Студопедия

Главная страница Случайная страница

КАТЕГОРИИ:

АвтомобилиАстрономияБиологияГеографияДом и садДругие языкиДругоеИнформатикаИсторияКультураЛитератураЛогикаМатематикаМедицинаМеталлургияМеханикаОбразованиеОхрана трудаПедагогикаПолитикаПравоПсихологияРелигияРиторикаСоциологияСпортСтроительствоТехнологияТуризмФизикаФилософияФинансыХимияЧерчениеЭкологияЭкономикаЭлектроника






Обеспечение надежности работы водоводов






Одним из основных и важнейших свойств систем водоснабжения является их надежность. В нашей стране принято следующее определение надежности. Надежность есть свойство объекта выполнять заданные функции, сохраняя во времени значения установленных эксплуатационных показателей в заданных пределах, соответствующих заданным режимам и условиям использования, технического обслуживания, ремонта.

Под объектом здесь может пониматься как система в целом, так и отдельные ее элементы. Надежность включает в себя следующие понятия: безотказность, долговечность, ремонтопригодность, сохраняемость.

Система водоснабжения может находиться в следующих основных состояниях:

− полной работоспособности, то есть система может выполнять функции водоснабжения на заданном уровне;

− неполной работоспособности, то есть система может выполнять функции водообеспечения на уровне более низком, чем нормальный, но не ниже установленного нормами допустимого предела;

− неработоспособности (состояние отказа), то есть система не может выполнять функции водообеспечения на нормальном или допустимом сниженном уровне.

Обеспечение надежности водоводов, осуществляющих подачу воды от источника воды к потребителю, является важнейшей задачей. Отказ водоводов при одном источнике может вызвать полный отказ системы водоснабжения. Одним из наиболее часто применяемых методов повышения надежности работы водоводов является метод резервирования. При этом могут использоваться два способа резервирования: без перемычек и с перемычками. Резервирование есть метод повышения надежности объекта введением избыточности.

В случае резервирования без перемычек введение избыточности в систему водоводов производится за счет увеличения числа параллельно проложенных линий. Различают следующие возможные режимы работы резервных элементов:

ненагруженный резерв – резервные элементы при обычной работе не несут нагрузки;

нагруженный резерв – резервные элементы работают в том же режиме, что и остальные;

облегченный резерв – резервные элементы находятся на облегченном режиме по сравнению с остальными.

Ненагруженный резерв неэкономичен и практически не применяется в водоснабжении.

Нагруженный резерв применяется наиболее широко. При этом в период нормального функционирования все линии работают в облегченном режиме. Полную нагрузку линии несут в случае отказа резервных элементов, то есть в аварийной ситуации. В системах водоснабжения используется обычно принцип постоянного резервирования, то есть n параллельно работающих линий участвуют одновременно в работе и несут одинаковую нагрузку. Таким образом, все водоводы являются обезличенными и фактически не разделяются на основные и резервные. Отношение числа резервных линий n p к числу основных n o K = n p /n o называется кратностью резервирования. Очевидно, что надежность системы возрастает при увеличении кратности резервирования. Однако при этом возрастает и стоимость системы водоснабжения. Решение задачи оптимального резервирования системы напорных водоводов сводится к нахождению варианта, отвечающего требованиям надежности и экономичности. Эта задача решается при условии, что подача воды в случае аварии не должна снижаться ниже величины, заданной СНиП. То есть в случае повреждения одного водовода или его участка допускается снижать общую подачу воды на хозяйственно-питьевые цели не более чем на 30 % расчетного расхода, на производственные цели − не ниже значения расхода по аварийному графику. Расход воды на пожаротушение должен обеспечиваться полностью.

Таким образом, должен гарантироваться расход

. (4.1)

Требуемое количество параллельно уложенных водоводов n, обеспечивающих расход Q ав при выходе из строя одного водовода, можно определить так.

Определим напор насоса при работе всех водоводов:

, (4.2)

где s – сопротивление одного водовода (принимается, что материал, длина и диаметр всех водоводов одинаковы); n – количество водоводов; H св – свободный напор в конце водовода; ∆ z – разница геометрических отметок конца водовода (в месте подсоединения к сети) и оси насоса; Q – расчетный расход в безаварийной ситуации.

