Студопедия

Главная страница Случайная страница

КАТЕГОРИИ:

АвтомобилиАстрономияБиологияГеографияДом и садДругие языкиДругоеИнформатикаИсторияКультураЛитератураЛогикаМатематикаМедицинаМеталлургияМеханикаОбразованиеОхрана трудаПедагогикаПолитикаПравоПсихологияРелигияРиторикаСоциологияСпортСтроительствоТехнологияТуризмФизикаФилософияФинансыХимияЧерчениеЭкологияЭкономикаЭлектроника






Тушение пожаров нефтяных и газовых фонтанов






 

1. Какие есть виды открытого фонта­нирования на скважинах?

Открытое фонтанирование происходит через: 1. Обсадную колону при отсутствии в скважине бу­рильных труб. 2. Колону бурильных труб при отсутствии или неис­правности обратного клапана. 3. Кольцевое пространство между бурильной и обсад­ной колонами. 4. Не плотности разъемных соединений обвязки усть­ев скважины. 5. Межколейные кольцевые зазоры вследствии некачественной цементировки и нарушения герметичности в резьбовых соединениях обсад­ных колон. 6. Трещины и высокопроницаемые пласты, выходя­щие на поверхность за пределы скважины (грифо­ны). 7. Не плотности фланцев фонтанной арматуры.

 

2. Как классифи­цируются газовые и нефтяные фон­таны

1. По составу фонтанирующего вещества: -нефтяные (менее 50 % нефти); -газонефтяные (10-50 % нефти); -газовые (более 90 % газа). 2. По виду струи фонтана: -компактные; -распыленные; -комбинированные. З. По количеству фонтанирующих скважин: -одиночные; -групповые.

 

3. Как определить дебет фонтани­рующей скважи­ны?

1. По геолого-техническим характеристикам: -с учетом конструкции забоя скважины; -параметров пласта; -величины пластового и забойного уровней; -геометрических размеров ствола скважины. 2. По геометрическим размерам скважины. З. По величине прямого скачка уплотнения (фотомет­рический метод). 4. По уровню шума (акустический метод). 5. По газодинамическим характеристикам: -в зависимости от давления на устье скважины; -площади выходного сгорания; -плотности и температуры фонтанирующего вещест­ва.

 

4. Какие службы создаются при ликвидации газо­нефтяного фонта­на?

1. Пожарная служба. 2. Транспортная служба. 3. Служба водоснабжения. 4. Строительная служба. 5. Служба связи. 6. Служба обеспечения промывочной жидкостью. 7. Медицинская служба. 8. Контрольно-пропускная служба. 9. Служба подготовки оборудования. 10. Служба снабжения. 11. Служба питания.

 

5. Перечислите основные задачи руководителя ту­шения пожара и оперативного шта­ба?

1. Выбор способа тушения пожара и вызов необходи­мых сил и средств. 2. Разработка тактического плана тушения пожара. 3. Определение дислокации боевых участков. 4. Организация связи между начальниками боевых участков, начальником штаба, руководителем ту­шения пожара. 5. Корректировка плана с учетом изменения обстанов­ки. 6. Расстановка и распределение по боевым участкам сил и средств по каждому этапу работ, постановка задач перед подразделениями. 7. Обеспечение взаимодействия со службами в осу­ществлении мероприятий по созданию условий для успешной работы пожарных подразделений. 8. Организация ежедневного технического обслужива­ния и ремонта пожарной техники. 9. Обеспечение условий для безопасной работы лич­ного состава на боевых участках.

 

6. Какие есть виды подготовительных работ при тушении пожара?

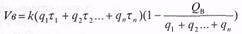
1. Создание расчетных (на каждый этап) запасов воды для тушения пожара и его ликвидации:

vВ -объем емкости водоемов м3.; q1, q2...qn - расход воды на производственные опера­ции;

t1, t2,..qn- продолжительность каждой операции, ч;

к - коэффициент для запасных емкостей К=1, 5, для стальных и бетонных К=1, 2; Qв- подача водопровода м3/ час Общий объем водоемов должен составлять 2, 5-5 тыс. м3. 2. Расчистка места пожара от оборудования и метал­локонструкций: - защита распыленными водяными струями людей, производящих расчистку места пожара; - орошение факела водяными струями для снижения плотности теплового потока; - охлаждение водой оборудования на устье скважины и прилегающей территории; -защита водой работающей в зоне высокого тепло­излучения техники. 3. Развертывание средств тушения и подготовка площадок для боевых позиций пожарной техники. 4. Осуществление мероприятий, связанных с отводом и сбором нефти после тушения пожара.

