Студопедия

Главная страница Случайная страница

КАТЕГОРИИ:

АвтомобилиАстрономияБиологияГеографияДом и садДругие языкиДругоеИнформатикаИсторияКультураЛитератураЛогикаМатематикаМедицинаМеталлургияМеханикаОбразованиеОхрана трудаПедагогикаПолитикаПравоПсихологияРелигияРиторикаСоциологияСпортСтроительствоТехнологияТуризмФизикаФилософияФинансыХимияЧерчениеЭкологияЭкономикаЭлектроника






Выбор и проверка электродвигателя






 

3.1 Расчёт нагрузочной диаграммы механизма

Для выбора двигателя необходимо рассчитать его требуемую номинальную мощность, исходя из нагрузочной диаграммы механизма (т.е. временной диаграммы моментов или сил статического сопротивления механизма на его рабочем органе). По рассчитанной мощности затем выполняется предварительный выбор двигателя.

Построим нагрузочную диаграмму механизма (график статических нагрузок механизма). Расчет времени участков цикла на этапе предварительного выбора двигателя выполняем приблизительно, т.к. пока нельзя определить время разгона и замедления (суммарный момент инерции привода до выбора двигателя неизвестен).

Пониженная скорость прямого хода стола:

Vпон = Кпон ∙ Vпр = 0, 4 ∙ 0, 3 = 0, 12 м/с, (1)

где Vпон – пониженная скорость прямого хода стола, м/с;

Кпон – кратность пониженной и рабочей скоростей прямого хода;

Vпр – скорость прямого хода, м/с.

Скорость обратного хода стола:

Vобр = Кобр ∙ Vпр = 2 ∙ 0, 3 = 0, 6 м/с, (2)

где Кобр – кратность обратной скорости и рабочей скорости прямого хода.

Усилие перемещения стола на холостом ходу:

Fхх = (mc + mд) ∙ g ∙ μ = (5000 + 6000) ∙ 9, 81 ∙ 0, 07 = 7, 554 кН, (3)

где Fхх – усилие перемещения стола на холостом ходу, кН;

mc – масса стола, кг;

mд – масса детали, кг;

g – ускорение свободного падения (g=9, 81 м/с2);

μ – коэффициент трения стола о направляющие.

 

 

Усилие перемещения стола при резании:

Fр = Fz + Fхх = 55 + 7, 554 = 62, 554 кН, (4)

где Fр – усилие перемещения стола при резании, кН;

Fz – усилие резания, кН.

Время резания (приблизительно):

tp = Lд / Vпр = 4, 1 / 0, 3 = 13, 667 с, (5)

где tp – время резания, с;

Lд – длина детали, м.

Время подхода детали к резцу (приблизительно):

tп = Lп / Vпон = 0, 2 / 0, 12 = 1, 667 с, (6)

где tп – время подхода детали к резцу, с;

Lп – путь подхода детали к резцу, м.

Время прямого хода после выхода резца из детали (приблизительно):

tв = Lв / Vпон = 0, 15 / 0, 16 = 1, 25 с, (7)

где tв – время прямого хода после выхода резца из детали, с;

Lв – путь после выхода резца из металла, м.

Время возврата стола (приблизительно):

tобр =(Lп + Lд + Lв) / Vобр = (0, 2 + 4, 1+ 0, 15) / 0, 6 = 7, 417 с, (8)

где tобр – время возврата стола, с.

Время цикла (приблизительно):

tц = tп + tp + tв + tобр = 1, 667 + 13, 667.+ 1, 25 + 7, 417 = 24 с, 9)

где tц – время цикла, с.

 

 

Исходя из расчетов строится нагрузочная диаграмма, рис.3.

Рис. 3. Нагрузочная диаграмма механизма

 

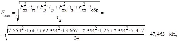
Эквивалентное статическое усилие за время работы в цикле:

(10)

где Fэкв – эквивалентное статическое усилие за время работы в цикле, кН.

При расчете требуемой номинальной мощности двигателя предполагаем, что будет выбран двигатель, номинальные данные которого определены для повторно-кратковременного режима работы и стандартного значения продолжительности включения ПВN=40%. Номинальной скорости двигателя должна соответствовать скорость обратного хода штанг, которая является максимальной скоростью в заданном рабочем цикле. Такое соответствие объясняется тем, что принято однозонное регулирование скорости, осуществляемое вниз от номинальной скорости двигателя.

 

Расчетная мощность двигателя:

(11)

где Ррас – расчетная мощность двигателя, кВт;

Kз – коэффициент запаса (примем Kз = 1, 1).

 


Поделиться с друзьями:

mylektsii.su - Мои Лекции - 2015-2026 год. (2.656 сек.)Все материалы представленные на сайте исключительно с целью ознакомления читателями и не преследуют коммерческих целей или нарушение авторских прав Пожаловаться на материал