Студопедия

Главная страница Случайная страница

КАТЕГОРИИ:

АвтомобилиАстрономияБиологияГеографияДом и садДругие языкиДругоеИнформатикаИсторияКультураЛитератураЛогикаМатематикаМедицинаМеталлургияМеханикаОбразованиеОхрана трудаПедагогикаПолитикаПравоПсихологияРелигияРиторикаСоциологияСпортСтроительствоТехнологияТуризмФизикаФилософияФинансыХимияЧерчениеЭкологияЭкономикаЭлектроника






Расход воды на пожаротушение






Расход воды для пожаротушения и количество одновременных пожаров складов лесоматериалов зависит от их вида и способа хранения, емкости и площади склада.

Количество одновременных пожаров следует рассчитывать с учетом площади склада: 50 га – один пожар, более 50 га – два пожара. Продолжительность тушения пожара должна быть не менее 5 ч.

Расход воды на пожаротушение открытых складов на один пожар следует принимать не менее указанного в таблице 5.2.

Расход воды на пожаротушение складов лесоматериалов емкостью до 10 тыс. плотных м3 следует принимать по СНиП 2.04.02-84*.

Противопожарный водопровод следует рассчитывать из условия орошения каждой точки штабеля или кучи лесоматериалов не менее чем двумя компактными струями из лафетных стволов.

 

Таблица 5.2

Вид и способ хранения лесоматериалов Емкость склада лесоматериалов плотных, тыс. м3
10-100 100-500 Свыше
Расход воды на пожаротушение, л/с
Пиломатериалы, штабели: пакетные рядовые      
Круглые лесоматериалы в штабелях            
Балансовая древесина, осмол и дрова в кучах            
Щепа и опилки в кучах      
Кора и древесные отходы в кучах      

При расходе воды на пожаротушение 150 – 180 л/с противопожарный водопровод должен обеспечивать одновременную работу трех, более 180 л/с – четырех лафетных стволов. При этом стационарные лафетные стволы предусматривают при расходе воды на пожаротушение свыше 90 л/с. На территории склада необходимо также предусматривать пожарные резервуары или водоемы емкостью не менее 500 м3.

Расход воды для пожаротушения из сети противопожарного водопровода на предприятиях нефтеперерабатывающей и нефтехимической промышленности должен приниматься из расчета двух одновременных пожаров на предприятии: одного пожара в производственной зоне и второго пожара – в зоне сырьевых или товарных складов горючих газов, нефти и нефтепродуктов.

Расход воды определяется расчетом, но должен приниматься не менее: для производственной зоны – 120 л/с, для складов – 150 л/с. Расход и запас воды должен обеспечивать тушение и защиту оборудования стационарными установками и передвижной пожарной техникой.

За расчетный расход воды при пожаре на складе нефти и нефтепродуктов следует принимать один из следующих наибольших расходов: на пожаротушение и охлаждение резервуаров (исходя из наибольшего расхода при пожаре одного резервуара); на пожаротушение и охлаждение железнодорожных цистерн, сливно-наливных устройств и эстакад или на пожаротушение сливно-наливных устройств для автомобильных цистерн; наибольший суммарный расход на наружное и внутреннее пожаротушение одного из зданий склада.

Расходы огнетушащих средств следует определять, исходя из интенсивности их подачи (табл. 5.6) на расчетную площадь тушения нефти и нефтепродуктов (например, в наземных вертикальных резервуарах со стационарной крышей за расчетную площадь тушения принимается площадь горизонтального сечения резервуара).

Расход воды на охлаждение наземных вертикальных резервуаров следует определить расчетом, исходя из интенсивности подачи воды, принимаемой по таблице 5.3. Общий расход воды определяется как сумма расходов на охлаждение горящего резервуара и охлаждение соседних с ним в группе.

Свободный напор в сети противопожарного водопровода при пожаре следует принимать:

· при охлаждении стационарной установкой – по технической характеристике кольца орошения, но не менее 10 м на уровне кольца орошения;

· при охлаждении резервуаров передвижной пожарной техникой по технической характеристике пожарных стволов, но не менее 40 м.

Расчётную продолжительность охлаждения резервуаров (горящего и соседних с ним) следует принимать:

· наземных резервуаров при тушении пожара автоматической системой – 4 ч;

· при тушении передвижной пожарной техникой – 6 ч;

· подземных резервуаров – 3 ч.

