Студопедия

Главная страница Случайная страница

КАТЕГОРИИ:

АвтомобилиАстрономияБиологияГеографияДом и садДругие языкиДругоеИнформатикаИсторияКультураЛитератураЛогикаМатематикаМедицинаМеталлургияМеханикаОбразованиеОхрана трудаПедагогикаПолитикаПравоПсихологияРелигияРиторикаСоциологияСпортСтроительствоТехнологияТуризмФизикаФилософияФинансыХимияЧерчениеЭкологияЭкономикаЭлектроника






Напоры и пожарные расходы воды для внутренних водопроводов






Необходимость устройства внутреннего противопожарного водопровода в зданиях и сооружениях определяется требованиями СНиП и других нормативных документов.

Жилые и общественные здания, а также административно-бытовые здания промышленных предприятий оборудуются внутренним противопожарным водопроводом. Расход воды на внутреннее пожаротушение зависит от числа этажей, длины коридоров, объемов зданий, их назначения и принимается в соответствии с таблицей 6.1.

Таблица 6.1

№ п/п Жилые, общественные и административно-бытовые здания и помещения Число струй Минимальный расход воды на внутреннее пожаротушение, л/с, на одну струю
  Жилые здания:    
  при числе этажей от 12 до 16   2, 5
  то же, при общей длине коридора свыше 10 м   2, 5
  при числе этажей свыше 16 до 25   2, 5
  то же, при общей длине коридора свыше 10 м   2, 5
  Здания управлений:    
  – высотой от 6 до 10 этажей и объемом до 25 тыс. м3   2, 5
  – то же, объемом свыше 25 тыс. м3   2, 5
  – при числе этажей свыше 10 и объёмом до 25 тыс. м3;   2, 5
  – то же, объёмом свыше 25 тыс. м3   2, 5
  Клубы с эстрадой, театры, кино- театры, актовые и конференц-залы, оборудованные киноаппаратурой Согласно СНиП 2.08.02-89 приложение 8
  Общежития и общественные здания,    
  не указанные в позиции 2:    
  – при числе этажей до 10 и объемом от 5 тыс. до 25 тыс. м3;   2, 5
  – то же, объемом свыше 25 тыс. м3   2, 5
  – при числе этажей свыше 10 и объемом до 25 тыс. м3;   2, 5
  – то же, объемом свыше 25 тыс. м3   2, 5
         

Окончание табл. 6.1

  Административно-бытовые здания промышленных предприятий    
  объемом от 5 тыс. до 25 тыс. м3;   2, 5
  объемом свыше 25 тыс. м3   2, 5

 

В жилых зданиях минимальный расход воды допускается принимать равным 1, 5 л/с при наличии пожарных стволов, рукавов и другого оборудования диаметром 38 мм.

В производственных и складских зданиях необходимость устройства внутреннего противопожарного водопровода и его расход определяется по таблице 6.2 в зависимости от объема здания, степени его огнестойкости, категории зданий по взрывопожарной и пожарной опасности.

Общий максимальный расчетный расход воды для зданий и сооружений складывается из суммы расходов на хозяйственные и иные нужды, а также расчетного расхода воды на внутреннее пожаротушение. При наличии в здании автоматической установки водяного или пенного пожаротушения учитывается и расчетный расход воды при работе этих установок.

Таблица 6.2

Степень огнестой-кости зданий Категория зданий по пожарной опасности Число струй и минимальный расход воды, л/сек, на одну струю, на внутреннее пожаротушение в производственных и складских зданиях высотой до 50 м и объемом, тыс. м3
0, 5–5 5–50 50–200 200–400 400–800
I–II А, Б, В 2 х 2, 5 2 х 5, 0 2 х 5, 0 3 х 5, 0 4 х 5, 0
III В 2 х 2, 5 2 х 5, 0 2 х 5, 0
III Г, Д 2 х 2, 5 2 х 2, 5
IV – V В 2 х 2, 5 2 х 5, 0
IV –V Г, Д 2 х 2, 5

Напор у ввода в здание рассчитывается по формуле 6.1, где требуемый свободный напор у пожарного крана определяется по таблице 3 СНиП 2.04.01-85* с учетом необходимого радиуса действия компактной части струи из пожарного ствола.

6.5. Пожарные шкафы. Классификация и основные параметры

Пожарные шкафы проектируются в соответствии с требованиями НПБ-151-96 " Шкаф пожарный. Общие технические требования. Методы испытаний", технической документации и по исполнению подразделяются на навесные, встроенные и приставные.

Размеры пожарных шкафов определяются в зависимости от количества и диаметров пожарных клапанов и рукавов, применяемых типов стволов, а также с учетом размещения в них огнетушителей.

Типы и основные размеры пожарных шкафов приведены в табли- це 6.3.

В пожарном шкафу предусматривается размещение ручных огнетушителей и оборудования пожарного крана:

· клапана пожарного запорного с соединительной головкой;

· рукава пожарного напорного с присоединенным к нему пожарным стволом (с перекрывным устройством или без него);

· рычага для облегчения открывания клапана (по необходимости).

Таблица 6.3

Тип ПШ Количество пожарных кранов в ПШ Количество огнетушителей в ПШ Максимальные габаритные размеры ПШ, мм Код ОКП
по вертикали по горизон-тали
ПК – Ж1        
ПК – Ж2        
ПК – П1          
ПК– П2          

 

В зависимости от типа объекта пожарный шкаф комплектуется оборудованием с условным проходом 38, 50 или 70 мм и рукавами длиной 10, 15 или 20 м. В пожарных шкафах типа ПК-П1 и ПК-П2 предусматривается место для установки двух огнетушителей емкостью 10 л каждый.

