Студопедия

Главная страница Случайная страница

КАТЕГОРИИ:

АвтомобилиАстрономияБиологияГеографияДом и садДругие языкиДругоеИнформатикаИсторияКультураЛитератураЛогикаМатематикаМедицинаМеталлургияМеханикаОбразованиеОхрана трудаПедагогикаПолитикаПравоПсихологияРелигияРиторикаСоциологияСпортСтроительствоТехнологияТуризмФизикаФилософияФинансыХимияЧерчениеЭкологияЭкономикаЭлектроника






Гидравлический расчёт внутренних водопроводов






Гидравлический расчет внутреннего водопровода проводится в целях определения наиболее экономичных диаметров труб, требуемого напора у расчетного пожарного крана и на вводе в здание, а также для выбора схемы внутреннего водопровода. При этом расчет водопроводных сетей, питаемых несколькими вводами, производится с учетом выключения одного из них.

Гидравлический расчет внутренних водопроводов проводят в следующем порядке:

1) устанавливают норму расхода воды и число струй на внутреннее пожаротушение;

2) определяют необходимый радиус компактной части струи и по его величине (по табл. СНиП) находят действительный расход пожарной струи (он не должен быть меньше нормативного) и требуемый напор у пожарного крана;

3) по формуле (6.6) определяют расстояние между пожарными кранами;

4) составляют аксонометрическую схему сети и намечают на ней расчетные участки, а также расчетное направление движения воды. При этом за расчетный участок принимают отрезок сети, в пределах которого величина расхода не изменяется; каждый стояк (распределительная сеть) считается одним расчетным участком. За расчетное направление принимают направление движения воды от ввода до самого удаленного и высоко расположенного пожарного крана (диктующая точка);

5) определяют расход воды по расчетным участкам с приборами хозяйственно-питьевого или производственного назначения по формулам (6.3) – (6.4), сосредоточивая эти расходы в точках присоединения распределительной сети к магистрали;

6) производится предварительное распределение сосредоточенных расходов по участкам магистральной сети;

7) задаются диаметрами труб для пропуска расчетных расходов воды с учетом допустимых экономических скоростей.

В водопроводных сетях скорости движения воды не должны превышать 1, 5–2, 0 м/с.

Диаметры труб могут быть определены по формуле

;

8) производится расчет магистральной сети. Кольцевую сеть рассчитывают по обычным правилам (гл. 4) при условии отключения одного из вводов. Потери напора подсчитываются по формуле

;

9) подбирают водомер;

10) определяют потери напора в пожарном стояке, на вводе и по всей длине расчетного направления;

11) по формуле (6.1) вычисляют требуемый напор у ввода. Сравнивают величину требуемого напора Н тр.пож с величиной гарантированного напора Н г в наружной водопроводной сети, и если выясняется недостаток гарантированного, то предусматривают установку пожарных насосов. Насосы подбираются по каталогу (по расчетному расходу и напору). При объединенном хозяйственно-пожарном водопроводе подача насоса должна быть равна суммарному расходу воды на хозяйственно-питьевые, производственные и пожарные нужды; при специальном пожарном – расходу, необходимому только для целей пожаротушения.

При работе насоса от наружной водопроводной сети требуемый напор пожарного насоса определяется по формуле

, (6.13)

а при заборе воды насосом из запасного резервуара – по формуле

, (6.14)

где h c – потери напора в сети; h вс – потери напора во всасывающей линии;

z – разность отметок между наиболее удаленном от насоса и высоко расположенным пожарным краном и нижним уровнем воды в резервуаре.

В случае устройства водопровода с запасным резервуаром определяют емкость последнего из условия хранения в нем запаса воды на трехчасовое тушение пожара при подаче расчетного расхода по формуле

, (6.15)

где Q расч – расчётный расход воды, м3/с.

Для того, чтобы определить необходимость установки хозяйственных насосов с гидропневмобаком или с водонапорным баком, проводится расчет водопроводной сети при пропуске хозяйственных расходов. Причем в системах с гидропневмобаком по формулам дополнительно определяют давление воздуха и объём воды в баке (для выбора реле давления и типового гидропневмобака), а в системах с водонапорным баком – ёмкость и высоту установки бака, используя формулы (6.9) – (6.14).

Пример. Рассчитать объединенный хозяйственно-противопожарный водопровод двухэтажного производственного здания II степени огнес-тойкости категории В с высотой помещений 8, 2 м и размерами в плане 24× 60 м (объем 23616 м3). На хозяйственно-питьевые нужды вода подается по двум стоякам, на которых установлено 16 смывных бачков, 4 лабораторных мойки, 8 питьевых фонтанчиков, 16 писсуаров, 16 умывальников, 4 гигиенических душа. В здании работает 400 человек. Норма расхода воды одним водопотребителем Q ч = 14, 1 л/ч. Гарантированный напор в наружной сети 15 м.

1. Определим нормативный расход и число пожарных струй по СНиП.

На внутреннее пожаротушение в производственном здании высотой до 50 м требуется 2 струи по 5× 10-3 м3/с:

м3/c.

2. Определим радиус компактной части струи при угле наклона струи a = 60о

м.