 

7. Как определя­ются этапы туше­ния пожара?

Этап 1 - подготовка к тушению: -охлаждение устьевого оборудования и металлокон­струкций вокруг скважины; -охлаждение прилегающей территории; -охлаждение факела с целью снижения интенсивно­сти теплоизлучения; -тушение очагов горения нефти и конденсата вокруг устья скважины, продолжительность этапа - 1 час. Этап 2 - непосредственное тушение фонтана с одно­временным продолжением операций этапа 1, про­должительность этапа определяется расчетным временем тушения. Этап 3 - охлаждение устья скважины и орошение фонтана после тушения, продолжительность этапа -1час.

 

8. Как определяет­ся интенсивность подачи огнетуша-щих средств?

Интенсивность подачи огнетушащих средств измеря­ется количеством этих средств, подаваемых в еди­ницу времени на единицу дебита фонтанирующей скважины. В практических условиях интенсивность подачи удобно определить удельным расходом ог-нетушащего средства в кг/с на 1 млн. м3/сут газа или 1000 м3/сут нефти. Эквивалентный коэффици­ент перерасчета расхода нефти на газ принимает­ся 1 м нефти = 1000 м газа.

 

9. Какие способы тушения и огнету-шащие средства применяются при ликвидации пожа­ра фонтана?

1. Тушение закачкой воды в скважину. Подача воды в скважину через устье является эффективным спо­собом тушения фонтанов. Применение его воз­можно, когда на скважине сохранилось устьевое оборудование, позволяющее подключить водяные насосные установки. Подачу воды в скважину це­лесообразно производить агрегатами высокого давления, обычно применяемыми для закачки в нее цементного раствора и промывочной жидкости.

2. Тушение водяными струями. Стволы размещаются равномерно вокруг устья скважины по дуге 210-270° с наветренной стороны на расстоянии 6-8 м от устья (но не далее 15 м). Напор перед стволом 60-80 м. Водяные струи сначала вводятся под осно­вание пламени, затем одновременно перемещают­ся по оси фонтана до полного гашения пламени. В случае прорыва пламени атака повторяется. Рас­четное время тушения - 1 час. 3. Тушение газоводяными струями АГВТ. Требования: -основная площадка размещается с наветренной сто­роны, а запасная площадка - с учетом возможного изменения направления ветра; -расстояние от площадки до устья скважин должно быть не более 15м; -ширина площадки принимается из расчета расста­новки потребного количества автомобилей с раз­рывами между ними не менее 1, 0 м; -площадки оборудуются подъездами для автомоби­лей ГВТ и страхующих тракторов; Расчетное время тушения - 15 минут

 

12. Какие особен­ности тушения порошком?

1. Тушение порошком и ВВ по кольцу вокруг фонтана. 2. Тушение автомобилем АГПТ. Автомобиль газопорош­кового тушения - параметры те же, что и у АГВТ.

 

13. Что необходи­мо предусмотреть для соблюдения мер безопасности?

1. Защиту людей от теплоизлучения пламени. 2. Защиту органов слуха от шума фонтана. 3. Защиту людей от поражения выбрасываемой поро­ды и внезапных выбросов нефти и газа. 4. Защиту людей от отравления токсичными газами. Людей, работающих в непосредственной близости от фонтана охлаждает группа ствольщиков, которая располагается дальше от фонтана на расстоянии длины струи, последних в свою очередь охлаждает струями воды другая группа ствольщиков.

 

14. Что необходи­мо сделать при наличии зон зага­зованности и рас­текания нефти и конденсата?

1. Определить границы опасной зоны с учетом на­правления ветра и мест возможного скопления га­за, нефти конденсата. 2. Организовать расстановку постов с круглосуточным дежурством, а также предупреждающих и запре­щающих знаков. 3. Въезд пожарной техники и других специальных пе­редвижных средств в опасную зону допускать только по пропускам. 4. Запретить работу всех видов техники во взрыво- и пожароопасных зонах

 


Поделиться с друзьями:

mylektsii.su - Мои Лекции - 2015-2026 год. (0.856 сек.)Все материалы представленные на сайте исключительно с целью ознакомления читателями и не преследуют коммерческих целей или нарушение авторских прав Пожаловаться на материал