Возможен вариант размещения огнетушителей и оборудования пожарного крана в отдельных отсеках пожарного шкафа.

Пожарный шкаф должен быть оборудован поворотной кассетой для размещения в ней пожарного рукава, укладываемого в двойную скатку, " гармошку".

Для обеспечения естественной вентиляции предусматривается не менее шести вентиляционных отверстий диаметром 20 мм, расположенных на каждой дверке шкафа или на каждой из боковых наружных стенок, по три в верхней и нижней частях дверки и стойки. Допускаются и другие конструктивные решения обеспечения вентиляции.

Дверки шкафа должны иметь прозрачную вставку, позволяющую проводить визуальную проверку наличия и состояния комплектующих, давать возможность прочтения маркировочных надписей на корпусах огнетушителей. Дверки шкафа должны иметь приспособление для их опломбирования.

Внешне оформление пожарного шкафа должно включать красный сигнальный цвет по ГОСТ 12.4.026-76. Надписи на дверках пожарного шкафа наносятся в соответствии с ГОСТ 12.4.009-83 п. 2.5.10.

При монтаже пожарных клапанов на внутреннем водопроводе зданий (сооружений) должны выполняться требования СНиП, а также следующие правила:

Ø маховичок клапана должен располагаться так, чтобы обеспечивалось удобство его охвата рукой и вращения (расстояние от оси маховичка до стенок 150 мм);

Ø выходной патрубок клапана должен располагаться так, чтобы обеспечивалось удобство присоединения пожарного рукава и исключался резкий " излом" рукава при прокладке его в любую от клапана сторону.

Допускается использовать в качестве пожарных клапаны запорные муфтовые или цапковые общепромышленного назначения.

Пожарные клапаны, изготовленные из чугуна, должны быть окрашены в красный цвет в соответствии с ГОСТ 14202-69.

Пожарный шкаф крепится к строительным конструкциям с учетом установки пожарного крана на высоте 1, 35 м над полом помещения.

Спаренные пожарные краны допускается устанавливать один над другим на высоте не менее 1 м от пола.

Комплектующие пожарного шкафа должны соответствовать требованиям, установленным:

Ø НПБ 152-96. Рукава пожарные напорные;

Ø НПБ 153-96. Головки соединительные для пожарного оборудования;

Ø НПБ 154-96. Клапаны для пожарных кранов;

Ø ГОСТ 9923-93. Стволы пожарные ручные.

Шкафы изготавливаются, как правило, из листовой стали. Допускается изготавливать шкафы из алюминиевых сплавов, древесных материалов с антисептической обработкой, пластмасс и т.п.

Рукава с соединительными головками должны выдерживать испытательное давление не менее 1, 25 МПа. Подтекание воды в месте навязки рукавов на головки и через уплотнительные элементы головок не допускаются.

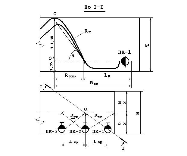
Размещение пожарных кранов. Внутренние пожарные краны устанавливаются на высоте 1, 35 м над полом помещения у выходов; на площадках отапливаемых лестничных клеток, в вестибюлях, коридорах, проходах и других легкодоступных местах. Каждый пожарный кран оборудуется рукавом длиной 10 или 20 м, пожарным стволом с насадком, диаметр которого определяется расчетом и размещается в опломбированных шкафчиках. В одном здании следует применять стволы с насадками одного диаметра и пожарные рукава одинаковой длины. Если расход пожарной струи м3/с, принимают пожарные краны диаметром 50 мм, при расходе более м3/с – 65 мм.

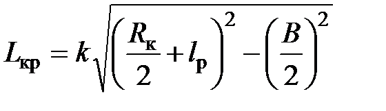
Для обеспечения условий орошения помещения внутренние пожарные краны должны устанавливаться на расстоянии (рис. 6.7), равном

, (6.5)

где L кр – расстояние между пожарными кранами; k – коэффициент, учитывающий условия орошения и принимаемый равным: к = 1 – при орошении каждой точки помещения двумя струями; к = 2 – при орошении каждой точки помещения одной струей; Rk – радиус действия компактной части струи; l p – длина пожарного рукава; B – ширина здания; T – высота помещения; 1, 35 – высота расположения пожарного ствола.

Рис. 6.7. Определение расстояния между пожарными кранами:

при установке ПК-2 выполняются условия орошения каждой точки помещения двумя струями, при отсутствии ПК-2 – одной струей

Как видно из формулы (6.5), с увеличением радиуса компактной части струи R к расстояние между пожарными кранами увеличивается, что ведет к уменьшению строительных затрат на трубопроводы и монтаж пожарных кранов. Однако при этом несколько возрастают эксплуатационные затраты в связи с установкой более мощных пожарных насосов, необходимых для создания больших напоров у кранов. При проектировании внутренних пожарных водопроводов можно радиус компактной части струи определять при угле наклона a = 50–60о.

С достаточной для практических расчетов степенью точности можно принять a = 60о. Тогда, учитывая, что при a = 60о

.

Формула (6.5) примет вид

. (6.6)

Зная необходимое расстояние между пожарными кранами, определяют их количество.


Поделиться с друзьями:

mylektsii.su - Мои Лекции - 2015-2026 год. (1.123 сек.)Все материалы представленные на сайте исключительно с целью ознакомления читателями и не преследуют коммерческих целей или нарушение авторских прав Пожаловаться на материал