество воды, забираемой из источника, при последовательном водоснабжении меньше, чем при прямоточном, но больше, чем при оборотном.

На одном и том же предприятии могут быть различные системы, обслуживающие разные цеха. Система производственного водопровода в целом для всего предприятия в большинстве случаев бывает смешанной (комбинированной).

Хозяйственно-питьевой водопровод промышленного предприятия может питаться водой от общего городского водопровода, районного или, при их отсутствии, принимаются схемы с самостоятельными источниками водоснабжения. Наиболее целесообразным оказывается использование в качестве водоисточников артезианских скважин, так как при этом обычно не требуется очищать и обеззараживать воду.

Противопожарный водопровод объединяется, как правило, с хозяйственно-питьевым, так как хозяйственно-питьевой водопровод охватывает всех потребителей, наиболее разветвлен, имеет наибольшую протяжённость и к нему предъявляются менее жесткие требования по поддержанию постоянного напора, чем в производственной сети.

Схема подключения сети предприятия к городской сети (рис. 1.9) зависит от соотношения гарантированного Н г и требуемого напоров в условиях хозяйственно-питьевого водопотребления Н тр.хоз и в условиях пожаротушения Н тр.пож. Если Н тр.хоз < Н г > Н тр.пож, то подключение сети может быть выполнено от двух разных точек кольцевой сети города без насосов-повысителей (рис. 1.9, а).

Если Н тр.хоз < Н г < Н тр.пож, то в обычное время заводская сеть питается от городской сети (рис. 1.9, б), а при пожаре включается пожарный насос на насосной станции 1, забирая воду на пожаротушение из резервуара 2. Обратные клапаны 3 предотвращают поступление воды из заводской сети в городскую и работу насосной станции на себя.

Если Н тр.хоз > Н г < Н тр.пож, то (рис. 1.9, в) устраивается повысительная насосная станция 1, обеспечивающая работу сети предприятия в обычных условиях и при пожаре. В этом случае в резервуаре 2 должен содержаться не только неприкосновенный запас воды на период пожаротушения, но и регулируемый объем воды, учитывающий неравномерность поступления воды из городской сети и потребление предприятия.

На промышленных объектах водопроводы противопожарного назначения могут устраиваться как низкого, так и высокого давления. Противопожарные водопроводы низкого давления можно устраивать только при наличии непосредственно на объекте или в радиусе 3 км от него пожарного депо, дежурные подразделения которого могут подать с учетом наличной пожарной техники огнетушащие средства с необходимым для целей тушения пожара расходом. В тех случаях, когда пожарное депо удалено от объекта на расстояние более 3 км или производительность средств тушения пожара недостаточна, необходимо предусматривать противопожарные водопроводы высокого давления.

а) H тр.хоз< H г > H тр.пож

б) H тр.хоз< H г < H тр.пож

в) H тр.хоз> H г < H тр.пож

Рис. 1.9. Схемы подачи воды из городского водопровода

в объединенную сеть предприятия

Однако в тех случаях, когда пожарное депо располагается ближе 3 км, часто по причине повышенной пожарной опасности объекта рекомендуется устраивать противопожарные водопроводы высокого давления. При возникновении пожара успех его тушения во многом зависит от времени начала тушения пожара.

В противопожарных водопроводах высокого давления при наличии водонапорных башен предусматривают их отключение в случае пожара, чтобы избежать снижения давления вследствие излива воды в бак водонапорной башни.

Часто противопожарные водопроводы высокого давления проектируются самостоятельными. Особенно целесообразно устройство отдельных противопожарных водопроводов при наличии поблизости поверхностного водоисточника, так как для целей пожаротушения можно использовать воду без какой-либо очистки. В то же время наличие только одной насосной станции и отсутствие очистных сооружений значительно снижают стоимость всей системы водоснабжения. Для повышения эффективности тушения пожаров на противопожарных водопроводных сетях высокого давления в некоторых случаях предусматривается установка стационарных лафетных стволов.

Если хозяйственно-противопожарный водопровод по тем или иным причинам не обеспечивает возросших потребностей в воде, то иногда устанавливают пожарные гидранты на производственном водопроводе. Однако такое решение, когда пожарные гидранты для пожаротушения одних зданий установлены на хозяйственной сети, а для тушения других − на производственной, нельзя считать удовлетворительным, поскольку это усложняет эксплуатацию гидрантов и снижает надёжность их работы.