 

Таблица 5.3

Система охлаждения резервуаров Интенсивность подачи воды, л/с, на 1 м длины
окружности горящего резервуара половины окружности соседнего резервуара
Стационарная установка охлаждения: – резервуаров с высотой стенки более 12 м – резервуаров с высотой стенки до12 м – резервуаров с плавающей крышей – передвижная пожарная техника   0, 75 0, 50 0, 80   0, 30 0, 20 0, 30

 

Общий расход воды из водопроводной сети для защиты аппаратов колонного типа при условном пожаре стационарными установками водяного орошения принимается как сумма расходов воды на орошение горящего колонного аппарата и двух соседних с ним, расположенных на расстоянии менее двух диаметров наибольшего из них. Интенсивность подачи воды в расчете на 1 м2 защищаемой поверхности аппаратов колонного типа с СУГ и ЛВЖ принимается равной 0, 1 л/(с× м2).

5.3. Гидравлический расчёт систем орошения и водопроводов с лафетными стволами

Для складов лесоматериалов вместимостью от 100 до 500 тыс. плотных м3 древесины определение количества лафетных стволов и расстояния между ними покажем на примере защиты кучи балансовой древесины.

При проектировании складов лесоматериалов следует учитывать требования СНиП к их размещению, требования ГОСТ к планировке территорий складов и расположению штабелей, а также требования ведомственных норм технологического проектирования к геометрическим параметрам куч балансовой древесины, осмола, дров, щепы, опилок, коры и древесных отходов.

Балансовая древесина, осмол и дрова хранятся в кучах прямоугольной или круглой формы высотой до 30 метров, шириной основания до 90 метров и вместимостью до 250 тыс. плотных м3 древесины.

При высоте куч до 14 м ёмкость каждой кучи должна быть не более 50 тыс. плотных м3, ширина прямоугольной кучи или диаметр круглой кучи у основания – не более 50 м.

При определении места расположения стволов необходимо исходить из того, что компактные водяные струи лафетных стволов, установленных с каждой стороны кучи, должны достигать её гребня.

Лафетные стволы следует устанавливать на расстоянии не менее 15 м от основания кучи лесоматериалов на специальных лафетных вышках или подставках.

Предположим, что куча балансовой древесины имеет размеры, показанные на рисунке 5.4. Расставим лафетные стволы из условия орошения каждой точки поверхности кучи двумя компактными струями. В этом случае диктующая, то есть наиболее удаленная и высоко расположенная точка, в которой должны соприкасаться струи от двух смежных стволов, находится на гребне кучи против вышки. Для подачи струй используем стволы с насадками диаметром 65 мм (диаметр насадков следует принимать не менее 38 мм) при напоре у ствола 70 м. Тогда расход из одного ствола составит 116, 5 л/с, а радиус действия компактной струи – 52 м (табл. 5.4) при наклоне ствола к горизонтальной плоскости 30о.

Расход воды, радиус действия компактной части и всей струи, включая раздробленную часть, в зависимости от напора перед стволом и диаметра насадка при наклоне ствола к горизонтальной плоскости 30о приведены в таблице 5.4.

При угле наклона лафетного ствола более или менее 30о к горизонтальной плоскости следует корректировать показатель радиуса действия компактной части струи умножением его на коэффициент, соответствующий углу наклона ствола, согласно таблице 5.5.

 

Рис. 5.4. Схема размещения стационарных лафетных

стволов у кучи балансовой древесины

Из треугольника DBB 1 (рис. 5.4) определим угол наклона лафетного ствола к горизонту

a = arctg 0, 33 = 18, 5о, при этом j = 1, 11.

Тогда R к a = j R к= 1, 11× 52 = 57, 72 м.

Проекцию компактной струи найдем из прямоугольного треугольника ABB 1 (рис. 5.4)

.

Тогда м.

Расстояние между смежными лафетными стволами определим из прямоугольного треугольника AB 1 D (рис. 5.4)

м.

Таблица 5.4

Диаметр насадка, мм Напор у ствола, м Расход воды, л/с Радиус действия струи, м
R к R р
    17, 2 19, 3 22, 8 25, 9    
    22, 5 25, 1 29, 6 33, 8 30, 5  
    31, 7 35, 4 41, 9 47, 6 35, 5 39, 5  
    55, 0 61, 4 72, 6 82, 5 37, 5 42, 5  
    88, 0 98, 5 116, 5 134, 0    

 

Таблица 5.5

Угол наклона лафетного ствола к горизонтальной плоскости, град                    
Коэффициент пересчета радиуса действия компактной части струи j   1, 18   1, 1   1, 05   1, 0   0, 95   0, 92   0, 88   0, 85   0, 83   0, 82

С учетом найденных расстояний между стволами производят опре-деление мест расположения лафетных вышек графическим способом (рис. 5.4). При этом расстоянии для защиты кучи требуется 12 лафетных стволов.

