Студопедия

Главная страница Случайная страница

КАТЕГОРИИ:

АвтомобилиАстрономияБиологияГеографияДом и садДругие языкиДругоеИнформатикаИсторияКультураЛитератураЛогикаМатематикаМедицинаМеталлургияМеханикаОбразованиеОхрана трудаПедагогикаПолитикаПравоПсихологияРелигияРиторикаСоциологияСпортСтроительствоТехнологияТуризмФизикаФилософияФинансыХимияЧерчениеЭкологияЭкономикаЭлектроника






Расчёт насосно-рукавных систем с ручными стволами






Гидравлический расчёт насосно-рукавных систем сводится к решению следующих основных задач:

1. Определение максимального расхода через рукавную систему, геометрические параметры которой известны (т.е. известны диаметры рукавов и насадков стволов, высота превышения стволов по вертикали над осью насоса), известна также характеристика насоса.

2. Определение напора насоса, если заданы расчетный расход воды (напор перед стволом), вид насосно-рукавной системы, а также диаметр и длина рукавных линий.

3. Определение предельной длины насосно-рукавной системы по расчетному расходу воды и напору насоса.

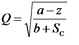
При определении расхода воды Q по заданному напору насоса (задача 1) необходимо учитывать характеристику рукавной системы и характеристику насоса, то есть

, (3.1)

где S c – сопротивление рукавной системы, зависящее от ее вида и диаметра установленных на ней пожарных стволов; z – высота подъема пожарных стволов над осью насоса; H н = a – bQ2 – характеристика используемого насоса.

Тогда максимальный расчетный расход воды, подаваемый насосно-рукавной системой, составит:

. (3.2)

Для рукавной системы (см. рис. 3.1, а), состоящей из одного рукава, сопротивление вычисляют по формуле

S с = S р + S ст, (3.3)

где S р – сопротивление рукава заданного диаметра длиной L = 20 м; S ст – сопротивление насадка пожарного ствола.

При последовательном соединении рукавов (рис. 3.1, б) общее сопротивление системы составит:

S с = S м n м + S р n р + S ст, (3.4)

где S м, S р – соответственно сопротивление одного магистрального и рабочего рукава; n м, n р – количество рукавов в магистральной и рабочей линиях соответственно.

Сопротивление смешанной системы с тремя пожарными стволами, показанной на рисунке 3.1, г, определяется как сумма сопротивлений магистральной и рабочих линий

, (3.5)

где S 1, S 2, , S 3 – сопротивление одного рукава соответственно в первой, второй и третьей линиях; n 1, n 2, n 3 – количество рукавов в линиях; S ст1, S ст2, S ст3 –сопротивление насадков стволов.

Подставляя найденное значение Q (3.2) в характеристику насоса, находим максимальный напор Н н, который может создать насос, работая совместно с данной рукавной системой, то есть рабочая точка насоса будет задана параметрами Q н и Н н.

Для определения требующегося напора насоса в зависимости от расхода воды (задача 2), необходимо располагать всеми параметрами конкретной рукавной системы. В этом случае напор насоса определяется по формуле

Н н = h p + H + z 1 + z 2 + h вc, (3.6)

где h p – потери напора в рукавной системе; H – свободный напор перед стволом; z 1 – высота подъема стволов над осью насоса; z 2 – высота всасывания; h вc – потери напора во всасывающей линии.

В практических расчетах напор насоса определяется по формуле

Н н = S с Q2 + z, (3.7)

где S с – сопротивление рукавной линии, зависящее от вида рукавной системы; Q – расчетный расход воды; z – высота подъема пожарных стволов над осью насоса.