При оборудовании отдельных цехов предприятия спринклерными или дренчерными установками пожаротушения хозяйственно-противопожар-ный водопровод обслуживает и их.

Для нужд пожаротушения могут быть использованы также пруды-охладители, брызгальные бассейны и градирни, вода в которых не замерзает даже при низкой температуре. В этом случае необходимо предусматривать подъезды для забора воды передвижными насосами, однако следует помнить, что при заборе подогретой воды центробежными насосами уменьшается высота всасывания, а при температуре 60 °С и выше забор воды практически становится невозможным.

1.4. Схемы противопожарного водоснабжения малых населенных мест

В малых населённых пунктах, которые располагаются главным образом в сельской местности и характеризуются относительно небольшим водопотреблением, в целях снижения эксплуатационных расходов применяются более простые, дешевые и в то же время эффективные схемы водоснабжения.

Как правило, для малых населенных пунктов должен устраиваться объединенный водопровод, обеспечивающий хозяйственные, питьевые, производственные и противопожарные нужды. Объемы водопотребления в таких системах колеблются от нескольких десятков до нескольких тысяч кубических метров в сутки.

Характерной особенностью водоснабжения в сельской местности является относительно малая величина хозяйственно-питьевых расходов по сравнению с расходами, необходимыми для тушения пожара. В зависимости от числа жителей и степени благоустройства зданий в населенном пункте противопожарные расходы могут оказаться равными или даже превосходить хозяйственно-питьевые. Следовательно, водопровод должен обеспечивать во время пожара подачу воды с расходом, значительно большим, чем в обычное время. Создание резервов водоснабжения на случай тушения пожаров (увеличение мощности насосных станций, емкости запасных резервуаров, увеличение диаметров труб и т.д.) ведет к удорожанию водопровода. Поэтому нередки случаи, когда устраивается только хозяйственно-производственный водопровод, а воду на противопожарные нужды забирают из противопожарных водоемов и резервуаров, располагаемых параллельно с водопроводом, который в этом случае должен обеспечивать пополнение противопожарных запасов воды.

Наибольшее распространение в сельской местности получили противопожарные водопроводы низкого давления, однако в соответствии с нормативными требованиями в сельских населенных пунктах при числе жителей до 5000 человек должны устраиваться более эффективные объединенные водопроводы высокого давления.

Для хозяйственно-противопожарного водопровода в малых населенных пунктах чаще всего устраиваются системы местного водоснабжения, в которых используются подземные воды, не требующие очистки, однако в случае очень большой глубины залегания подземных вод или повышенной их минерализации допускается использование открытых источников.

Широко распространенной схемой сельских водопроводов является схема с забором воды из местных источников с помощью шахтных колодцев или скважин и прямой подачей в водопроводную сеть при параллельном подсоединении водонапорной башни. Чаще всего применяют артезианские насосы типа АТН, НА или так называемые погружные глубоководные насосы типа АП, АЭНП с приводом от погружного электродвигателя. Применение погружных насосов позволяет полностью отказаться или свести к минимуму размеры наземных помещений над скважиной.

В качестве водонапорных сооружений в сельских водопроводах применяются металлические водонапорные башни-колонны сборно-блочной конструкции и башни из сборного железобетона. Башни-колонны выпускаются высотой до дна бака 8 и 10 м с вместимостью 15 и 25 м3. В металлической опоре башни также содержится вода 14 или 25 м3. Для использования этого объема при пожаре можно рекомендовать некоторое расширение колодца при башне и установку в нем насоса-повысителя, что во многих случаях позволяет создавать без существенных затрат сельские противопожарные водопроводы высокого давления.

Башни из сборного железобетона имеют высоту 12 и 16 м с опорами из трех стоек. Баки этих башен имеют емкость 25− 30 м3.

Для отбора воды на противопожарные нужды на водопроводной сети устанавливают пожарные гидранты, для отбора воды на хозяйственные нужды – водоразборные колонки. В целях снижения строительных и эксплуатационных затрат ВНИИПО МВД России разработал гидрант-колонку, которая предназначена для отбора воды на хозяйственно-питьевые и противопожарные нужды.

