Студопедия

Главная страница Случайная страница

КАТЕГОРИИ:

АвтомобилиАстрономияБиологияГеографияДом и садДругие языкиДругоеИнформатикаИсторияКультураЛитератураЛогикаМатематикаМедицинаМеталлургияМеханикаОбразованиеОхрана трудаПедагогикаПолитикаПравоПсихологияРелигияРиторикаСоциологияСпортСтроительствоТехнологияТуризмФизикаФилософияФинансыХимияЧерчениеЭкологияЭкономикаЭлектроника






Гидравлический расчет в обычное время (без пожара).






Гидравлический расчет сети выполняется в следующем порядке.

1. Определяется равномерно распределенный расход, получаемый вычитанием сосредоточенных расходов из общего расхода в час максимального водопотребления:

, (4.15)

где n – количество сосредоточенных отборов.

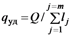
2. Определяется удельный расход воды, то есть доля равномерно распределенного расхода, приходящаяся на единицу длины водопроводной сети:

, (4.16)

где lj – длина каждого участка; m − количество участков; j − номер участка.

3. Определяются равномерно распределённые по длине участков путевые отборы:

.

4. Определяются узловые расходы воды, которыми заменяются равномерно распределенные путевые отборы:

, (4.17)

где – сумма путевых отборов на участках, прилегающих к данному узлу.

5. Добавляются сосредоточенные расходы к узловым расходам.

Следует заметить, что пункты 1-5 выполняются при расчете водопроводных сетей населенных пунктов. Для сетей промышленных предприятий отборы воды являются сосредоточенными, поэтому гидравлический расчет начинается с выполнения п. 6.

6. Предварительно распределяются расходы по участкам сети. Распределение выполняется при соблюдении следующего условия: сумма расходов воды, подходящих к каждому узлу, равна сумме расходов воды, отходящих от узла. Распределение расходов воды начинается от диктующей точки, т.е. конечной точки подачи воды. Перед распределением расходов необходимо наметить направление потоков в сети.

7. Определяются диаметры труб участков сети.

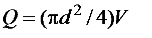
Эта операция является одним из наиболее ответственных элементов расчета сети. Диаметры труб отдельных участков сети следует устанавливать в зависимости от расчетного расхода воды, проходящего по данному участку. Объемный расход воды, диаметр и средняя скорость движения воды связаны между собой уравнением неразрывности:

, (4.18)

откуда . (4.19)

Из соотношения (4.19) при заданных значениях Q и V можно определить диаметр. Скорость выбирается из технико-экономических соображений, сущность которых заключается в следующем. С увеличением скорости движения воды при заданном расходе, как следует из соотношения (4.19), диаметр труб уменьшается. С другой стороны, при увеличении скорости движения воды увеличиваются потери напора в трубах и, следовательно, возрастает расход энергии на подачу воды потребителям. И, наоборот, с уменьшением скорости движения воды диаметр труб увеличивается, то есть увеличивается строительная стоимость системы водоснабжения. Обычно экономически выгодную скорость движения воды принимают в следующих пределах:

− для малых диаметров V э = 0, 7–1 м/с;

− для средних и больших диаметров V э = 1–1, 2 м/с.

Как показывают исследования, указанный метод определения диаметров труб является довольно приближенным. Более точным методом определения диаметров труб, который широко применяется в России, является метод с использованием так называемого экономического факто- ра Э.

Экономический фактор учитывает стоимость электроэнергии, КПД насосных установок, стоимость строительства сети и водопроводных сооружений и т.п. Экономический фактор можно определить по формулам:

– для металлических труб; (4.20)

– для асбестоцементных труб, (4.21)

где – стоимость энергии; b – коэффициент стоимости сети.

8. Производится увязка сети. Для каждого кольца выбирается условно положительное направление. Если направление движения потока воды на участке совпадает с условно выбранным направлением, то потери напора на этом участке считаются положительными, а если не совпадают, то отрицательными. Увязать сеть – значит добиться выполнения следующих соотношений:

0 – для узлов
(4.22)

0 – для колец
(4.23)

Здесь n – количество участков в кольце; m – количество расходов, подходящих к узлу и отходящих от него.

Соотношение (4.22) для предварительно найденных расходов должно выполняться, так как оно использовалось при предварительном распределении расходов по участкам. Соотношение (4.23) выполняется при увязке водопроводной сети, например, методом Лобачева-Кросса. Сущность метода Лобачева-Кросса состоит в следующем. Пусть для кольца (рис. 4.24)

, (4.24)

то есть . (4.25)

Величина ∆ h называется невязкой.

Рис. 4.24. Элемент кольцевой сети

Если ∆ h > 0, то сумма условно положительных потерь напора больше отрицательных. Значит, чтобы уменьшить ∆ h (приблизить к нулю), необходимо расходы на участках с условно отрицательными потерями напора увеличить на величину поправочного расхода, а на участках с условно положительными потерями напора − уменьшить.

Если ∆ h < 0, то, наоборот, расходы на участках с условно положительными потерями напора надо увеличить, а на участках с условно отрицательными уменьшить на величину поправочного расхода. Поправочный расход определяется по формуле

(4.26)

где si – сопротивление участка; qi − расход воды по участкам.

Формула (4.26) может быть получена следующим образом.

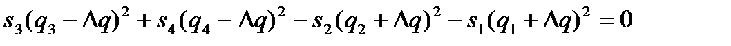
Пусть для кольца, показанного на рисунке 4.24, с предварительно распределенными расходами получилась невязка ∆ h, то есть

. (4.27)

Пусть ∆ h > 0, тогда .

Для того чтобы ∆ h = 0, необходимо расходы q 3 и q 4 уменьшить на некоторую величину ∆ q, а расходы q 1 и q 2 увеличить на эту же величину.

Тогда

. (4.28)

Раскрывая скобки и отбрасывая члены, содержащие (∆ q) 2 как малые в сравнении с членами, содержащими q и ∆ q, получим:

. (4.29)

Увязка сети продолжается до тех пор, пока не будет выполняться соотношение

, (4.30)

где∆ h доп – допустимая величина невязки.

Если водопроводная сеть состоит из нескольких колец, то необходимо выполнять одновременно увязку всех колец до тех пор, пока не будет выполняться указанное соотношение для всех колец.

Для участков, общих для соседних колец, поправочный расход вводится из каждого кольца. Поправочный расход вводится из одного кольца в другое с тем же знаком.

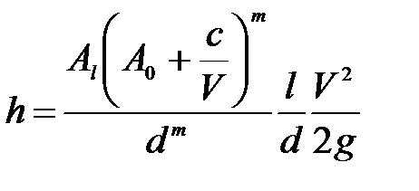
В приложении 10 СНиП 2.04.02-84* приведена формула, которой следует пользоваться для определения потерь напора при выполнении гидравлических расчетов

. (4.31)

По существу, эта формула является формулой Дарси-Вейcбаха. Коэффициенты A 1, A o, с, m зависят от материала и внутреннего покрытия труб и приведены в приложении 10. В формуле (4.31) d – внутренний (расчетный) диаметр. При использовании выражения (4.31) поправочный расход определяется по формуле

, (4.32)

которая получается по методике, приведенной выше.

Значения внутренних расчётных диаметров в формуле (4.31) находятся по ГОСТ для соответствующих труб.


Поделиться с друзьями:

mylektsii.su - Мои Лекции - 2015-2026 год. (1.021 сек.)Все материалы представленные на сайте исключительно с целью ознакомления читателями и не преследуют коммерческих целей или нарушение авторских прав Пожаловаться на материал