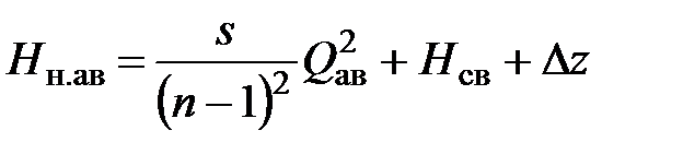
Определим требуемый напор насоса при выходе из строя одного водовода:

. (4.3)

При этом свободный напор может оставаться таким же, как и при работе всех водоводов или снижаться, но не менее чем до величины, гарантирующей свободный напор в наиболее неблагоприятной диктующей точке водопроводной сети не менее 10 м.

Из формулы (4.3) следует:

. (4.4)

Для расчёта n по формуле (4.4) необходимо определить Q ав по формуле (4.1), s – по формуле s = Al.

Значения Н св, ∆ z обычно заданы. Значение Н н.ав можно определить, рассматривая совместную работу насоса и водоводов (рис. 4.1). Из рисунка 4.1 следует, что значению расхода Q ав соответствует напор насоса Н н.ав.

3
2
1

Рис. 4.1. Совместная работа насоса и водоводов:

1 − основная характеристика насоса; 2 − характеристика водоводов в безаварийном состоянии; 3 − характеристика водоводов при выходе из строя одного водовода

Значение n, найденное по формуле (4.4), следует округлить до ближайшего большего целого. Это число должно быть, как правило, не менее двух. С другой стороны, в практике водоснабжения число параллельных водоводов при строительстве новых систем редко превышает три. Это объясняется тем, что эффективность от введения большого количества водоводов резко падает, что показано на рисунке 4.2. Здесь же прослеживается зависимость снижения подачи воды равная отношению Q ав /Q от чис-ла водоводов n при постоянном напоре водопитателя (насоса). Видно, что при увеличении n с двух до трех α увеличивается на 17 %, при увеличении n с трёх до четырёх − на 8 %, с четырёх до пяти – только на 5 %.

Кроме того, системы параллельно уложенных водоводов без перемычек используются только в тех случаях, когда трассы отдельных водоводов приходится проводить на большом расстоянии друг от друга. Устройство перемычек между линиями водоводов дает существенные преимущества в обеспечении надежности системы водоснабжения и широко распространено в практике водоснабжения. Устройство перемычек может оказаться нецелесообразным лишь для водоводов относительно малой протяжённости.

Рис. 4.2. Зависимость снижения подачи воды от числа

водоводов при постоянном напоре водопитателя

 

Наличие перемычек позволяет при любой аварии на линиях водоводов выключать не всю линию, а только ее поврежденную часть. При этом остаются работоспособными m –1 участков поврежденной линии и целиком другие линии. В таких условиях снижение пропускной способности системы водоводов будет значительно меньше, чем при полном выключении одного водовода. Рассмотрим метод определения количества перемычек m, необходимого для того, чтобы расход воды через систему n водоводов при аварии был не ниже значения Q ав, определяемого по формуле (4.1). Число участков между перемычками на каждом водоводе равно m+ 1 (рис. 4.3).

Рис. 4.3. Параллельная работа водоводов с перемычками:

а − в безаварийном состоянии; б − при выходе из строя участка

водовода; n − количество водоводов; m − количество перемычек

Общее число участков – n (m + 1). Требуемый напор насосов при исправном состоянии системы равен:

, (4.5)

где s 1 – сопротивление одного участка.

Напор насосов при выходе из строя одного участка на одном водоводе (рис. 4.3, б) определится по формуле:

(4.6)

Введем в формулу (4.6) вместо s 1 сопротивление каждого водовода s = s 1(m + 1):

,

.

Отсюда

или после преобразований

. (4.7)

Анализ показывает, что эффект влияния перемычек на работу системы быстро затухает с увеличением их числа. Для отключения любого участка на нем должно быть установлено по две задвижки − в конце и в начале. Должны быть также предусмотрены задвижки для отключения перемычек при их повреждениях. Таким образом, на каждую перемычку необходимо установить 6 задвижек по 3 в каждом узле примыкания водоводов. Это позволит отключать при аварии только один поврежденный участок.

На рисунке 4.4, а показано движение воды по водоводам и в перемычках в исправном состоянии, а на рисунке 4.4, б – при выходе из строя одного участка водовода, для отключения которого требуется закрыть две задвижки – первую и вторую.