Так как расход пожарной струи больше 4 × 10-3 м3/c, водопроводная сеть должна оборудоваться пожарными кранами 65 мм со стволами, имеющими насадки 19 мм, и рукавами длиной 20 м. При этом в соответствии с таблицей действительный расход струи будет равен 5, 2 × 10-3 м3/c, напор у пожарного крана 19, 9 м, а компактная часть струи R к = 12 м.

3. Определим расстояние между пожарными кранами из условия орошения каждой точки помещения двумя струями:

м.

При таком расстоянии требуется установить на каждом этаже по 8 пожарных кранов (рис. 6.11). Так как общее количество пожарных кранов более 12, магистральная сеть должна быть кольцевой и питаться двумя вводами.

 

Рис. 6.11. Размещение пожарных кранов из условия орошения

каждой точки помещения двумя струями

4. Составим аксонометрическую схему водопроводной сети (рис. 6.12), наметив на ней расчетные участки. Как видно, за расчетное направление следует принять направление от точки 0 до ПК-16 (расчёт проводится при отключении второго ввода).

Рис. 6.12. Расчетная схема внутреннего водопровода

5. Вычислим расходы воды на хозяйственно-питьевые нужды. Ма-ксимальный расход одним прибором будет равен q o = 0, 2× 10-3 м3/c (q o = 0, 2 л/c).

По формуле (6.4) определим вероятность действия приборов

.

По формуле (6.3) определяем максимальный расход воды

м3/с.

Сосредоточим полученные величины расходов в точках присоединения хозяйственных стояков к магистральной сети, т.е. в точках 1 и 4.

м3/с.

6. Распределим сосредоточенные расходы по участкам магистральной сети, как показано на рисунке 6.16, принимая за точку схода точку 3.

7. Определим диаметры труб.

Для определения диаметров труб магистральной сети воспользуемся формулой

,

где v = 1, 5 м/с.

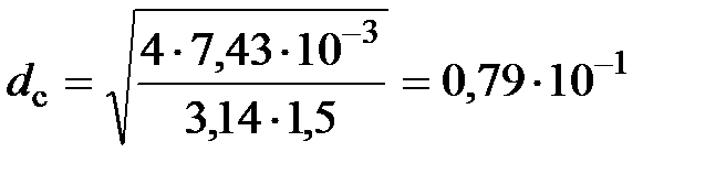
Диаметр труб на участке 0-1 с максимальным расходом 7, 43× 10-3 м3

м мм.

Диаметр труб для вводов

м мм.

Принимаем трубы стальные диаметром 80 мм для магистральной сети и трубы чугунные диаметром 100 мм для вводов.

8. Производим расчет кольцевой магистральной сети. Потери напора определяем по формуле

,

где A – удельное сопротивление труб.

Результаты вычислений сводим в таблицу 6.4.

Как следует из таблицы 6.4, средние потери напора в сети равны

м.

Таблица 6.4

  На-прав-ление   Учас-тки   l, м   d, мм   A   S = Al ∙ 10-4   q ∙ 10-3, м3/c   sq ∙ 10-2   h = sq 2, м   V, м/c   δ   h = δ sq 2, м
  0-1       2, 56 7, 43 1, 90 1, 41 1, 45 1, 000 1, 410
I 1–2       6, 06 5, 70 3, 45 1, 97 1, 13 1, 000 1, 970
  2–3       2, 33 0, 50 0, 12 0, 06 0, 10 1, 410 0, 085
ShI = 3, 46 м
II 0–4       7, 24 6, 43 4, 66 3, 00 1, 26 1, 000 3, 000
  4–3       1, 40 4, 70 0, 66 0, 31 0, 94 1, 035 0, 320
ShII = 3, 3 м

 

9. Подбираем водомер на пропуск расчетного расхода. Расчетный расход (с учетом пожарного) Q расч = 13, 86 × 10-3 м3/с. Принимаем водомер ВВ-80. Потери напора в нем будут равны

h вод = SQ2 расч = 2, 07× 103(13, 86 × 10-3)2 = 0, 4 м,

что меньше допустимой величины 2, 5 м.

10. Определим потери напора в пожарном стояке и на вводе:

м;

м.

Тогда потери напора в сети на расчетном направлении 0–ПК–16

м.

11. Определим требуемый напор на вводе

,

где z = 2, 5 + 8, 2 + 1, 35 = 12, 05 м;

H тр.пож = 1, 2 × 3, 69 + 2, 7 + 0, 4 + 19, 9 + 12, 05 = 39, 48 м.

Так как величина гарантированного напора, равная 15 м, меньше величины требуемого, необходимо установить насос, обеспечивающий создание напора:

H н = H тр.пож – H г = 39, 48 – 15 = 24, 5 м

при подаче Q расч = 13, 86 × 10-3 м3/с.

Принимаем по каталогу насос марки К45/30 с рабочими параметрами:

Q н = 15× 10-3 м3/с; H н = 27 м.

Следовательно, водопровод должен быть устроен по схеме с пожарными насосами-повысителями.


Поделиться с друзьями:

mylektsii.su - Мои Лекции - 2015-2026 год. (1.748 сек.)Все материалы представленные на сайте исключительно с целью ознакомления читателями и не преследуют коммерческих целей или нарушение авторских прав Пожаловаться на материал