Расход воды на пожаротушение для склада емкостью более 100 тыс. плотных м3 балансовой древесины принимается равным 180 л/с (табл. 5.2). При данном расходе воды по СНиП необходима одновременная работа трех лафетных стволов. Следовательно, общий расход воды составит:

Q общ = 3 Q ств = 3× 116, 5 = 349, 5 л/с

при напоре у ствола Н = 70 м.

Далее, задаваясь следующими условиями работы водопроводной сети: маркой стволов, расчетным свободным напором у наиболее удаленных стволов, высотой вышки, превышением оси ствола над уровнем воды в водоисточнике, длиной водопроводов, проводят гидравлический расчет водопровода в целях определения диаметра труб и потерь напора водопроводной сети.

По величине напора и общего расхода воды на цели пожаротушения подбирают марку насосов.

Расчёт кольцевого оросительного трубопровода рассмотрим на примере охлаждения боковой поверхности при пожаре наземного вертикального резервуара с ЛВЖ со стационарной крышей номинальным объемом W = 5000 м3, диаметром d р = 21 м и высотой H = = 15 м. Стационарная установка охлаждения резервуара состоит из горизонтального секционного кольца орошения (оросительного трубопровода с устройствами распыления воды), размещаемого в верхнем поясе стенок резервуара, сухих стояков и горизонтальных трубопроводов, соединяющих секционное кольцо орошения с сетью противопожарного водопровода (рис. 5.5).

∆ Z

Рис. 5.5. Схема участка водопроводной сети с кольцом орошения:

1 – участок кольцевой сети; 2 – задвижка на ответвлении;

3 – кран для слива воды; 4 – сухой стояк и горизонтальный

трубопровод; 5 – оросительный трубопровод

с устройствами для распыления воды

Определим общий расход на охлаждение резервуара при интенсивности подачи воды J = 0, 75 л/с на 1 м длины его окружности (табл. 5.3)

Q = J p d р = 0, 75 × 3, 14 × 21 = 49, 5 л/с.

В кольце орошения в качестве оросителей принимаем дренчеpы с плоской розеткой ДП-12 с диаметром выходного отверстия 12 мм.

Определяем расход воды из одного дренчера по формуле

,

где К – расходная характеристика дренчера, К = 0, 45 л/(с× м0, 5); Hа = 5 м –минимальный свободный напор.

Тогда л/с.

Определяем количество дренчеров

.

Тогда Q = nq = 50 × 1 = 50 л/с.

Расстояние между дренчерами при диаметре кольца D к = 22 м.

м.

Диаметр ответвления d вс подводящего воду к кольцу, при скорости движения воды V = 5 м/с равен:

м.

Принимаем диаметр трубопровода d вс = 125 мм.

По кольцу от точки b к точке а вода пойдет по двум направлениям, поэтому диаметр трубы кольцевого участка определим из условия пропуска половины общего расхода

м.

Для равномерности орошения стенок резервуара, то есть необходимости незначительного перепада напора в кольце орошения у диктующего (точка а) и ближайшего к точке b дренчеров принимаем d к = 100 мм.

По формуле определим потери напора h к в полукольце

м.

Здесь А 100 = 321, 6 × 10-6 с/л2, A 125 = 86, 2 × 10-6 с/л2 – удельные сопротивления неновых стальных труб диаметром 100 и 125 мм соответственно; длина полукольца м.

Расход воды из дренчера в начале кольца орошения (точка b)

л/с.

 

Средний расход из дренчеров

л/с.

Действительный расход воды из кольца орошения

л/с.

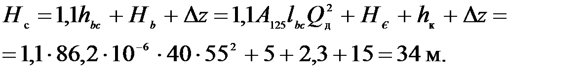
Определим свободный напор в точке присоединения ответвления к сети противопожарного водопровода Н с. Этот напор будет определяться из линейных и местных потерь напора в ответвлении bc длиной 40 м, напора в точке b (Нb = Hа + h к) и высоты подъема от точки c к точке b, равной z = 15 м.

.

Величина свободного напора в начале ответвления учитывается при определении характеристики насоса.

Для более высоких установок (например, ректификационных колонн) можно предусмотреть несколько перфорированных трубопроводов на различных отметках. Напор наиболее высоко расположенного трубопровода с отверстиями необходимо принимать не более 20–25 м.


Поделиться с друзьями:

mylektsii.su - Мои Лекции - 2015-2026 год. (0.782 сек.)Все материалы представленные на сайте исключительно с целью ознакомления читателями и не преследуют коммерческих целей или нарушение авторских прав Пожаловаться на материал