Для примера рассмотрим решение этой задачи при использовании насосно-рукавной системы со смешанным соединением, показанной на рисунке 3.2. Система включает пожарный автонасос, установленный на пожарном гидранте, магистральную рукавную линию из n м стандартных рукавов диаметром d м сопротивлением S м одного рукава, трехходовое рукавное разветвление, расположенное на высоте zA по вертикали относительно оси насоса (потери насоса в разветвлении составляют h A), три рабочие рукавные линии с диаметром рукавов d p1, d p2, d p3 (сопротивление одного стандартного рукава S 1, S 2, S 3 соответственно) по n 1, n 2, n 3рукавов в каждой линии, и три пожарных ствола диаметром d ст1, d ст2, d ст3 с сопротивлениями S ст1, S ст2, S ст3, поднятыми на высоту z 1, z 2, z 3, по вертикали относительно рукавного разветвления.

Рис. 3.2. Расчетная схема насосно-рукавной системы:

1 − пожарный гидрант; 2 − колонка пожарная;

3 − всасывающие рукава; 4 − пожарный автонасос;

5 − магистральная рукавная линия; 6 − разветвление

рукавное трехходовое; 7 − рабочие рукавные линии;

8 − стволы пожарные ручные

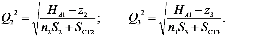
Определим требующийся напор насоса при условии, что из первого ствола с диаметром насадка d ст1 необходимо по условиям тушения пожара получить струю с расходом Q 1 (что соответствует радиусу компактной части R к). В этом случае напор в точке А (на рукавном разветвлении) должен быть равен

HA 1 = S p1 Q 21 + z 1 = (S 1 n 1 + S ст1) Q 21 + z 1. (3.8)

При этом напоре по двум другим рабочим рукавным линиям расход воды составит:

По магистральной линии суммарный расход составит:

Q м = Q 1 + Q 2 + Q 3.

Напор на насосе составит:

H трн = n м S м Q 2м + HA 1 + zA + hA. (3.9)

Если насосно-рукавная система симметрична, то есть магистральные и рабочие рукавные линии включают одинаковое количество рукавов одного диаметра, одинаковые стволы подняты на одну и ту же высоту Z относительно оси насоса, то решение задачи несколько упрощается и напор определяется по формуле

H трн = S с Q 2 + z + hA. (3.10)

Сопротивление рукавной системы вычисляют как

, (3.11)

где e – количество магистральных линий; δ – количество рабочих линий.

Возможность подачи расчетного расхода воды на тушение пожара выбранной насосно-рукавной системы можно оценить расчетом, используя аналитический вид характеристики данного насоса. Для этого необходимо значение расхода Q подставить в уравнение характеристики насоса H = a – bQ2 и определить максимальный напор H maxн, который может обеспечить насос при максимальном числе оборотов.

Если H maxн³ H трн, то подача расчётного расхода воды выбранной насосно-рукавной системы возможна. В других случаях, при H maxн < H трн система не выполнит поставленную задачу и потребуется принятие других технических решений, например, уменьшение гидравлического сопротивления рукавной системы или использование другого более мощного насоса.

Предельная длина магистральной рукавной линии (задача 3), например для насосно-рукавной системы, показанной на рисунке 3.2, определяется из выражения (3.9). При этом используется аналитический вид характеристики пожарного насоса, то есть

а − bQ2 н = n м S м Q2 м + HA + zA + hA, (3.12)

где Q н – подача насоса; Q м – расход воды в магистральной рукавной линии (причём Q н = Q м); HA – напор в рукавном разветвлении для обеспечения расчетных расходов воды через пожарные стволы, zA – высота превышения (по вертикали) разветвления над осью насоса, hA – потери напора в разветвлении.

Из выражения (3.12) предельная длина магистральной линии (в количестве 20 метровых стандартных рукавов) определится так:

, (3.13)

причем в случае получения дробного числа округление производится в сторону уменьшения.


Поделиться с друзьями:

mylektsii.su - Мои Лекции - 2015-2026 год. (0.959 сек.)Все материалы представленные на сайте исключительно с целью ознакомления читателями и не преследуют коммерческих целей или нарушение авторских прав Пожаловаться на материал