 

СНиП устанавливают следующие основные требования к устройству водоводов:

− количество линий водоводов следует принимать с учетом категорий надежности подачи воды;

− при прокладке водоводов в две или более линий необходимость устройства переключений между водоводами определяется в зависимости от количества независимых водозаборных сооружений или линий водоводов. При этом в случае отключения одного водовода или его участка общую подачу воды объекту на хозяйственно-питьевые цели допускается снижать не более чем на 30 % расчетного расхода, на производственные цели подавать по аварийному графику, на цели пожаротушения − полностью;

− при прокладке водовода в одну линию должен быть предусмотрен запас воды на время ликвидации аварии на водопроводе, обеспечивающий хозяйственно-питьевые, производственные, пожарные расходы;

 

Рис. 4.4. Движение воды по водоводам и в перемычках:

а – в исправном состоянии; б – при выходе из строя одного участка водовода

 

− для напорных водоводов, как правило, следует применять неметаллические трубы (железобетонные, асбестоцементные, полиэтиленовые и др.);

− длину ремонтных участков водоводов следует принимать: при прокладке водоводов в две или более линий и при отсутствии переключений − не более 5 км; при наличии переключений, равных длине участков между переключениями, при прокладке водоводов в одну линию – не более 3 км.

4.2. Устройство и обеспечение надёжности работы водопроводной сети

Водопроводная сеть, то есть система линий, разводящих воду по территории населенного пункта или промышленного объекта, является конечным звеном на пути движения воды от источника к потребителю. Стоимость водопроводной сети составляет примерно 30 % полной стоимости системы водоснабжения. Поэтому трассировка сети должна, с одной стороны, обеспечивать достаточную надежность, с другой – быть экономичной. Эти два требования носят антагонистический характер. Действительно, разветвленная тупиковая сеть (рис. 4.5) имеет меньшую стоимость, чем кольцевая (рис. 4.6). Однако от каждого узла тупиковой сети до точки подачи воды есть только один путь. Для обеспечения же надежности необходимо иметь не менее двух таких путей. Этому требованию соответствуют кольцевые сети. Обычно кольцевая магистральная сеть объекта представляет систему параллельных магистральных линий (рис. 4.6), совпадающих с основным продвижением воды от точки А до конечной точки Б. Система основных продольных магистралей соединяется поперечными линиями-перемычками. Перемычки обычно не несут больших транзитных расходов и используются в основном для питания водой прилегающих к ним районов. К магистральной сети примыкает система второстепенных распределительных линий, осуществляющих непосредственно отдачу воды во внутренние водопроводы зданий. Таким образом, структура кольцевой сети обладает сама по себе высокой степенью резервирования путей подачи воды и, следовательно, высокими показателями надежности. При этом необходимо, чтобы параллельно включенные участки имели также близкие проводимости (сопротивление).

Надежность обеспечения водой отдельных потребителей в значительной степени зависит от места их расположения на территории объекта. Чем дальше находится потребитель от точки подачи воды в сеть, тем меньше надежность его водообеспечения.

Рис. 4.5. Разветвленная (тупиковая) сеть

Рис. 4.6. Кольцевая сеть

СНиП устанавливает допустимый предел снижения общей подачи воды при возникновении аварии и наименьшую величину давления в сети в критической точке при аварийной ситуации. Отказом системы является нарушение указанных пределов. В сетях с одним источником питания обычно критические (диктующие) точки оказываются расположенными в наиболее удаленных и высоко расположенных пунктах. Выбор критических точек должен быть проведен с учетом возможности питания всей сети от источника, а также питания ее одновременно от источника и от регулирующей емкости. При наличии нескольких источников питания надежность водообеспечения не только объекта в целом, но и показатели надежности сети улучшаются.

Как показывают статистические данные, существенное влияние на показатели надежности водопроводной сети оказывают диаметры труб. С увеличением диаметра труб частота повреждения уменьшается.

