Студопедия

Главная страница Случайная страница

КАТЕГОРИИ:

АвтомобилиАстрономияБиологияГеографияДом и садДругие языкиДругоеИнформатикаИсторияКультураЛитератураЛогикаМатематикаМедицинаМеталлургияМеханикаОбразованиеОхрана трудаПедагогикаПолитикаПравоПсихологияРелигияРиторикаСоциологияСпортСтроительствоТехнологияТуризмФизикаФилософияФинансыХимияЧерчениеЭкологияЭкономикаЭлектроника






ОПЕРАТОРЫ ВВОДА-ВЫВОДА






СБОРНИК

ЗАДАЧ ПО ПРОГРАММИРОВАНИЮ на языке PASCAL

Тема 1.

ОПЕРАТОРЫ ВВОДА-ВЫВОДА

 

vv_1. Нарисовать на экране снежинку с помощью символов ''*'.

 

vv_2. Выведите на экран свою фамилию, имя и отчество, в следующей строке – дату рождения.

 

vv_3. Даны два действительных числа a и b. Получить их сумму, разность и произведение. Написать программу так, чтобы результат выводился полным ответом (например, 4 * 5 = 20, если были введены числа 4 и 5).

 

vv_4. Найти площадь кольца, внутренний радиус которого равен 20, а внешний – заданному числу r (r > 20).

 

vv_5. Найти значение выражения: (a + (d - 12)* 3) * (c – 5 * k), где значения переменных a, d, c и k вводятся с клавиатуры.

 

vv_6. Написать программу, которая вычисляет площадь треугольника по трём сторонам, по формуле Герона.

 

vv_7. Составьте программу для запроса данных и печати результатов для определённого расстояния L между двумя точками на плоскости, заданными своими координатами.

 

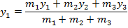
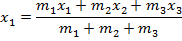
vv_8. Вычислить координаты центра тяжести трёх материальных точек с массами m1, m2, m3 и координатами (x1, y1) (x2, y2) (x3, y3) по формулам центра тяжести многоугольника.

 

 

vv_9. Поменять местами значения переменных x и y:

а) с использованием промежуточной переменной ()

б) без использования промежуточной переменной ()

 

vv_10. Четыре человека пообедали в ресторане. Официант подал им счёт на X руб. каждому. Они решают оставить официанту чаевые в размере 15% от счёта. Составьте программу, которая выведет на экран сумму чаевых, которую получил официант.

 

vv_11. Мальчик, продающий на улице газеты, зарабатывает a руб. на продаже первых 75 газет. На каждой из остальных проданных газет он зарабатывает по x руб. Напишите программу, которая выведет на дисплей заработок мальчика, если он продаст 133 газеты.

 

vv_12. Реактивный аэробус летит с пассажирами на борту из Лондона в Нью-Йорк. Три четверти пассажиров имеют билеты второго класса стоимостью x фунтов каждый. Остальные пассажиры имеют билеты первого класса, которые стоят вдвое дороже билетов второго класса. Напишите программу, которая выведет сумму денег, получаемую авиакомпанией от продажи билетов на этот рейс.

 

vv_13. Среднее значение четырех чисел равно одной четверти суммы этих четырех чисел. Напишите программу, которая находит среднее значение четырех чисел.

 

vv_14. Составить программу, которая:

а) предлагает покупателю товар по известной цене;

б) спрашивает количество покупаемого товара;

в) выводит стоимость покупки.

 

vv_15. Вычислить рациональным способом, то есть за минимальное количество операций:

а) у = x5;

б) y = x6;

в) y = x8.

 


Поделиться с друзьями:

mylektsii.su - Мои Лекции - 2015-2026 год. (2.009 сек.)Все материалы представленные на сайте исключительно с целью ознакомления читателями и не преследуют коммерческих целей или нарушение авторских прав Пожаловаться на материал