Население, проживающее в поселке, застроенном одноэтажными жилыми зданиями, воду получает, как правило, из водоразборных колонок, к другим жилым, производственным, административным и культурно-бытовым зданиям воду подают по вводам.

В ряде сельскохозяйственных районов нашей страны подземные водоисточники сильно минерализованы, а поверхностные местные источники отсутствуют. В таких случаях для водоснабжения воду забирают из многоводных источников, расположенных иногда на значительных расстояниях. Так как подвод воды из отдаленных источников стоит очень дорого, целесообразно в этих случаях объединять ряд населенных пунктов и устраивать групповые системы водоснабжения.

Групповая сеть рассчитана на равномерную подачу воды в течение суток. Для регулирования водопотребления предусмотрены резервуары при насосных станциях перекачек и резервуары при внутрипоселковых системах. В этих резервуарах хранятся также аварийные и пожарные запасы воды.

Системы групповых водопроводов оснащены электрооборудованием, средствами автоматизации, телемеханизации и связи, которые обеспечивают автоматизацию работы основных агрегатов, аварийную сигнализацию, надежную связь между всеми объектами водопровода и между ремонтными бригадами.

Вследствие больших давлений в магистральных трубопроводах их прямое подключение к внутрипоселковым системам невозможно. Рассмотрим некоторые схемы привязки поселковых водопроводов к водоводам групповых систем.

Схемы 1 и 2, изображенные на рисунке 1.10, предназначаются для поселковых хозяйственно-противопожарных водопроводов как высокого, так и низкого давления, схема 3 − только для водопровода низкого давления.

Схема 1 Схема 2 Схема 3
По схеме 1 вода из группового водопровода 1 поступает в приемные резервуары 4, из которых забирается насосами поселковой станции 5 и подается в разводящую сеть поселка 6. Насосные агрегаты работают круглосуточно, неравномерность водопотребления регулируется ступенчатой работой насосов. Наполнение резервуаров и сохранение неприкосновенного запаса воды в них достигается автоматическим открыванием или закрыванием задвижки с электроприводом 3, установленной на подающем трубопроводе 2 в помещении насосной станции. В том случае, если насосная станция оборудуется и пневматической установкой, работа хозяйственных насосов, подающих воду в разводящую сеть поселка, происходит с периодическими остановками. При наполненном водовоздушном баке происходит отключение насосов, при опорожнении − включение.

Рис. 1.10. Схемы подключения систем водоснабжения

к водоводам групповых водопроводов

По схеме 2 вода из группового водопровода 1 поступает одновременно в запасные резервуары 4 и в бак водонапорной башни 7. Работа водонапорной башни, как правило, ограничивается периодами минимального водопотребления, когда расчетная подача воды из группового водопровода равна или больше расхода воды по поселку. С увеличением водопотребления вода в разводящую сеть 6 поселка подается насосной станцией 5. Как и в предыдущей схеме, отключение резервуаров и водонапорной башни от группового водопровода осуществляется автоматической задвижкой 3, установленной на подводящем трубопроводе 2. При включении пожарного насоса водонапорная башня 7 автоматически отключается от поселковой сети. Для этой цели на водоводе, идущем от башни, устанавливается обратный клапан 8.

По схеме 3 вода из группового водопровода 1 по подающему трубопроводу 2 поступает в бак водонапорной башни 7, а из нее в разводящую сеть поселка 6. Башня оборудуется подающим 8 и разводящим 9 стояками. На подающем трубопроводе устанавливаются задвижка 3 с электроприводом, автоматически открывающаяся или закрывающаяся при наполнении или опорожнении бака до нижнего и верхнего расчётных уровней воды, водомер 4 и обратный клапан 5.

В том случае, если в населённом пункте пожарный водопровод отсутствует или не полностью обеспечивает возросшие нужды в воде, необходимо для целей пожаротушения использовать искусственные (пруды, колодцы, резервуары, водохранилища) и естественные (ключи, реки и озера) водоёмы. Для противопожарных целей в сельской местности могут быть использованы также хозяйственные и производственные водопроводы, оросительные системы и др.

 



Поделиться с друзьями:

mylektsii.su - Мои Лекции - 2015-2026 год. (1.368 сек.)Все материалы представленные на сайте исключительно с целью ознакомления читателями и не преследуют коммерческих целей или нарушение авторских прав Пожаловаться на материал