К трассировке и устройству водопроводной сети в соответствии со СНиП предъявляется ряд требований, основными из которых являются следующие:

§ сеть должна быть кольцевой. Тупиковые сети допускается применять для подачи воды на производственные нужды − при допустимости перерыва в водоснабжении на время ликвидации аварии; для подачи воды на хозяйственно-питьевые цели - при диаметре труб не более 100 мм; для подачи воды на пожаротушение − при длине линии не более 200 м. В населенных пунктах с числом жителей до 5 тыс. человек и расходом воды на наружное пожаротушение до 10 л/с или при количестве внутренних пожарных кранов в здании до 12, допускаются тупиковые линии длиной более 200 м при условии устройства противопожарных резервуаров или водоёмов, водонапорной башни или контррезервуара в конце тупика;

§ при выключении одного участка (между расчетными узлами) суммарная подача воды на хозяйственно-питьевые нужды по остальным линиям должна быть не менее 70 % расчетного расхода, а подача воды к наиболее неблагоприятно расположенным местам водоотбора − не менее 25 % расчетного расхода воды, при этом свободный напор должен быть не менее 10 м;

§ разделение водопроводной сети на ремонтные участки должно обеспечивать при выключении одного из участков отключение не более 5 пожарных гидрантов и подачу воды потребителям, не допускающим перерыва в водоснабжении;

§ пожарные гидранты следует располагать вдоль автомобильных дорог на расстоянии не более 2, 5 м от края проезжей части, но не ближе 5 м от стен здания; допускается располагать гидранты на проезжей части;

§ расстановка пожарных гидрантов на водопроводной сети должна обеспечивать пожаротушение любого обслуживаемого данной сетью здания, сооружения или его части не менее чем от двух гидрантов при расходе воды на наружное пожаротушение 15 л/с и более и одного – при расходе воды менее 15 л/с с учётом прокладки рукавных линий длиной не более 200 м – при наличии автонасосов и 100 – 150 м – при наличии мотопомп;

§ расстояние между гидрантами определяется расчетом, учитывающим суммарный расход воды на пожаротушение и сопротивление устанавливаемого типа гидрантов;

§ соединение сетей хозяйственно-питьевых водопроводов с сетями водопроводов, подающих воду непитьевого качества, не допускается. Это означает, что использование, например, хозяйственно-питьевого водопровода в качестве основного водопитателя для автоматической установки пенного пожаротушения недопустимо;

§ диаметр труб сетей надлежит выбирать на основании технико-экономических расчетов, учитывая при этом условия их работы при аварийном выключении отдельных участков. Диаметр труб водопровода, объединенного с противопожарным, в населенных пунктах и на промышленных предприятиях должен быть не менее 100 мм, в сельскохозяйственных пунктах – не менее 75 мм;

§ время, необходимое для ликвидации аварии на трубопроводах, следует принимать по таблице 4.1.

Таблица 4.1

  Диаметр труб, мм Время, необходимое для ликвидации аварии на трубопроводах, ч, при глубине заложения труб, м
≤ 2, м > 2, м
d < 400    
400 ≤ d ≤ 1000    
d > 1000    

В зависимости от материала и диаметра труб, наличия дорог, средств ликвидации аварии, транспортных средств указанное время может быть изменено, но должно приниматься не менее 6 ч.

Водопроводные сети и водоводы изготавливаются из чугунных, стальных, асбестоцементных, бетонных, железобетонных, полиэтиленовых труб. Материал и класс прочности труб принимают на основании технико-экономического расчета с учетом санитарных требований, агрессивности грунта и воды, условий работы трубопроводов и требований к качеству воды.

Для напорных водоводов и сетей, как правило, следует применять неметаллические трубы (железобетонные, асбестоцементные, полиэтиленовые и др.).

Применение чугунных напорных труб допускается для сетей в пределах населенных пунктов, территорий промышленных и сельскохозяйственных предприятий, а также при отсутствии соответствующих неметаллических труб.

Применение стальных труб допускается:

§ на участках при рабочем давлении более 1, 5× 105 Па;

§ для переходов под железнодорожными и автомобильными дорогами, через водные преграды и овраги;

§ при прокладке трубопроводов по опорам эстакад и в тоннелях;

§ при прокладке в труднодоступных местах строительства, в вечномерзлых, просадочных и набухающих грунтах и др.

Для железобетонных и асбестоцементных трубопроводов допускается применение металлических фасонных частей, с помощью которых к трубам крепится арматура.

На водоводах и линиях водопроводной сети необходимо предусматривать установку задвижек для выделения ремонтных участков; клапанов для впуска воздуха; выпусков для сброса воды; вантузов для выпуска воздуха; компенсаторов; обратных клапанов или клапанов других типов автоматического действия для предупреждения недопустимого повышения давления при гидроударах.

