Студопедия

Главная страница Случайная страница

КАТЕГОРИИ:

АвтомобилиАстрономияБиологияГеографияДом и садДругие языкиДругоеИнформатикаИсторияКультураЛитератураЛогикаМатематикаМедицинаМеталлургияМеханикаОбразованиеОхрана трудаПедагогикаПолитикаПравоПсихологияРелигияРиторикаСоциологияСпортСтроительствоТехнологияТуризмФизикаФилософияФинансыХимияЧерчениеЭкологияЭкономикаЭлектроника






Определение основных характеристик грунта для сооружения земляного полотна






 

При анализе грунтовых условий необходимо дать оценку их пригодности как строительного материала для возведения земляного полотна с точки зрения условий выполнения работ.

 

 

Тс
Tв
Тс, ч
Tв, оС

+20

+18

+16

+14

+12

+10

 

+8

                             
hc
Снег
Дождь

hc, см +6

+4

+2

0 0

V, м/с

2, 0 -2

 

3, 0 -4

 

4, 0 -6

 

-8

 

                       
                       
                       
                       
                       
                       
      hпр                
                       
                       
Преобладающее направление ветра
                       
Месяц I II III IV V VI VII VIII IX X XI XII
Распутица 6.03 27.03 8.11 24.11    
Простои из-за осадков 1, 8 1, 3 1, 6 1, 6 2, 1 2.7 2.1 1, 6 1, 4 2, 0 1, 8 2, 0
Простои из-за метелей                     0, 2 0, 6
6.03
27.03
8.11
Строительство водопропускных труб

 
6.03
27.03
8.11
Сосредоточенные земляные работы

 
Линейные земляные работы 27.03 8.11
                           

Рисунок 1 – Дорожно-климатический график

Для проектирования технологических процессов возведения земляного полотна необходимо определить и рассчитать параметры грунта в такой последовательности.

2.1 Для заданного участка грунтового профиля нужно установить плотность частиц грунта (). Ее определяют пикнометрическим методом, методом ХАДИ или по справочным данным [6, 7, 8, 9]. Величину для учебных расчетов принимаем: для песков 2, 65 г/см3; для супесей – 2, 68 г/см3; для легких суглинков – 2, 70 г/см3; для тяжелых суглинков – 2, 71 г/см3; глин – 2, 72 г/см3.

2.2 Рассчитать плотность сухого грунта (г/см3)

(2.1)

где – плотность частиц грунта, г/см3;

V о – объем воздуха, зажатого в порах грунта, при естественной влажности (для песков, супесей V о= 0, 06–0, 08; для легких суглинков V о= 0, 05; для тяжелых суглинков и глин V о= 0, 04);

W Т – граница текучести грунта, %.

 

2.3 Определить оптимальную влажность грунта (%)

(2.2)

где a – коэффициент, учитывающий гранулометрический состав грунта и плотность его частиц. Значение a для учебных расчетов принимать равным 0, 56.

 

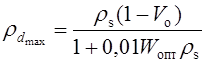
2.4 Определить максимальную стандартную плотность сухого грунта (г/см3)

. (2.3)

2.5 Определить минимальную требуемую плотность грунта (г/см3)

(2.4)

где К у – наименьший нормативный коэффициент уплотнения грунтов земляного полотна, принятый согласно табл. 6.8 [5] или табл. А.2 приложения А.

 

2.6 Определить относительный коэффициент уплотнения грунта согласно табл. 6.10 [5] или по справочным данным [7, 8].

 

2.7 Определить характерные влажности грунтов

(2.5)

где , – коэффициенты, характеризующие допустимый интервал влажности, при котором возможно уплотнение W 1W 2(таблица А.3 или табл. 6.5 [5]);

= 0, 9 – коэффициент (согласно с п. 6.4.9 [5]), при влажности грунта меньше W 3 в проекте следует предусмотреть специальные мероприятия по его уплотнению (увлажнение, уплотнение более тонкими слоями).

 

2.8 Определить влажность грунта в период строительства земляного полотна (%)

. (2.6)

где – коэффициент, характеризующий влажность грунта в период полевых обследований W ес. в долях от максимальной величины.

Значения для разных регионов Украины приведены в таблице 2.1

 

Таблица 2.1 -Изменение коэффициента в годовом цикле

Дорожно-климатическая зона Величины по месяцам
III IV V VI VII VIII IX X ХI
У-I - 0, 90 0, 86 0, 60 0, 60 0, 60 0, 70 0, 70 0, 90
У-II - 0, 90 0, 65 0, 55 0, 53 0, 55 0, 65 0, 75 0, 90
У-Ш 0, 85 0, 70 0, 60 0, 55 0, 50 0, 55 0, 62 0, 65 0, 80
У-IV 0, 75 0, 65 0, 58 0, 53 0, 49 0, 53 0, 60 0, 60 0, 70

 

2.9 Определить требуемую влажность грунта (%)

(2.7)

где Т – период между процессами увлажнения и уплотнения грунта (0, 5 суток);

a 1 a 2 – коэффициенты, учитывающие влияние разновидности грунта, температуры воздуха и скорости ветра, принимаются по графикам (рис. 2.1).

 

2.10 При влажности Wі в пределах W 1 и W 2 грунт допускается использовать для сооружения земляного полотна без проведения специальных мероприятий по подготовке грунта к уплотнению.

Если Wі > W 2, необходимо определить время просыхания грунта (часов)

(2.8)

где a 1 a 2 – коэффициенты, зависящие соответственно от температуры воздуха и скорости ветра, принимаются по графикам (рис. 2.1).

 

       
 
a 1 0, 16     0, 12     0, 08   0, 04  
   
 

 

     
 

 
         
 

         
 
 

             

0 4 8 12 16 20 24 Т, ◦ С

a 2 0, 16     0, 12     0, 08   0, 04  

 
 

 

     
 

 
         
 

 
         
 
 

           

0 2 4 6 8 10 12 V, м/с

 

Рисунок 2.1 – Зависимость коэффициентов: a 1 – от вида грунта и температуры

воздуха; a 2 – от вида грунта и скорости ветра

1 – песок; 2 – супесь; 3 – суглинок; 4 – глина

 

Если Wі < W 3 или W1, необходимо рассчитать количество воды для доувлажнения уплотняемых слоев грунта (л/м3)

(2.9)

где 1000 – объем грунта 1000 м3 был взят условно для расчета.

 

После уточнения сменного объема земляных работ необходимо сделать перерасчет затрат воды на этот объем.

 

Результаты расчетов сводим в табл. 2.2.

 

Таблица 2.2- Необходимое количество воды для доувлажнения Qв (время просыхания Тп) сменного объема грунта

Месяцы Среднемесячная температура воздуха °С Скорость ветра, V, м/сек Коэффициенты Wі   W тр   W о W1 W 2 W 3 Q в л/м3 Т п час
а 1 а 2
                         

 


Поделиться с друзьями:

mylektsii.su - Мои Лекции - 2015-2026 год. (0.413 сек.)Все материалы представленные на сайте исключительно с целью ознакомления читателями и не преследуют коммерческих целей или нарушение авторских прав Пожаловаться на материал