На водоводах следует предусматривать устройство разгрузочных камер или установку аппаратуры, предохраняющей водоводы при всех возможных режимах работы от повышения давления выше предела, допускаемого для принятого типа труб.

При устройстве водопроводных сетей применяются следующие основные типы арматуры:

запорная и регулирующая – задвижки и вентили;

водоразборная – водоразборные колонки, краны, пожарные гидранты;

защитная и измерительная – предохранительные клапаны, воздушные вантузы, водомеры и т.п.

Задвижки (рис. 4.7) предназначаются для отключения отдельных участков сети в случае аварии и ремонта и для регулирования расходов. Задвижки могут быть с ручным приводом, устанавливаемые на трубопроводах диаметром до 350 мм, и с электроприводом для трубопроводов диаметром 300 мм и более.

Рис. 4.7. Задвижка

Вантузы служат для автоматического впуска и выпуска воздуха из трубопроводов. Вантузы устанавливаются на трубопроводах диаметром 400 мм и более на возвышенных точках профиля на расстоянии 250 м друг от друга. Если воздух не будет удален из трубопровода, то образуются воздушные подушки, уменьшающие площадь живого сечения трубопровода.

Вантуз состоит из чугунного корпуса, в котором помещены пустотелые шары. Шары через кольца и шток жестко соединены с клапаном. При отсутствии воздуха шары под давлением воды снизу всплывают, клапаны плотно прилегают к своим седлам. При скоплении воздуха в верхней части вантуза вода отжимается, вместе с водой опускаются шары, плавающие в воде. Вместе с шарами опускаются клапаны и через образовавшиеся отверстия воздух выходит наружу.

Рис. 4.8. Обратный клапан

Обратные клапаны (рис. 4.8) предназначаются для пропуска воды только в одном направлении. Они устанавливаются на напорных линиях около центробежных насосов, на линиях для отключения водонапорных башен и в ряде других случаев. Арматура наружной водопроводной сети размещается в специальных колодцах. На рисунке 4.9 показан колодец с пожарным гидрантом. Водопроводные колодцы устраивают из сборного железобетона, но допускается их устройство и из местных материалов.

Рис. 4.9. Установка пожарного гидранта в колодце

В случаях расположения грунтовых вод выше дна колодца следует предусматривать гидроизоляцию дна и стен колодца на 0, 5 м выше уров-ня грунтовых вод. Высота рабочей части колодца должна быть не менее 1, 5 м.

При создании водопроводной сети выполняется ее деталировка. Деталировкой сети называют схему сети с нанесенными на нее в условных обозначениях фасонными частями, а также размерами сети. При выполнении деталировки намечаются места установки гидрантов и задвижек (рис. 4.10). Глубина заложения труб, считая до низа, должна быть на 0, 5 м больше расчетной глубины проникания в грунт нулевой температуры. При прокладке трубопроводов в зоне отрицательных температур материал труб и элементы стыковых соединений должны удовлетворять требованиям морозоустойчивости. Для предупреждения нагревания воды в летнее время глубину заложения трубопровода хозяйственно-питьевого назначения надлежит, как правило, принимать не менее 0, 5 м, считая до верха труб. Допускается принимать меньшую глубину заложения при условии обоснования теплотехническими расчетами.

Рис. 4.10. Деталировка участка водопроводной сети:

ПГ − пожарный гидрант; ВК − водопроводный колодец; 1 − крест фланцевый с пожарной подставкой; 2 − задвижка; 3 − патрубок-фланец − раструб; 4 − патрубок-фланец – гладкий конец; 5 − тройник фланцевый с пожарной вставкой; 6 − переход фланцевый;
7 − крест-фланец − раструб с пожарной подставкой; 8 − тройник фланцевый;
9 − задвижка; 10 − пожарная подставка

При определении глубины заложения труб следует учитывать внешние нагрузки от транспорта и условия пересечения с другими подземными сооружениями и коммуникациями.

К системам водоснабжения в особых природных и климатических условиях предъявляются дополнительные требования. К районам с особыми условиями относятся сейсмические районы, местности с просадочными грунтами, подрабатываемые территории (с подземными горными разработками), вечномерзлые грунты. Рассмотрим некоторые требования к системам водоснабжения в сейсмических районах и в районах с вечномерзлыми грунтами, достаточно распространенными в нашей стране.

Сейсмические районы. Дополнительные требования, устанавливаемые для районов с сейсмичностью 7, 8, 9 баллов, являются следующими:

· для систем водоснабжения первой категории надежности в районах с сейсмичностью 7, 8 и 9 баллов необходимо предусматривать не менее двух независимых источников водоснабжения;

· при использовании одного источника водоснабжения с забором воды в одном месте надлежит предусматривать удвоенный противопожарный запас воды;

· расчетное число одновременных пожаров для районов с сейсмичностью 9 баллов необходимо принимать на один больше по сравнению с другими районами;

· количество резервуаров должно быть не менее двух, при этом со­единение каждого резервуара с сетью должно быть самостоятельным, без устройства общих камер переключения между соседними резервуарами;

· водоводы должны проектироваться в две линии с переключением.

Количество переключений следует назначать, исходя из условия возникновения на водоводах двух аварий, при этом должна обеспечиваться подача 70 % противопожарного и 70 % хозяйственно-питьевого и производственного расхода воды по аварийному графику.

Вечномерзлые грунты. При проектировании водоводов и сетей в вечномерзлых грунтах следует предусматривать:

§ обеспечение устойчивости трубопроводов на вечномерзлых грунтах;

§ влияние на трубопроводы температуры окружающей среды;

§ предохранение транспортируемой жидкости от замерзания;

 

§ механическое воздействие оттаивающих и промерзающих грунтов на трубопроводы и сооружения на сетях и водоводах;

§ необходимость защиты вечномерзлых грунтов в качестве оснований от воздействия на них воды при авариях трубопроводов.

Способ прокладки трубопроводов следует принимать наземный, надземный, подземный.

Наземная прокладка, ограничивающая тепловое воздействие трубопроводов на грунт основания, должна предусматриваться в земляных валиках, в каналах, на сплошной подсыпке, в каналах полузаглубленного типа. При этом обваловка каналов грунтом с целью дополнительной термоизоляции не допускается.

Надземная прокладка, исключающая тепловое воздействие трубопроводов на грунт основания, должна предусматриваться на сваях, мачтах, эстакадах или по конструкциям зданий и сооружений.

Подземную прокладку трубопроводов надлежит принимать в траншеях или каналах. Бесканальная прокладка должна обосновываться технико-экономическими и теплотехническими расчетами. Подземная бесканальная прокладка трубопроводов должна предусматриваться, как правило, без тепловой изоляции. Необходимость устройства тепловой изоляции должна подтверждаться тепловыми и технико-экономическими расчетами.

При всех способах прокладки трубопроводов должно предусматриваться предотвращение замерзания в них воды путем применения тепловой изоляции трубопроводов, подогрева воды, подогрева трубопроводов, непрерывного движения воды в трубопроводах, повышения тепловой инерции трубопроводов.

Температура подогрева воды должна определяться расчетами. Температура воды в кольцевых участках сети и водоводах должна быть не менее + 5 оС для труб диаметром до 300 мм, + 3 оС − для труб диаметром более 300 мм.

Подогрев воды следует осуществлять:

§ подмешиванием теплой воды из системы охлаждения технологического оборудования промышленных предприятий и ТЭЦ;

§ подогревом в специальных котельных и бойлерных установках.

Подогрев трубопроводов следует предусматривать с помощью теплового сопровождения или греющего электрокабеля. Греющий электрокабель при подземной бесканальной прокладке следует располагать над трубопроводом.

Непрерывное движение воды в трубопроводах должно обеспечиваться:

§ подключением крупных потребителей воды к концевым участкам тупиковой сети;

§ применением минимального числа отдельных колец, вытянутых по направлению основного потока воды к крупному потребителю;

§ применением двухтрубной системы водопроводных сетей;

§ сбросом воды в канализацию на концевом участке тупиковой сети.

Для водоводов и сетей необходимо использовать стальные и пластмассовые трубы; чугунные трубы допускается применять при подземной прокладке в проходных каналах. Применение железобетонных и асбестоцементных труб не допускается.


Поделиться с друзьями:

mylektsii.su - Мои Лекции - 2015-2026 год. (1.181 сек.)Все материалы представленные на сайте исключительно с целью ознакомления читателями и не преследуют коммерческих целей или нарушение авторских прав Пожаловаться на материал